Lenacapavir

Fine Chemicals - Lenacapavir, sold under the brand name Sunlenca, is an antiretroviral medication used to treat HIV/AIDS. Reference standards of Lenacapavir API, and its pharmacopeial, non pharmacopeial impurities, and stable isotopes are listed below.

stdClass Object
(
    [pname] => Lenacapavir
    [catalogue_number] => PA 12 2090000
    [category_ids] => ,69,78,70,82,
    [chemical_name] => 
    [weight] => 968.28
    [form] => C39H32ClF10N7O5S2
    [cas] => 2189684-44-2
    [pslug] => 2189684-44-2-lenacapavir-api-standards-pa122090000
    [latest_product] => 0
    [linkproducts] => 1
    [offers_id] => 
    [offers_name] => 
    [offers_status] => 
    [offers_start_date] => 
    [offers_end_date] => 
    [pageview] => 
    [offers_slug] => 
    [offers_product_id] => 
    [offers_product_code] => 
    [offers_master_id] => 
    [offer_percentage] => 
    [offers_product_main_cat] => 
)
PA 12 2090000
PA 12 2090000

Lenacapavir


  • Catalogue No.:PA 12 2090000

  • CAS :

    2189684-44-2

  • Molecular Formula : C39H32ClF10N7O5S2

  • Molecular Weight : 968.28

stdClass Object
(
    [pname] => 2-((3bR,4aS)-5,5-Difluoro-3-(trifluoromethyl)-3b,4,4a,5-tetrahydro-1H-cyclopropa[3,4]cyclopenta[1,2-c]pyrazol-1-yl)acetic Acid
    [catalogue_number] => PA 12 2091000
    [category_ids] => ,69,78,70,82,
    [chemical_name] => 
    [weight] => 282.17
    [form] => C10H7F5N2O2
    [cas] => 2189680-65-5
    [pslug] => 2189680-65-5-2-3br-4as-5-5-difluoro-3-trifluoromethyl-3b-4-4a-5-tetrahydro-1h-cyclopropa-3-4-cyclopenta-1-2-c-pyrazol-1-yl-acetic-acid-pa122091000
    [latest_product] => 0
    [linkproducts] => 0
    [offers_id] => 
    [offers_name] => 
    [offers_status] => 
    [offers_start_date] => 
    [offers_end_date] => 
    [pageview] => 
    [offers_slug] => 
    [offers_product_id] => 
    [offers_product_code] => 
    [offers_master_id] => 
    [offer_percentage] => 
    [offers_product_main_cat] => 
)
PA 12 2091000
PA 12 2091000

2-((3bR,4aS)-5,5-Difluoro-3-(trifluoromethyl)-3b,4,4a,5-tetrahydro-1H-cyclopropa[3,4]cyclopenta[1,2-c]pyrazol-1-yl)acetic Acid


  • Catalogue No.:PA 12 2091000

  • CAS :

    2189680-65-5

  • Molecular Formula : C10H7F5N2O2

  • Molecular Weight : 282.17

stdClass Object
(
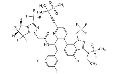
    [pname] => N-((S)-1-(3-(4-Chloro-3-(N-(methylsulfonyl)methylsulfonamido)-1-(2,2,2-trifluoroethyl)-1H-indazol-7-yl)-6-(3-methyl-3-(methylsulfonyl)but-1-yn-1-yl)pyridin-2-yl)-2-(3,5-difluorophenyl)ethyl)-2-((3bS,4aR)-5,5-difluoro-3-(trifluoromethyl)-3b,4,4a,5-tetrahydro-1H-cyclopropa[3,4]cyclopenta[1,2-c]pyrazol-1-yl)acetamide
    [catalogue_number] => PA 12 2091001
    [category_ids] => ,69,78,70,82,
    [chemical_name] => 
    [weight] => 1046.37
    [form] => C40H34ClF10N7O7S3
    [cas] => 2189684-58-8
    [pslug] => 2189684-58-8-n-s-1-3-4-chloro-3-n-methylsulfonyl-methylsulfonamido-1-2-2-2-trifluoroethyl-1h-indazol-7-yl-6-3-methyl-3-methylsulfonyl-but-1-yn-1-yl-pyridin-2-yl-2-3-5-difluorophenyl-ethyl-2-3bs-4ar-5-5-difluoro-3-trifluoromethyl-3b-4-4a-5-tetrahydro-1h-cyclopropa-3-4-cyclopenta-1-2-c-pyrazol-1-yl-acetamide-pa122091001
    [latest_product] => 0
    [linkproducts] => 0
    [offers_id] => 
    [offers_name] => 
    [offers_status] => 
    [offers_start_date] => 
    [offers_end_date] => 
    [pageview] => 
    [offers_slug] => 
    [offers_product_id] => 
    [offers_product_code] => 
    [offers_master_id] => 
    [offer_percentage] => 
    [offers_product_main_cat] => 
)
PA 12 2091001
PA 12 2091001

N-((S)-1-(3-(4-Chloro-3-(N-(methylsulfonyl)methylsulfonamido)-1-(2,2,2-trifluoroethyl)-1H-indazol-7-yl)-6-(3-methyl-3-(methylsulfonyl)but-1-yn-1-yl)pyridin-2-yl)-2-(3,5-difluorophenyl)ethyl)-2-((3bS,4aR)-5,5-difluoro-3-(trifluoromethyl)-3b,4,4a,5-tetrahydro-1H-cyclopropa[3,4]cyclopenta[1,2-c]pyrazol-1-yl)acetamide


  • Catalogue No.:PA 12 2091001

  • CAS :

    2189684-58-8

  • Molecular Formula : C40H34ClF10N7O7S3

  • Molecular Weight : 1046.37

stdClass Object
(
    [pname] => 7-(4,4,5,5-Tetramethyl-1,3,2-dioxaborolan-2-yl)-1-(2,2,2-trifluoroethyl)-1H-indazol-3-amine
    [catalogue_number] => PA 12 2091002
    [category_ids] => ,82,78,76,75,70,
    [chemical_name] => 
    [weight] => 341.14
    [form] => C15H19BF3N3O2
    [cas] => 3025145-62-1
    [pslug] => 3025145-62-1-7-4-4-5-5-tetramethyl-1-3-2-dioxaborolan-2-yl-1-2-2-2-trifluoroethyl-1h-indazol-3-amine-pa122091002
    [latest_product] => 0
    [linkproducts] => 0
    [offers_id] => 
    [offers_name] => 
    [offers_status] => 
    [offers_start_date] => 
    [offers_end_date] => 
    [pageview] => 
    [offers_slug] => 
    [offers_product_id] => 
    [offers_product_code] => 
    [offers_master_id] => 
    [offer_percentage] => 
    [offers_product_main_cat] => 
)
PA 12 2091002
PA 12 2091002

