Gilteritinib

Impurities - Gilteritinib, sold under the brand name Xospata, is an anti-cancer drug. It acts as an inhibitor of FLT3, hence it is a tyrosine kinase inhibitor.Gilteritinib has been repurposed as a potential antiviral drug as a possible application in the treatment of COVID-19. Reference standards of Gilteritinib API, and its pharmacopeial, non pharmacopeial impurities, and stable isotopes are listed below.

stdClass Object
(
    [pname] => Gilteritinib
    [catalogue_number] => PA 07 0840000
    [category_ids] => ,75,76,78,70,82,
    [chemical_name] => 
    [weight] => 552.72
    [form] => C29H44N8O3
    [cas] => 1254053-43-4
    [pslug] => 1254053-43-4-gilteritinib-pa070840000
    [latest_product] => 0
    [linkproducts] => 1
    [offers_id] => 
    [offers_name] => 
    [offers_status] => 
    [offers_start_date] => 
    [offers_end_date] => 
    [pageview] => 
    [offers_slug] => 
    [offers_product_id] => 
    [offers_product_code] => 
    [offers_master_id] => 
    [offer_percentage] => 
    [offers_product_main_cat] => 
)
PA 07 0840000
PA 07 0840000

Gilteritinib


  • Catalogue No.:PA 07 0840000

  • CAS :

    1254053-43-4

  • Molecular Formula : C29H44N8O3

  • Molecular Weight : 552.72

stdClass Object
(
    [pname] => Gilteritinib-D5
    [catalogue_number] => PA STI 089081
    [category_ids] => ,87,75,76,78,70,82,
    [chemical_name] => 
    [weight] => 557.75
    [form] => C29H39D5N8O3
    [cas] => NA
    [pslug] => gilteritinib-d5-pasti089081
    [latest_product] => 0
    [linkproducts] => 0
    [offers_id] => 
    [offers_name] => 
    [offers_status] => 
    [offers_start_date] => 
    [offers_end_date] => 
    [pageview] => 
    [offers_slug] => 
    [offers_product_id] => 
    [offers_product_code] => 
    [offers_master_id] => 
    [offer_percentage] => 
    [offers_product_main_cat] => 
)
PA STI 089081
PA STI 089081

Gilteritinib-D5


  • Catalogue No.:PA STI 089081

  • CAS :

    NA

  • Molecular Formula : C29H39D5N8O3

  • Molecular Weight : 557.75

stdClass Object
(
    [pname] => 6-Ethyl-3-((3-methoxy-4-(4-(4-methylpiperazin-1-yl)piperidin-1-yl)phenyl)amino)-5-((tetrahydro-2H-pyran-4-yl)amino)pyrazine-2-carbonitrile
    [catalogue_number] => PA 07 0841000
    [category_ids] => ,75,76,78,70,82,
    [chemical_name] => 
    [weight] => 534.71
    [form] => C29H42N8O2
    [cas] => 2043019-99-2
    [pslug] => 2043019-99-2-6-ethyl-3-3-methoxy-4-4-4-methylpiperazin-1-yl-piperidin-1-yl-phenyl-amino-5-tetrahydro-2h-pyran-4-yl-amino-pyrazine-2-carbonitrile-pa070841000
    [latest_product] => 0
    [linkproducts] => 0
    [offers_id] => 
    [offers_name] => 
    [offers_status] => 
    [offers_start_date] => 
    [offers_end_date] => 
    [pageview] => 
    [offers_slug] => 
    [offers_product_id] => 
    [offers_product_code] => 
    [offers_master_id] => 
    [offer_percentage] => 
    [offers_product_main_cat] => 
)
PA 07 0841000
PA 07 0841000

6-Ethyl-3-((3-methoxy-4-(4-(4-methylpiperazin-1-yl)piperidin-1-yl)phenyl)amino)-5-((tetrahydro-2H-pyran-4-yl)amino)pyrazine-2-carbonitrile


  • Catalogue No.:PA 07 0841000

  • CAS :

    2043019-99-2

  • Molecular Formula : C29H42N8O2

  • Molecular Weight : 534.71

stdClass Object
(
    [pname] => 6-Ethyl-3-((3-methoxy-4-(4-(piperazin-1-yl)piperidin-1-yl)phenyl)amino)-5-((tetrahydro-2H-pyran-4-yl)amino)pyrazine-2-carboxamide
    [catalogue_number] => PA 07 0841001
    [category_ids] => ,75,76,78,70,82,
    [chemical_name] => 
    [weight] => 538.7
    [form] => C28H42N8O3
    [cas] => 1373410-40-2
    [pslug] => 1373410-40-2-6-ethyl-3-3-methoxy-4-4-piperazin-1-yl-piperidin-1-yl-phenyl-amino-5-tetrahydro-2h-pyran-4-yl-amino-pyrazine-2-carboxamide-pa070841001
    [latest_product] => 0
    [linkproducts] => 0
    [offers_id] => 
    [offers_name] => 
    [offers_status] => 
    [offers_start_date] => 
    [offers_end_date] => 
    [pageview] => 
    [offers_slug] => 
    [offers_product_id] => 
    [offers_product_code] => 
    [offers_master_id] => 
    [offer_percentage] => 
    [offers_product_main_cat] => 
)
PA 07 0841001
PA 07 0841001

