azithromycin dihydrate

Fine Chemicals - Azithromycin Dihydrate is primarily used for the treatment of respiratory, enteric and genitourinary infections and may be used instead of other macrolides for some sexually transmitted and enteric infections. . Reference standards of Azithromycin Dihydrate API, and its pharmacopeial, non pharmacopeial impurities, and stable isotopes are listed below.

stdClass Object
(
    [pname] => Azithromycin Dihydrate
    [catalogue_number] => PA 28 10000
    [category_ids] => ,69,71,78,70,82,88,
    [chemical_name] => 
    [weight] => 785.02
    [form] => C38H76N2O14
    [cas] => 117772-70-0
    [pslug] => 117772-70-0-azithromycin-dihydrate-api-pa2810000
    [latest_product] => 0
    [linkproducts] => 1
    [offers_id] => 
    [offers_name] => 
    [offers_status] => 
    [offers_start_date] => 
    [offers_end_date] => 
    [pageview] => 
    [offers_slug] => 
    [offers_product_id] => 
    [offers_product_code] => 
    [offers_master_id] => 
    [offer_percentage] => 
    [offers_product_main_cat] => 
)
PA 28 10000
PA 28 10000

Azithromycin Dihydrate


  • Catalogue No.:PA 28 10000

  • CAS :

    117772-70-0

  • Molecular Formula : C38H76N2O14

  • Molecular Weight : 785.02

stdClass Object
(
    [pname] => (2R,3S,4S,5R,6R,8R)-5-(((2S,3R,4S,6R)-4-(Dimethylamino)-3-hydroxy-6-methyltetrahydro-2H-pyran-2-yl)oxy)-6-hydroxy-3-(((2R,4R,5S,6S)-5-hydroxy-4-methoxy-4,6-dimethyltetrahydro-2H-pyran-2-yl)oxy)-2,4,6,8-tetramethyl-9-(methyl((2R,3R,4R,5R)-3,4,5-trihydroxy-4-methylheptan-2-yl)amino)nonanoic Acid
    [catalogue_number] => PAI 28 010001
    [category_ids] => ,75,76,78,70,82,
    [chemical_name] => 
    [weight] => 767.01
    [form] => C38H74N2O13
    [cas] => 2365312-75-8
    [pslug] => 2365312-75-8-2r-3s-4s-5r-6r-8r-5-2s-3r-4s-6r-4-dimethylamino-3-hydroxy-6-methyltetrahydro-2h-pyran-2-yl-oxy-6-hydroxy-3-2r-4r-5s-6s-5-hydroxy-4-methoxy-4-6-dimethyltetrahydro-2h-pyran-2-yl-oxy-2-4-6-8-tetramethyl-9-methyl-2r-3r-4r-5r-3-4-5-trihydroxy-4-methylheptan-2-yl-amino-nonanoic-acid-pai28010001
    [latest_product] => 0
    [linkproducts] => 0
    [offers_id] => 
    [offers_name] => 
    [offers_status] => 
    [offers_start_date] => 
    [offers_end_date] => 
    [pageview] => 
    [offers_slug] => 
    [offers_product_id] => 
    [offers_product_code] => 
    [offers_master_id] => 
    [offer_percentage] => 
    [offers_product_main_cat] => 
)
PAI 28 010001
PAI 28 010001

(2R,3S,4S,5R,6R,8R)-5-(((2S,3R,4S,6R)-4-(Dimethylamino)-3-hydroxy-6-methyltetrahydro-2H-pyran-2-yl)oxy)-6-hydroxy-3-(((2R,4R,5S,6S)-5-hydroxy-4-methoxy-4,6-dimethyltetrahydro-2H-pyran-2-yl)oxy)-2,4,6,8-tetramethyl-9-(methyl((2R,3R,4R,5R)-3,4,5-trihydroxy-4-methylheptan-2-yl)amino)nonanoic Acid


  • Catalogue No.:PAI 28 010001

  • CAS :

    2365312-75-8

  • Molecular Formula : C38H74N2O13

  • Molecular Weight : 767.01

stdClass Object
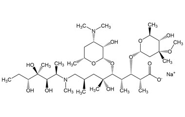
(
    [pname] => Sodium (2R,3S,4S,5R,6R,8R)-5-(((2S,3S,4S,6R)-4-(dimethylamino)-3-hydroxy-6-methyltetrahydro-2H-pyran-2-yl)oxy)-6-hydroxy-3-(((2R,4R,5S,6S)-5-hydroxy-4-methoxy-4,6-dimethyltetrahydro-2H-pyran-2-yl)oxy)-2,4,6,8-tetramethyl-9-(methyl((2R,3R,4R,5R)-3,4,5-trihydroxy-4-methylheptan-2-yl)amino)nonanoate
    [catalogue_number] => PA 28 0101000
    [category_ids] => ,75,76,78,70,82,
    [chemical_name] => 
    [weight] => 788.99
    [form] => C38H73N2NaO13
    [cas] => NA
    [pslug] => sodium-2r-3s-4s-5r-6r-8r-5-2s-3s-4s-6r-4-dimethylamino-3-hydroxy-6-methyltetrahydro-2h-pyran-2-yl-oxy-6-hydroxy-3-2r-4r-5s-6s-5-hydroxy-4-methoxy-4-6-dimethyltetrahydro-2h-pyran-2-yl-oxy-2-4-6-8-tetramethyl-9-methyl-2r-3r-4r-5r-3-4-5-trihydroxy-4-methylheptan-2-yl-amino-nonanoate-pa280101000
    [latest_product] => 0
    [linkproducts] => 0
    [offers_id] => 
    [offers_name] => 
    [offers_status] => 
    [offers_start_date] => 
    [offers_end_date] => 
    [pageview] => 
    [offers_slug] => 
    [offers_product_id] => 
    [offers_product_code] => 
    [offers_master_id] => 
    [offer_percentage] => 
    [offers_product_main_cat] => 
)
PA 28 0101000
PA 28 0101000

Sodium (2R,3S,4S,5R,6R,8R)-5-(((2S,3S,4S,6R)-4-(dimethylamino)-3-hydroxy-6-methyltetrahydro-2H-pyran-2-yl)oxy)-6-hydroxy-3-(((2R,4R,5S,6S)-5-hydroxy-4-methoxy-4,6-dimethyltetrahydro-2H-pyran-2-yl)oxy)-2,4,6,8-tetramethyl-9-(methyl((2R,3R,4R,5R)-3,4,5-trihydroxy-4-methylheptan-2-yl)amino)nonanoate


  • Catalogue No.:PA 28 0101000

  • CAS :

    NA

  • Molecular Formula : C38H73N2NaO13

  • Molecular Weight : 788.99

pharmaffiliates