7-(4,4,5,5-Tetramethyl-1,3,2-dioxaborolan-2-yl)-1-(2,2,2-trifluoroethyl)-1H-indazol-3-amine


  • Catalogue No.:PA 12 2091002

  • CAS :

    3025145-62-1

  • Molecular Formula : C15H19BF3N3O2

  • Molecular Weight : 341.14

stdClass Object
(
    [pname] => Ethyl 2-((3bS,4aR)-3-(trifluoromethyl)-4,4a-dihydrospiro[cyclopropa[3,4]cyclopenta[1,2-c]pyrazole-5,2'-[1,3]dithiolane]-1(3bH)-yl)acetate
    [catalogue_number] => PA 12 2091003
    [category_ids] => ,69,78,70,82,
    [chemical_name] => 
    [weight] => 364.4
    [form] => C14H15F3N2O2S2
    [cas] => 2375020-09-8
    [pslug] => 2375020-09-8-ethyl-2-3bs-4ar-3-trifluoromethyl-4-4a-dihydrospiro-cyclopropa-3-4-cyclopenta-1-2-c-pyrazole-5-2-1-3-dithiolane-1-3bh-yl-acetate-pa122091003
    [latest_product] => 0
    [linkproducts] => 0
    [offers_id] => 
    [offers_name] => 
    [offers_status] => 
    [offers_start_date] => 
    [offers_end_date] => 
    [pageview] => 
    [offers_slug] => 
    [offers_product_id] => 
    [offers_product_code] => 
    [offers_master_id] => 
    [offer_percentage] => 
    [offers_product_main_cat] => 
)
PA 12 2091003
PA 12 2091003

Ethyl 2-((3bS,4aR)-3-(trifluoromethyl)-4,4a-dihydrospiro[cyclopropa[3,4]cyclopenta[1,2-c]pyrazole-5,2'-[1,3]dithiolane]-1(3bH)-yl)acetate


  • Catalogue No.:PA 12 2091003

  • CAS :

    2375020-09-8

  • Molecular Formula : C14H15F3N2O2S2

  • Molecular Weight : 364.4

stdClass Object
(
    [pname] => Ethyl 2-((3bS,4aR)-5,5-difluoro-3-(trifluoromethyl)-3b,4,4a,5-tetrahydro-1H-cyclopropa[3,4]cyclopenta[1,2-c]pyrazol-1-yl)acetate
    [catalogue_number] => PA 12 2091004
    [category_ids] => ,69,78,70,82,
    [chemical_name] => 
    [weight] => 310.22
    [form] => C12H11F5N2O2
    [cas] => 2375020-13-4
    [pslug] => 2375020-13-4-ethyl-2-3bs-4ar-5-5-difluoro-3-trifluoromethyl-3b-4-4a-5-tetrahydro-1h-cyclopropa-3-4-cyclopenta-1-2-c-pyrazol-1-yl-acetate-pa122091004
    [latest_product] => 0
    [linkproducts] => 0
    [offers_id] => 
    [offers_name] => 
    [offers_status] => 
    [offers_start_date] => 
    [offers_end_date] => 
    [pageview] => 
    [offers_slug] => 
    [offers_product_id] => 
    [offers_product_code] => 
    [offers_master_id] => 
    [offer_percentage] => 
    [offers_product_main_cat] => 
)
PA 12 2091004
PA 12 2091004

Ethyl 2-((3bS,4aR)-5,5-difluoro-3-(trifluoromethyl)-3b,4,4a,5-tetrahydro-1H-cyclopropa[3,4]cyclopenta[1,2-c]pyrazol-1-yl)acetate


  • Catalogue No.:PA 12 2091004

  • CAS :

    2375020-13-4

  • Molecular Formula : C12H11F5N2O2

  • Molecular Weight : 310.22

stdClass Object
(
    [pname] => 2-((3bS,4aR)-5-Oxo-3-(trifluoromethyl)-3b,4,4a,5-tetrahydro-1H-cyclopropa[3,4]cyclopenta[1,2-c]pyrazol-1-yl)acetic Acid
    [catalogue_number] => PA 12 2091005
    [category_ids] => ,69,78,70,82,
    [chemical_name] => 
    [weight] => 260.17
    [form] => C10H7F3N2O3
    [cas] => NA
    [pslug] => 2-3bs-4ar-5-oxo-3-trifluoromethyl-3b-4-4a-5-tetrahydro-1h-cyclopropa-3-4-cyclopenta-1-2-c-pyrazol-1-yl-acetic-acid-pa122091005
    [latest_product] => 0
    [linkproducts] => 0
    [offers_id] => 
    [offers_name] => 
    [offers_status] => 
    [offers_start_date] => 
    [offers_end_date] => 
    [pageview] => 
    [offers_slug] => 
    [offers_product_id] => 
    [offers_product_code] => 
    [offers_master_id] => 
    [offer_percentage] => 
    [offers_product_main_cat] => 
)
PA 12 2091005
PA 12 2091005

2-((3bS,4aR)-5-Oxo-3-(trifluoromethyl)-3b,4,4a,5-tetrahydro-1H-cyclopropa[3,4]cyclopenta[1,2-c]pyrazol-1-yl)acetic Acid


  • Catalogue No.:PA 12 2091005

  • CAS :

    NA

  • Molecular Formula : C10H7F3N2O3

  • Molecular Weight : 260.17

stdClass Object
(
    [pname] => 2-((3bS,4aR)-5,5-Difluoro-3-(trifluoromethyl)-3b,4,4a,5-tetrahydro-2H-cyclopropa[3,4]cyclopenta[1,2-c]pyrazol-2-yl)acetic Acid
    [catalogue_number] => PA 12 2091006
    [category_ids] => ,69,78,70,82,
    [chemical_name] => 
    [weight] => 282.17
    [form] => C10H7F5N2O2
    [cas] => NA
    [pslug] => 2-3bs-4ar-5-5-difluoro-3-trifluoromethyl-3b-4-4a-5-tetrahydro-2h-cyclopropa-3-4-cyclopenta-1-2-c-pyrazol-2-yl-acetic-acid-pa122091006
    [latest_product] => 0
    [linkproducts] => 0
    [offers_id] => 
    [offers_name] => 
    [offers_status] => 
    [offers_start_date] => 
    [offers_end_date] => 
    [pageview] => 
    [offers_slug] => 
    [offers_product_id] => 
    [offers_product_code] => 
    [offers_master_id] => 
    [offer_percentage] => 
    [offers_product_main_cat] => 
)
PA 12 2091006
PA 12 2091006