6-Ethyl-3-((3-methoxy-4-(4-(piperazin-1-yl)piperidin-1-yl)phenyl)amino)-5-((tetrahydro-2H-pyran-4-yl)amino)pyrazine-2-carboxamide


  • Catalogue No.:PA 07 0841001

  • CAS :

    1373410-40-2

  • Molecular Formula : C28H42N8O3

  • Molecular Weight : 538.7

stdClass Object
(
    [pname] => 3-Methoxy-4-(4-(4-methylpiperazin-1-yl)piperidin-1-yl)aniline
    [catalogue_number] => PA 07 0841002
    [category_ids] => ,75,76,78,70,82,
    [chemical_name] => 
    [weight] => 304.44
    [form] => C17H28N4O
    [cas] => 1254058-34-8
    [pslug] => 1254058-34-8-3-methoxy-4-4-4-methylpiperazin-1-yl-piperidin-1-yl-aniline-pa070841002
    [latest_product] => 0
    [linkproducts] => 0
    [offers_id] => 
    [offers_name] => 
    [offers_status] => 
    [offers_start_date] => 
    [offers_end_date] => 
    [pageview] => 
    [offers_slug] => 
    [offers_product_id] => 
    [offers_product_code] => 
    [offers_master_id] => 
    [offer_percentage] => 
    [offers_product_main_cat] => 
)
PA 07 0841002
PA 07 0841002

3-Methoxy-4-(4-(4-methylpiperazin-1-yl)piperidin-1-yl)aniline


  • Catalogue No.:PA 07 0841002

  • CAS :

    1254058-34-8

  • Molecular Formula : C17H28N4O

  • Molecular Weight : 304.44

stdClass Object
(
    [pname] => Gilteritinib N-Methyl N-Oxide Impurity
    [catalogue_number] => PA 07 0841003
    [category_ids] => ,75,76,78,70,82,
    [chemical_name] => 
    [weight] => 568.72
    [form] => C29H44N8O4
    [cas] => NA
    [pslug] => gilteritinib-n-methyl-n-oxide-impurity-pa070841003
    [latest_product] => 0
    [linkproducts] => 0
    [offers_id] => 
    [offers_name] => 
    [offers_status] => 
    [offers_start_date] => 
    [offers_end_date] => 
    [pageview] => 
    [offers_slug] => 
    [offers_product_id] => 
    [offers_product_code] => 
    [offers_master_id] => 
    [offer_percentage] => 
    [offers_product_main_cat] => 
)
PA 07 0841003
PA 07 0841003

Gilteritinib N-Methyl N-Oxide Impurity


  • Catalogue No.:PA 07 0841003

  • CAS :

    NA

  • Molecular Formula : C29H44N8O4

  • Molecular Weight : 568.72

stdClass Object
(
    [pname] => Gilteritinib N-Oxide Impurity
    [catalogue_number] => PA 07 0841004
    [category_ids] => ,75,76,78,70,82,
    [chemical_name] => 
    [weight] => 568.72
    [form] => C29H44N8O4
    [cas] => NA
    [pslug] => gilteritinib-n-oxide-impurity-pa070841004
    [latest_product] => 0
    [linkproducts] => 0
    [offers_id] => 
    [offers_name] => 
    [offers_status] => 
    [offers_start_date] => 
    [offers_end_date] => 
    [pageview] => 
    [offers_slug] => 
    [offers_product_id] => 
    [offers_product_code] => 
    [offers_master_id] => 
    [offer_percentage] => 
    [offers_product_main_cat] => 
)
PA 07 0841004
PA 07 0841004

Gilteritinib N-Oxide Impurity


  • Catalogue No.:PA 07 0841004

  • CAS :