2-((3bS,4aR)-5,5-Difluoro-3-(trifluoromethyl)-3b,4,4a,5-tetrahydro-2H-cyclopropa[3,4]cyclopenta[1,2-c]pyrazol-2-yl)acetic Acid


  • Catalogue No.:PA 12 2091006

  • CAS :

    NA

  • Molecular Formula : C10H7F5N2O2

  • Molecular Weight : 282.17

stdClass Object
(
    [pname] => 2-((3bS,4aR)-5,5-Difluoro-3-(trifluoromethyl)-3b,4,4a,5-tetrahydro-1H-cyclopropa[3,4]cyclopenta[1,2-c]pyrazol-1-yl)acetic Acid
    [catalogue_number] => PA 12 2091007
    [category_ids] => ,69,78,70,82,
    [chemical_name] => 
    [weight] => 282.17
    [form] => C10H7F5N2O2
    [cas] => 1620056-83-8
    [pslug] => 1620056-83-8-2-3bs-4ar-5-5-difluoro-3-trifluoromethyl-3b-4-4a-5-tetrahydro-1h-cyclopropa-3-4-cyclopenta-1-2-c-pyrazol-1-yl-acetic-acid-pa122091007
    [latest_product] => 0
    [linkproducts] => 0
    [offers_id] => 
    [offers_name] => 
    [offers_status] => 
    [offers_start_date] => 
    [offers_end_date] => 
    [pageview] => 
    [offers_slug] => 
    [offers_product_id] => 
    [offers_product_code] => 
    [offers_master_id] => 
    [offer_percentage] => 
    [offers_product_main_cat] => 
)
PA 12 2091007
PA 12 2091007

2-((3bS,4aR)-5,5-Difluoro-3-(trifluoromethyl)-3b,4,4a,5-tetrahydro-1H-cyclopropa[3,4]cyclopenta[1,2-c]pyrazol-1-yl)acetic Acid


  • Catalogue No.:PA 12 2091007

  • CAS :

    1620056-83-8

  • Molecular Formula : C10H7F5N2O2

  • Molecular Weight : 282.17

stdClass Object
(
    [pname] => (S)-1-(6-Bromo-3-chloropyridin-2-yl)-2-(3,5-difluorophenyl)ethan-1-amine
    [catalogue_number] => PA 12 2091008
    [category_ids] => ,69,78,70,82,
    [chemical_name] => 
    [weight] => 347.59
    [form] => C13H10BrClF2N2
    [cas] => NA
    [pslug] => s-1-6-bromo-3-chloropyridin-2-yl-2-3-5-difluorophenyl-ethan-1-amine-pa122091008
    [latest_product] => 0
    [linkproducts] => 0
    [offers_id] => 
    [offers_name] => 
    [offers_status] => 
    [offers_start_date] => 
    [offers_end_date] => 
    [pageview] => 
    [offers_slug] => 
    [offers_product_id] => 
    [offers_product_code] => 
    [offers_master_id] => 
    [offer_percentage] => 
    [offers_product_main_cat] => 
)
PA 12 2091008
PA 12 2091008

(S)-1-(6-Bromo-3-chloropyridin-2-yl)-2-(3,5-difluorophenyl)ethan-1-amine


  • Catalogue No.:PA 12 2091008

  • CAS :

    NA

  • Molecular Formula : C13H10BrClF2N2

  • Molecular Weight : 347.59

stdClass Object
(
    [pname] => (S)-1-(3-Bromo-6-chloropyridin-2-yl)-2-(3,5-difluorophenyl)ethan-1-amine
    [catalogue_number] => PA 12 2091009
    [category_ids] => ,69,78,70,82,
    [chemical_name] => 
    [weight] => 347.59
    [form] => C13H10BrClF2N2
    [cas] => NA
    [pslug] => s-1-3-bromo-6-chloropyridin-2-yl-2-3-5-difluorophenyl-ethan-1-amine-pa122091009
    [latest_product] => 0
    [linkproducts] => 0
    [offers_id] => 
    [offers_name] => 
    [offers_status] => 
    [offers_start_date] => 
    [offers_end_date] => 
    [pageview] => 
    [offers_slug] => 
    [offers_product_id] => 
    [offers_product_code] => 
    [offers_master_id] => 
    [offer_percentage] => 
    [offers_product_main_cat] => 
)
PA 12 2091009
PA 12 2091009

(S)-1-(3-Bromo-6-chloropyridin-2-yl)-2-(3,5-difluorophenyl)ethan-1-amine


  • Catalogue No.:PA 12 2091009

  • CAS :

    NA

  • Molecular Formula : C13H10BrClF2N2

  • Molecular Weight : 347.59

stdClass Object
(
    [pname] => (S)-1-(3-Bromo-6-chloropyridin-2-yl)-2-(3,5-difluorophenyl)ethan-1-amine compound with (S)-1-(6-bromo-3-chloropyridin-2-yl)-2-(3,5-difluorophenyl)ethan-1-amine (1:1)
    [catalogue_number] => PA 12 2091010
    [category_ids] => ,69,78,70,82,
    [chemical_name] => 
    [weight] => 347.59
    [form] => C13H10BrClF2N2
    [cas] => NA
    [pslug] => s-1-3-bromo-6-chloropyridin-2-yl-2-3-5-difluorophenyl-ethan-1-amine-compound-with-s-1-6-bromo-3-chloropyridin-2-yl-2-3-5-difluorophenyl-ethan-1-amine-1-1-pa122091010
    [latest_product] => 0
    [linkproducts] => 0
    [offers_id] => 
    [offers_name] => 
    [offers_status] => 
    [offers_start_date] => 
    [offers_end_date] => 
    [pageview] => 
    [offers_slug] => 
    [offers_product_id] => 
    [offers_product_code] => 
    [offers_master_id] => 
    [offer_percentage] => 
    [offers_product_main_cat] => 
)
PA 12 2091010
PA 12 2091010

(S)-1-(3-Bromo-6-chloropyridin-2-yl)-2-(3,5-difluorophenyl)ethan-1-amine compound with (S)-1-(6-bromo-3-chloropyridin-2-yl)-2-(3,5-difluorophenyl)ethan-1-amine (1:1)


  • Catalogue No.:PA 12 2091010

  • CAS :

    NA

  • Molecular Formula : C13H10BrClF2N2

  • Molecular Weight : 347.59

stdClass Object
(
    [pname] => 7-Bromo-4-iodo-1H-indazol-3-amine
    [catalogue_number] => PA 12 2091011
    [category_ids] => ,69,78,70,82,
    [chemical_name] => 
    [weight] => 337.95
    [form] => C7H5BrIN3
    [cas] => 935660-94-9
    [pslug] => 935660-94-9-7-bromo-4-iodo-1h-indazol-3-amine-pa122091011
    [latest_product] => 0
    [linkproducts] => 0
    [offers_id] => 
    [offers_name] => 
    [offers_status] => 
    [offers_start_date] => 
    [offers_end_date] => 
    [pageview] => 
    [offers_slug] => 
    [offers_product_id] => 
    [offers_product_code] => 
    [offers_master_id] => 
    [offer_percentage] => 
    [offers_product_main_cat] => 
)
PA 12 2091011
PA 12 2091011

7-Bromo-4-iodo-1H-indazol-3-amine


  • Catalogue No.:PA 12 2091011

  • CAS :

    935660-94-9

  • Molecular Formula : C7H5BrIN3

  • Molecular Weight : 337.95

stdClass Object
(
    [pname] => Deschloro Lenacapavir
    [catalogue_number] => PA 12 2091012
    [category_ids] => ,69,78,70,82,
    [chemical_name] => 
    [weight] => 933.84
    [form] => C39H33F10N7O5S2
    [cas] => 3025145-47-2
    [pslug] => 3025145-47-2-deschloro-lenacapavir-pa122091012
    [latest_product] => 0
    [linkproducts] => 0
    [offers_id] => 
    [offers_name] => 
    [offers_status] => 
    [offers_start_date] => 
    [offers_end_date] => 
    [pageview] => 
    [offers_slug] => 
    [offers_product_id] => 
    [offers_product_code] => 
    [offers_master_id] => 
    [offer_percentage] => 
    [offers_product_main_cat] => 
)
PA 12 2091012
PA 12 2091012

Deschloro Lenacapavir


  • Catalogue No.:PA 12 2091012

  • CAS :

    3025145-47-2

  • Molecular Formula : C39H33F10N7O5S2

  • Molecular Weight : 933.84

stdClass Object
(
    [pname] => N-((S)-1-(3-(4-Chloro-3-(methylsulfonamido)-1-(2,2,2-trifluoroethyl)-1H-indazol-7-yl)-6-(3-methylbut-3-en-1-yn-1-yl)pyridin-2-yl)-2-(3,5-difluorophenyl)ethyl)-2-((3bS,4aR)-5,5-difluoro-3-(trifluoromethyl)-3b,4,4a,5-tetrahydro-1H-cyclopropa[3,4]cyclopenta[1,2-c]pyrazol-1-yl)acetamide
    [catalogue_number] => PA 12 2091013
    [category_ids] => ,69,78,70,82,
    [chemical_name] => 
    [weight] => 888.18
    [form] => C38H28ClF10N7O3S
    [cas] => NA
    [pslug] => n-s-1-3-4-chloro-3-methylsulfonamido-1-2-2-2-trifluoroethyl-1h-indazol-7-yl-6-3-methylbut-3-en-1-yn-1-yl-pyridin-2-yl-2-3-5-difluorophenyl-ethyl-2-3bs-4ar-5-5-difluoro-3-trifluoromethyl-3b-4-4a-5-tetrahydro-1h-cyclopropa-3-4-cyclopenta-1-2-c-pyrazol-1-yl-acetamide-pa122091013
    [latest_product] => 0
    [linkproducts] => 0
    [offers_id] => 
    [offers_name] => 
    [offers_status] => 
    [offers_start_date] => 
    [offers_end_date] => 
    [pageview] => 
    [offers_slug] => 
    [offers_product_id] => 
    [offers_product_code] => 
    [offers_master_id] => 
    [offer_percentage] => 
    [offers_product_main_cat] => 
)
PA 12 2091013
PA 12 2091013

N-((S)-1-(3-(4-Chloro-3-(methylsulfonamido)-1-(2,2,2-trifluoroethyl)-1H-indazol-7-yl)-6-(3-methylbut-3-en-1-yn-1-yl)pyridin-2-yl)-2-(3,5-difluorophenyl)ethyl)-2-((3bS,4aR)-5,5-difluoro-3-(trifluoromethyl)-3b,4,4a,5-tetrahydro-1H-cyclopropa[3,4]cyclopenta[1,2-c]pyrazol-1-yl)acetamide


  • Catalogue No.:PA 12 2091013

  • CAS :

    NA

  • Molecular Formula : C38H28ClF10N7O3S

  • Molecular Weight : 888.18

stdClass Object
(
    [pname] => Hydroxy Desmethylsulfonyl Lenacapavir
    [catalogue_number] => PA 12 2091014
    [category_ids] => ,69,78,70,82,
    [chemical_name] => 
    [weight] => 906.2
    [form] => C38H30ClF10N7O4S
    [cas] => 3025145-44-9
    [pslug] => 3025145-44-9-hydroxy-desmethylsulfonyl-lenacapavir-pa122091014
    [latest_product] => 0
    [linkproducts] => 0
    [offers_id] => 
    [offers_name] => 
    [offers_status] => 
    [offers_start_date] => 
    [offers_end_date] => 
    [pageview] => 
    [offers_slug] => 
    [offers_product_id] => 
    [offers_product_code] => 
    [offers_master_id] => 
    [offer_percentage] => 
    [offers_product_main_cat] => 
)
PA 12 2091014
PA 12 2091014

Hydroxy Desmethylsulfonyl Lenacapavir


  • Catalogue No.:PA 12 2091014

  • CAS :