    NA

  • Molecular Formula : C29H44N8O4

  • Molecular Weight : 568.72

stdClass Object
(
    [pname] => 3-((4-(4-(4-(5-Carbamoyl-3-ethyl-6-((3-methoxy-4-(4-(4-methylpiperazin-1-yl)piperidin-1-yl)phenyl)amino)pyrazin-2-yl)piperazin-1-yl)piperidin-1-yl)-3-methoxyphenyl)amino)-6-ethyl-5-((tetrahydro-2H-pyran-4-yl)amino)pyrazine-2-carboxamide
    [catalogue_number] => PA 07 0841005
    [category_ids] => ,75,76,78,70,82,
    [chemical_name] => 
    [weight] => 990.27
    [form] => C52H75N15O5
    [cas] => NA
    [pslug] => 3-4-4-4-5-carbamoyl-3-ethyl-6-3-methoxy-4-4-4-methylpiperazin-1-yl-piperidin-1-yl-phenyl-amino-pyrazin-2-yl-piperazin-1-yl-piperidin-1-yl-3-methoxyphenyl-amino-6-ethyl-5-tetrahydro-2h-pyran-4-yl-amino-pyrazine-2-carboxamide-pa070841005
    [latest_product] => 0
    [linkproducts] => 0
    [offers_id] => 
    [offers_name] => 
    [offers_status] => 
    [offers_start_date] => 
    [offers_end_date] => 
    [pageview] => 
    [offers_slug] => 
    [offers_product_id] => 
    [offers_product_code] => 
    [offers_master_id] => 
    [offer_percentage] => 
    [offers_product_main_cat] => 
)
PA 07 0841005
PA 07 0841005

3-((4-(4-(4-(5-Carbamoyl-3-ethyl-6-((3-methoxy-4-(4-(4-methylpiperazin-1-yl)piperidin-1-yl)phenyl)amino)pyrazin-2-yl)piperazin-1-yl)piperidin-1-yl)-3-methoxyphenyl)amino)-6-ethyl-5-((tetrahydro-2H-pyran-4-yl)amino)pyrazine-2-carboxamide


  • Catalogue No.:PA 07 0841005

  • CAS :

    NA

  • Molecular Formula : C52H75N15O5

  • Molecular Weight : 990.27

stdClass Object
(
    [pname] => 6-Amino-4-((2-methoxy-3-(1-methyl-1H-1,2,4-triazol-3-yl)phenyl)amino)pyridazine-3-carboxylic Acid
    [catalogue_number] => PA 07 0841007
    [category_ids] => ,75,76,78,70,82,
    [chemical_name] => 
    [weight] => 341.33
    [form] => C15H15N7O3
    [cas] => 3030727-66-0
    [pslug] => 3030727-66-0-6-amino-4-2-methoxy-3-1-methyl-1h-1-2-4-triazol-3-yl-phenyl-amino-pyridazine-3-carboxylic-acid-pa070841007
    [latest_product] => 0
    [linkproducts] => 0
    [offers_id] => 
    [offers_name] => 
    [offers_status] => 
    [offers_start_date] => 
    [offers_end_date] => 
    [pageview] => 
    [offers_slug] => 
    [offers_product_id] => 
    [offers_product_code] => 
    [offers_master_id] => 
    [offer_percentage] => 
    [offers_product_main_cat] => 
)
PA 07 0841007
PA 07 0841007

6-Amino-4-((2-methoxy-3-(1-methyl-1H-1,2,4-triazol-3-yl)phenyl)amino)pyridazine-3-carboxylic Acid


  • Catalogue No.:PA 07 0841007

  • CAS :

    3030727-66-0

  • Molecular Formula : C15H15N7O3

  • Molecular Weight : 341.33

stdClass Object
(
    [pname] => 6-Ethyl-3-((3-methoxy-4-(4-(4-methylpiperazin-1-yl)piperidin-1-yl)phenyl)amino)-5-(nitroso(tetrahydro-2H-pyran-4-yl)amino)pyrazine-2-carboxamide
    [catalogue_number] => PA 07 0841008
    [category_ids] => ,75,76,78,70,82,162,
    [chemical_name] => 
    [weight] => 581.72
    [form] => C29H43N9O4
    [cas] => NA
    [pslug] => 6-ethyl-3-3-methoxy-4-4-4-methylpiperazin-1-yl-piperidin-1-yl-phenyl-amino-5-nitroso-tetrahydro-2h-pyran-4-yl-amino-pyrazine-2-carboxamide-pa070841008
    [latest_product] => 0
    [linkproducts] => 0
    [offers_id] => 
    [offers_name] => 
    [offers_status] => 
    [offers_start_date] => 
    [offers_end_date] => 
    [pageview] => 
    [offers_slug] => 
    [offers_product_id] => 
    [offers_product_code] => 
    [offers_master_id] => 
    [offer_percentage] => 
    [offers_product_main_cat] => 
)
PA 07 0841008
PA 07 0841008

6-Ethyl-3-((3-methoxy-4-(4-(4-methylpiperazin-1-yl)piperidin-1-yl)phenyl)amino)-5-(nitroso(tetrahydro-2H-pyran-4-yl)amino)pyrazine-2-carboxamide


  • Catalogue No.:PA 07 0841008

  • CAS :