    3025145-44-9

  • Molecular Formula : C38H30ClF10N7O4S

  • Molecular Weight : 906.2

stdClass Object
(
    [pname] => (S)-N-(7-(2-(1-Amino-2-(3,5-Difluorophenyl)ethyl)-6-(3-methyl-3-(methylsulfonyl)but-1-yn-1-yl)pyridin-3-yl)-4-chloro-1-(2,2,2-trifluoroethyl)-1H-indazol-3-yl)methanesulfonamide
    [catalogue_number] => PA 12 2091015
    [category_ids] => ,75,76,78,70,82,
    [chemical_name] => 
    [weight] => 704.13
    [form] => C29H27ClF5N5O4S2
    [cas] => 3053923-46-6
    [pslug] => 3053923-46-6-s-n-7-2-1-amino-2-3-5-difluorophenyl-ethyl-6-3-methyl-3-methylsulfonyl-but-1-yn-1-yl-pyridin-3-yl-4-chloro-1-2-2-2-trifluoroethyl-1h-indazol-3-yl-methanesulfonamide-pa122091015
    [latest_product] => 0
    [linkproducts] => 0
    [offers_id] => 
    [offers_name] => 
    [offers_status] => 
    [offers_start_date] => 
    [offers_end_date] => 
    [pageview] => 
    [offers_slug] => 
    [offers_product_id] => 
    [offers_product_code] => 
    [offers_master_id] => 
    [offer_percentage] => 
    [offers_product_main_cat] => 
)
PA 12 2091015
PA 12 2091015

(S)-N-(7-(2-(1-Amino-2-(3,5-Difluorophenyl)ethyl)-6-(3-methyl-3-(methylsulfonyl)but-1-yn-1-yl)pyridin-3-yl)-4-chloro-1-(2,2,2-trifluoroethyl)-1H-indazol-3-yl)methanesulfonamide


  • Catalogue No.:PA 12 2091015

  • CAS :

    3053923-46-6

  • Molecular Formula : C29H27ClF5N5O4S2

  • Molecular Weight : 704.13

stdClass Object
(
    [pname] => N-((S)-1-(3-(3-Amino-4-chloro-1-(2,2,2-trifluoroethyl)-1H-indazol-7-yl)-6-(3-methyl-3-(methylsulfonyl)but-1-yn-1-yl)pyridin-2-yl)-2-(3,5-difluorophenyl)ethyl)-2-((3bS,4aR)-5,5-difluoro-3-(trifluoromethyl)-3b,4,4a,5-tetrahydro-1H-cyclopropa[3,4]cyclopenta[1,2-c]pyrazol-1-yl)acetamide
    [catalogue_number] => PA 12 2091019
    [category_ids] => ,69,78,70,82,
    [chemical_name] => 
    [weight] => 890.2
    [form] => C38H30ClF10N7O3S
    [cas] => 2375020-20-3
    [pslug] => 2375020-20-3-n-s-1-3-3-amino-4-chloro-1-2-2-2-trifluoroethyl-1h-indazol-7-yl-6-3-methyl-3-methylsulfonyl-but-1-yn-1-yl-pyridin-2-yl-2-3-5-difluorophenyl-ethyl-2-3bs-4ar-5-5-difluoro-3-trifluoromethyl-3b-4-4a-5-tetrahydro-1h-cyclopropa-3-4-cyclopenta-1-2-c-pyrazol-1-yl-acetamide-pa122091019
    [latest_product] => 0
    [linkproducts] => 0
    [offers_id] => 
    [offers_name] => 
    [offers_status] => 
    [offers_start_date] => 
    [offers_end_date] => 
    [pageview] => 
    [offers_slug] => 
    [offers_product_id] => 
    [offers_product_code] => 
    [offers_master_id] => 
    [offer_percentage] => 
    [offers_product_main_cat] => 
)
PA 12 2091019
PA 12 2091019

N-((S)-1-(3-(3-Amino-4-chloro-1-(2,2,2-trifluoroethyl)-1H-indazol-7-yl)-6-(3-methyl-3-(methylsulfonyl)but-1-yn-1-yl)pyridin-2-yl)-2-(3,5-difluorophenyl)ethyl)-2-((3bS,4aR)-5,5-difluoro-3-(trifluoromethyl)-3b,4,4a,5-tetrahydro-1H-cyclopropa[3,4]cyclopenta[1,2-c]pyrazol-1-yl)acetamide


  • Catalogue No.:PA 12 2091019

  • CAS :

    2375020-20-3

  • Molecular Formula : C38H30ClF10N7O3S

  • Molecular Weight : 890.2

stdClass Object
(
    [pname] => N-((S)-1-(3-(4-Chloro-3-(methylsulfonamido)-1-(2,2,2-trifluoroethyl)-1H-indazol-7-yl)-6-(3-methyl-3-(methylsulfonyl)but-1-yn-1-yl)pyridin-2-yl)-2-(3,5-difluorophenyl)ethyl)-2-((3bS,4aR)-5-oxo-3-(trifluoromethyl)-3b,4,4a,5-tetrahydro-1H-cyclopropa[3,4]cyclopenta[1,2-c]pyrazol-1-yl)acetamide
    [catalogue_number] => PA 12 2091018
    [category_ids] => ,69,78,70,82,
    [chemical_name] => 
    [weight] => 946.29
    [form] => C39H32ClF8N7O6S2
    [cas] => NA
    [pslug] => n-s-1-3-4-chloro-3-methylsulfonamido-1-2-2-2-trifluoroethyl-1h-indazol-7-yl-6-3-methyl-3-methylsulfonyl-but-1-yn-1-yl-pyridin-2-yl-2-3-5-difluorophenyl-ethyl-2-3bs-4ar-5-oxo-3-trifluoromethyl-3b-4-4a-5-tetrahydro-1h-cyclopropa-3-4-cyclopenta-1-2-c-pyrazol-1-yl-acetamide-pa122091018
    [latest_product] => 0
    [linkproducts] => 0
    [offers_id] => 
    [offers_name] => 
    [offers_status] => 
    [offers_start_date] => 
    [offers_end_date] => 
    [pageview] => 
    [offers_slug] => 
    [offers_product_id] => 
    [offers_product_code] => 
    [offers_master_id] => 
    [offer_percentage] => 
    [offers_product_main_cat] => 
)
PA 12 2091018
PA 12 2091018

N-((S)-1-(3-(4-Chloro-3-(methylsulfonamido)-1-(2,2,2-trifluoroethyl)-1H-indazol-7-yl)-6-(3-methyl-3-(methylsulfonyl)but-1-yn-1-yl)pyridin-2-yl)-2-(3,5-difluorophenyl)ethyl)-2-((3bS,4aR)-5-oxo-3-(trifluoromethyl)-3b,4,4a,5-tetrahydro-1H-cyclopropa[3,4]cyclopenta[1,2-c]pyrazol-1-yl)acetamide


  • Catalogue No.:PA 12 2091018

  • CAS :

    NA

  • Molecular Formula : C39H32ClF8N7O6S2

  • Molecular Weight : 946.29

stdClass Object
(
    [pname] => 2-((3bS,4aR)-5,5-Difluoro-3-(trifluoromethyl)-3b,4,4a,5-tetrahydro-1H-cyclopropa[3,4]cyclopenta[1,2-c]pyrazol-1-yl)-N-((S)-2-(3,5-difluorophenyl)-1-(6-(3-methyl-3-(methylsulfonyl)but-1-yn-1-yl)pyridin-2-yl)ethyl)acetamide
    [catalogue_number] => PA 12 2091017
    [category_ids] => ,69,78,70,82,
    [chemical_name] => 
    [weight] => 642.59
    [form] => C29H25F7N4O3S
    [cas] => NA
    [pslug] => 2-3bs-4ar-5-5-difluoro-3-trifluoromethyl-3b-4-4a-5-tetrahydro-1h-cyclopropa-3-4-cyclopenta-1-2-c-pyrazol-1-yl-n-s-2-3-5-difluorophenyl-1-6-3-methyl-3-methylsulfonyl-but-1-yn-1-yl-pyridin-2-yl-ethyl-acetamide-pa122091017
    [latest_product] => 0
    [linkproducts] => 0
    [offers_id] => 
    [offers_name] => 
    [offers_status] => 
    [offers_start_date] => 
    [offers_end_date] => 
    [pageview] => 
    [offers_slug] => 
    [offers_product_id] => 
    [offers_product_code] => 
    [offers_master_id] => 
    [offer_percentage] => 
    [offers_product_main_cat] => 
)
PA 12 2091017
PA 12 2091017

2-((3bS,4aR)-5,5-Difluoro-3-(trifluoromethyl)-3b,4,4a,5-tetrahydro-1H-cyclopropa[3,4]cyclopenta[1,2-c]pyrazol-1-yl)-N-((S)-2-(3,5-difluorophenyl)-1-(6-(3-methyl-3-(methylsulfonyl)but-1-yn-1-yl)pyridin-2-yl)ethyl)acetamide


  • Catalogue No.:PA 12 2091017

  • CAS :

    NA

  • Molecular Formula : C29H25F7N4O3S

  • Molecular Weight : 642.59

stdClass Object
(
    [pname] => (S)-N-(1-(3-(4-Chloro-3-(methylsulfonamido)-1-(2,2,2-trifluoroethyl)-1H-indazol-7-yl)-6-(3-methyl-3-(methylsulfonyl)but-1-yn-1-yl)pyridin-2-yl)-2-(3,5-difluorophenyl)ethyl)acetamide
    [catalogue_number] => PA 12 2091016
    [category_ids] => ,69,78,70,82,
    [chemical_name] => 
    [weight] => 746.17
    [form] => C31H29ClF5N5O5S2
    [cas] => NA
    [pslug] => s-n-1-3-4-chloro-3-methylsulfonamido-1-2-2-2-trifluoroethyl-1h-indazol-7-yl-6-3-methyl-3-methylsulfonyl-but-1-yn-1-yl-pyridin-2-yl-2-3-5-difluorophenyl-ethyl-acetamide-pa122091016
    [latest_product] => 0
    [linkproducts] => 0
    [offers_id] => 
    [offers_name] => 
    [offers_status] => 
    [offers_start_date] => 
    [offers_end_date] => 
    [pageview] => 
    [offers_slug] => 
    [offers_product_id] => 
    [offers_product_code] => 
    [offers_master_id] => 
    [offer_percentage] => 
    [offers_product_main_cat] => 
)
PA 12 2091016
PA 12 2091016

(S)-N-(1-(3-(4-Chloro-3-(methylsulfonamido)-1-(2,2,2-trifluoroethyl)-1H-indazol-7-yl)-6-(3-methyl-3-(methylsulfonyl)but-1-yn-1-yl)pyridin-2-yl)-2-(3,5-difluorophenyl)ethyl)acetamide


  • Catalogue No.:PA 12 2091016

  • CAS :

    NA

  • Molecular Formula : C31H29ClF5N5O5S2

  • Molecular Weight : 746.17

stdClass Object
(
    [pname] => (R)-1-(3,6-Dibromopyridin-2-yl)-2-(3,5-difluorophenyl)ethan-1-amine acetyl-L-leucinate
    [catalogue_number] => PA 12 2091020
    [category_ids] => ,78,70,82,
    [chemical_name] => 
    [weight] => 565.25
    [form] => C21H25Br2F2N3O3
    [cas] => NA
    [pslug] => r-1-3-6-dibromopyridin-2-yl-2-3-5-difluorophenyl-ethan-1-amine-acetyl-l-leucinate-pa122091020
    [latest_product] => 0
    [linkproducts] => 0
    [offers_id] => 
    [offers_name] => 
    [offers_status] => 
    [offers_start_date] => 
    [offers_end_date] => 
    [pageview] => 
    [offers_slug] => 
    [offers_product_id] => 
    [offers_product_code] => 
    [offers_master_id] => 
    [offer_percentage] => 
    [offers_product_main_cat] => 
)
PA 12 2091020
PA 12 2091020

(R)-1-(3,6-Dibromopyridin-2-yl)-2-(3,5-difluorophenyl)ethan-1-amine acetyl-L-leucinate


  • Catalogue No.:PA 12 2091020

  • CAS :

    NA

  • Molecular Formula : C21H25Br2F2N3O3

  • Molecular Weight : 565.25

stdClass Object
(
    [pname] => (R)-1-(3,6-Dibromopyridin-2-yl)-2-(3,5-difluorophenyl)ethan-1-amine acetyl-D-leucinate
    [catalogue_number] => PA 12 2091021
    [category_ids] => ,78,70,82,
    [chemical_name] => 
    [weight] => 565.25
    [form] => C21H25Br2F2N3O3
    [cas] => NA
    [pslug] => r-1-3-6-dibromopyridin-2-yl-2-3-5-difluorophenyl-ethan-1-amine-acetyl-d-leucinate-pa122091021
    [latest_product] => 0
    [linkproducts] => 0
    [offers_id] => 
    [offers_name] => 
    [offers_status] => 
    [offers_start_date] => 
    [offers_end_date] => 
    [pageview] => 
    [offers_slug] => 
    [offers_product_id] => 
    [offers_product_code] => 
    [offers_master_id] => 
    [offer_percentage] => 
    [offers_product_main_cat] => 
)
PA 12 2091021
PA 12 2091021