    NA

  • Molecular Formula : C29H43N9O4

  • Molecular Weight : 581.72

stdClass Object
(
    [pname] => 6-Ethyl-3-((3-methoxy-4-(4-(4-methylpiperazin-1-yl)piperidin-1-yl)phenyl)(nitroso)amino)-5-((tetrahydro-2H-pyran-4-yl)amino)pyrazine-2-carboxamide
    [catalogue_number] => PA 07 0841009
    [category_ids] => ,75,76,78,70,82,162,
    [chemical_name] => 
    [weight] => 581.72
    [form] => C29H43N9O4
    [cas] => NA
    [pslug] => 6-ethyl-3-3-methoxy-4-4-4-methylpiperazin-1-yl-piperidin-1-yl-phenyl-nitroso-amino-5-tetrahydro-2h-pyran-4-yl-amino-pyrazine-2-carboxamide-pa070841009
    [latest_product] => 0
    [linkproducts] => 0
    [offers_id] => 
    [offers_name] => 
    [offers_status] => 
    [offers_start_date] => 
    [offers_end_date] => 
    [pageview] => 
    [offers_slug] => 
    [offers_product_id] => 
    [offers_product_code] => 
    [offers_master_id] => 
    [offer_percentage] => 
    [offers_product_main_cat] => 
)
PA 07 0841009
PA 07 0841009

6-Ethyl-3-((3-methoxy-4-(4-(4-methylpiperazin-1-yl)piperidin-1-yl)phenyl)(nitroso)amino)-5-((tetrahydro-2H-pyran-4-yl)amino)pyrazine-2-carboxamide


  • Catalogue No.:PA 07 0841009

  • CAS :

    NA

  • Molecular Formula : C29H43N9O4

  • Molecular Weight : 581.72

stdClass Object
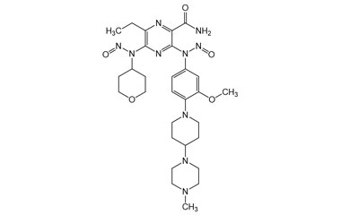
(
    [pname] => 6-Ethyl-3-((3-methoxy-4-(4-(4-methylpiperazin-1-yl)piperidin-1-yl)phenyl)(nitroso)amino)-5-(nitroso(tetrahydro-2H-pyran-4-yl)amino)pyrazine-2-carboxamide
    [catalogue_number] => PA 07 0841010
    [category_ids] => ,75,76,78,70,82,162,
    [chemical_name] => 
    [weight] => 610.72
    [form] => C29H42N10O5
    [cas] => NA
    [pslug] => 6-ethyl-3-3-methoxy-4-4-4-methylpiperazin-1-yl-piperidin-1-yl-phenyl-nitroso-amino-5-nitroso-tetrahydro-2h-pyran-4-yl-amino-pyrazine-2-carboxamide-pa070841010
    [latest_product] => 0
    [linkproducts] => 0
    [offers_id] => 
    [offers_name] => 
    [offers_status] => 
    [offers_start_date] => 
    [offers_end_date] => 
    [pageview] => 
    [offers_slug] => 
    [offers_product_id] => 
    [offers_product_code] => 
    [offers_master_id] => 
    [offer_percentage] => 
    [offers_product_main_cat] => 
)
PA 07 0841010
PA 07 0841010

6-Ethyl-3-((3-methoxy-4-(4-(4-methylpiperazin-1-yl)piperidin-1-yl)phenyl)(nitroso)amino)-5-(nitroso(tetrahydro-2H-pyran-4-yl)amino)pyrazine-2-carboxamide


  • Catalogue No.:PA 07 0841010

  • CAS :

    NA

  • Molecular Formula : C29H42N10O5

  • Molecular Weight : 610.72

stdClass Object
(
    [pname] => Gilteritinib Dioxide Impurity
    [catalogue_number] => PA 07 0841011
    [category_ids] => ,75,76,78,70,82,
    [chemical_name] => 
    [weight] => 584.72
    [form] => C29H44N8O5
    [cas] => NA
    [pslug] => gilteritinib-dioxide-impurity-pa070841011
    [latest_product] => 0
    [linkproducts] => 0
    [offers_id] => 
    [offers_name] => 
    [offers_status] => 
    [offers_start_date] => 
    [offers_end_date] => 
    [pageview] => 
    [offers_slug] => 
    [offers_product_id] => 
    [offers_product_code] => 
    [offers_master_id] => 
    [offer_percentage] => 
    [offers_product_main_cat] => 
)
PA 07 0841011
PA 07 0841011

Gilteritinib Dioxide Impurity


  • Catalogue No.:PA 07 0841011

  • CAS :

    NA

  • Molecular Formula : C29H44N8O5

  • Molecular Weight : 584.72