(R)-1-(3,6-Dibromopyridin-2-yl)-2-(3,5-difluorophenyl)ethan-1-amine acetyl-D-leucinate


  • Catalogue No.:PA 12 2091021

  • CAS :

    NA

  • Molecular Formula : C21H25Br2F2N3O3

  • Molecular Weight : 565.25

stdClass Object
(
    [pname] => (R)-1-(3-Bromo-6-(3-methyl-3-(methylsulfonyl)but-1-yn-1-yl)pyridin-2-yl)-2-(3,5-difluorophenyl)ethan-1-amine
    [catalogue_number] => PA 12 2091022
    [category_ids] => ,78,70,82,
    [chemical_name] => 
    [weight] => 457.33
    [form] => C19H19BrF2N2O2S
    [cas] => NA
    [pslug] => r-1-3-bromo-6-3-methyl-3-methylsulfonyl-but-1-yn-1-yl-pyridin-2-yl-2-3-5-difluorophenyl-ethan-1-amine-pa122091022
    [latest_product] => 0
    [linkproducts] => 0
    [offers_id] => 
    [offers_name] => 
    [offers_status] => 
    [offers_start_date] => 
    [offers_end_date] => 
    [pageview] => 
    [offers_slug] => 
    [offers_product_id] => 
    [offers_product_code] => 
    [offers_master_id] => 
    [offer_percentage] => 
    [offers_product_main_cat] => 
)
PA 12 2091022
PA 12 2091022

(R)-1-(3-Bromo-6-(3-methyl-3-(methylsulfonyl)but-1-yn-1-yl)pyridin-2-yl)-2-(3,5-difluorophenyl)ethan-1-amine


  • Catalogue No.:PA 12 2091022

  • CAS :

    NA

  • Molecular Formula : C19H19BrF2N2O2S

  • Molecular Weight : 457.33

stdClass Object
(
    [pname] => (S)-1-(3,6-Dibromopyridin-2-yl)-2-(3,5-difluorophenyl)ethan-1-amine acetyl-L-leucinate
    [catalogue_number] => PA 12 2091023
    [category_ids] => ,78,70,82,
    [chemical_name] => 
    [weight] => 565.25
    [form] => C21H25Br2F2N3O3
    [cas] => 2375020-37-2
    [pslug] => 2375020-37-2-s-1-3-6-dibromopyridin-2-yl-2-3-5-difluorophenyl-ethan-1-amine-acetyl-l-leucinate-pa122091023
    [latest_product] => 0
    [linkproducts] => 0
    [offers_id] => 
    [offers_name] => 
    [offers_status] => 
    [offers_start_date] => 
    [offers_end_date] => 
    [pageview] => 
    [offers_slug] => 
    [offers_product_id] => 
    [offers_product_code] => 
    [offers_master_id] => 
    [offer_percentage] => 
    [offers_product_main_cat] => 
)
PA 12 2091023
PA 12 2091023

(S)-1-(3,6-Dibromopyridin-2-yl)-2-(3,5-difluorophenyl)ethan-1-amine acetyl-L-leucinate


  • Catalogue No.:PA 12 2091023

  • CAS :

    2375020-37-2

  • Molecular Formula : C21H25Br2F2N3O3

  • Molecular Weight : 565.25

stdClass Object
(
    [pname] => 1-(3,6-Dibromopyridin-2-yl)-2-(3,5-difluorophenyl)ethan-1-one
    [catalogue_number] => PA 12 2091024
    [category_ids] => ,69,78,70,82,
    [chemical_name] => 
    [weight] => 391.01
    [form] => C13H7Br2F2NO
    [cas] => 2375021-58-0
    [pslug] => 2375021-58-0-1-3-6-dibromopyridin-2-yl-2-3-5-difluorophenyl-ethan-1-one-pa122091024
    [latest_product] => 0
    [linkproducts] => 0
    [offers_id] => 
    [offers_name] => 
    [offers_status] => 
    [offers_start_date] => 
    [offers_end_date] => 
    [pageview] => 
    [offers_slug] => 
    [offers_product_id] => 
    [offers_product_code] => 
    [offers_master_id] => 
    [offer_percentage] => 
    [offers_product_main_cat] => 
)
PA 12 2091024
PA 12 2091024

1-(3,6-Dibromopyridin-2-yl)-2-(3,5-difluorophenyl)ethan-1-one


  • Catalogue No.:PA 12 2091024

  • CAS :

    2375021-58-0

  • Molecular Formula : C13H7Br2F2NO

  • Molecular Weight : 391.01

stdClass Object
(
    [pname] => 7-Bromo-4-chloro-1-(2,2,2-trifluoroethyl)-1H-indazol-3-amine
    [catalogue_number] => PA 12 2091025
    [category_ids] => ,69,78,70,82,
    [chemical_name] => 
    [weight] => 328.52
    [form] => C9H6BrClF3N3
    [cas] => 2189684-52-2
    [pslug] => 2189684-52-2-7-bromo-4-chloro-1-2-2-2-trifluoroethyl-1h-indazol-3-amine-pa122091025
    [latest_product] => 0
    [linkproducts] => 0
    [offers_id] => 
    [offers_name] => 
    [offers_status] => 
    [offers_start_date] => 
    [offers_end_date] => 
    [pageview] => 
    [offers_slug] => 
    [offers_product_id] => 
    [offers_product_code] => 
    [offers_master_id] => 
    [offer_percentage] => 
    [offers_product_main_cat] => 
)
PA 12 2091025
PA 12 2091025

7-Bromo-4-chloro-1-(2,2,2-trifluoroethyl)-1H-indazol-3-amine


  • Catalogue No.:PA 12 2091025

  • CAS :

    2189684-52-2

  • Molecular Formula : C9H6BrClF3N3

  • Molecular Weight : 328.52

stdClass Object
(
    [pname] => 1-(3-Bromo-6-(3-methyl-3-(methylsulfonyl)but-1-yn-1-yl)pyridin-2-yl)-2-(3,5-difluorophenyl)ethan-1-one
    [catalogue_number] => PA 12 2091026
    [category_ids] => ,69,78,70,82,
    [chemical_name] => 
    [weight] => 456.3
    [form] => C19H16BrF2NO3S
    [cas] => 3044746-78-0
    [pslug] => 3044746-78-0-1-3-bromo-6-3-methyl-3-methylsulfonyl-but-1-yn-1-yl-pyridin-2-yl-2-3-5-difluorophenyl-ethan-1-one-pa122091026
    [latest_product] => 0
    [linkproducts] => 0
    [offers_id] => 
    [offers_name] => 
    [offers_status] => 
    [offers_start_date] => 
    [offers_end_date] => 
    [pageview] => 
    [offers_slug] => 
    [offers_product_id] => 
    [offers_product_code] => 
    [offers_master_id] => 
    [offer_percentage] => 
    [offers_product_main_cat] => 
)
PA 12 2091026
PA 12 2091026

1-(3-Bromo-6-(3-methyl-3-(methylsulfonyl)but-1-yn-1-yl)pyridin-2-yl)-2-(3,5-difluorophenyl)ethan-1-one


  • Catalogue No.:PA 12 2091026

  • CAS :

    3044746-78-0

  • Molecular Formula : C19H16BrF2NO3S

  • Molecular Weight : 456.3

stdClass Object
(
    [pname] => (S)-1-(3,6-Dibromopyridin-2-yl)-2-(3,5-difluorophenyl)ethan-1-amine
    [catalogue_number] => PA 12 2091027
    [category_ids] => ,69,78,70,82,
    [chemical_name] => 
    [weight] => 392.04
    [form] => C13H10Br2F2N2
    [cas] => 1626481-45-5
    [pslug] => 1626481-45-5-s-1-3-6-dibromopyridin-2-yl-2-3-5-difluorophenyl-ethan-1-amine-pa122091027
    [latest_product] => 0
    [linkproducts] => 0
    [offers_id] => 
    [offers_name] => 
    [offers_status] => 
    [offers_start_date] => 
    [offers_end_date] => 
    [pageview] => 
    [offers_slug] => 
    [offers_product_id] => 
    [offers_product_code] => 
    [offers_master_id] => 
    [offer_percentage] => 
    [offers_product_main_cat] => 
)
PA 12 2091027
PA 12 2091027

(S)-1-(3,6-Dibromopyridin-2-yl)-2-(3,5-difluorophenyl)ethan-1-amine


  • Catalogue No.:PA 12 2091027

  • CAS :

    1626481-45-5

  • Molecular Formula : C13H10Br2F2N2

  • Molecular Weight : 392.04

stdClass Object
(
    [pname] => (S)-1-(3,6-Dibromopyridin-2-yl)-2-(3,5-difluorophenyl)ethanamine Hydrochloride
    [catalogue_number] => PA 12 2091028
    [category_ids] => ,69,78,70,82,
    [chemical_name] => 
    [weight] => 428.5
    [form] => C13H11Br2ClF2N2
    [cas] => 1626335-72-5
    [pslug] => 1626335-72-5-s-1-3-6-dibromopyridin-2-yl-2-3-5-difluorophenyl-ethanamine-hydrochloride-pa122091028
    [latest_product] => 0
    [linkproducts] => 0
    [offers_id] => 
    [offers_name] => 
    [offers_status] => 
    [offers_start_date] => 
    [offers_end_date] => 
    [pageview] => 
    [offers_slug] => 
    [offers_product_id] => 
    [offers_product_code] => 
    [offers_master_id] => 
    [offer_percentage] => 
    [offers_product_main_cat] => 
)
PA 12 2091028
PA 12 2091028

(S)-1-(3,6-Dibromopyridin-2-yl)-2-(3,5-difluorophenyl)ethanamine Hydrochloride


  • Catalogue No.:PA 12 2091028

  • CAS :

    1626335-72-5

  • Molecular Formula : C13H11Br2ClF2N2

  • Molecular Weight : 428.5

stdClass Object
(
    [pname] => N-(1-(3,6-Dibromopyridin-2-yl)-2-(3,5-difluorophenyl)ethyl)-1,1-diphenylmethanimine
    [catalogue_number] => PA 12 2091029
    [category_ids] => ,69,78,70,82,
    [chemical_name] => 
    [weight] => 556.25
    [form] => C26H18Br2F2N2
    [cas] => 2375019-72-8
    [pslug] => 2375019-72-8-n-1-3-6-dibromopyridin-2-yl-2-3-5-difluorophenyl-ethyl-1-1-diphenylmethanimine-pa122091029
    [latest_product] => 0
    [linkproducts] => 0
    [offers_id] => 
    [offers_name] => 
    [offers_status] => 
    [offers_start_date] => 
    [offers_end_date] => 
    [pageview] => 
    [offers_slug] => 
    [offers_product_id] => 
    [offers_product_code] => 
    [offers_master_id] => 
    [offer_percentage] => 
    [offers_product_main_cat] => 
)
PA 12 2091029
PA 12 2091029

N-(1-(3,6-Dibromopyridin-2-yl)-2-(3,5-difluorophenyl)ethyl)-1,1-diphenylmethanimine


  • Catalogue No.:PA 12 2091029

  • CAS :

    2375019-72-8

  • Molecular Formula : C26H18Br2F2N2

  • Molecular Weight : 556.25

stdClass Object
(
    [pname] => 1-(3,6-Dibromopyridin-2-yl)-2-(3,5-difluorophenyl)ethan-1-amine
    [catalogue_number] => PA 12 2091030
    [category_ids] => ,69,78,70,82,
    [chemical_name] => 
    [weight] => 392.04
    [form] => C13H10Br2F2N2
    [cas] => 2375019-73-9
    [pslug] => 2375019-73-9-1-3-6-dibromopyridin-2-yl-2-3-5-difluorophenyl-ethan-1-amine-pa122091030
    [latest_product] => 0
    [linkproducts] => 0
    [offers_id] => 
    [offers_name] => 
    [offers_status] => 
    [offers_start_date] => 
    [offers_end_date] => 
    [pageview] => 
    [offers_slug] => 
    [offers_product_id] => 
    [offers_product_code] => 
    [offers_master_id] => 
    [offer_percentage] => 
    [offers_product_main_cat] => 
)
PA 12 2091030
PA 12 2091030

1-(3,6-Dibromopyridin-2-yl)-2-(3,5-difluorophenyl)ethan-1-amine


  • Catalogue No.:PA 12 2091030

  • CAS :

    2375019-73-9

  • Molecular Formula : C13H10Br2F2N2

  • Molecular Weight : 392.04

stdClass Object
(
    [pname] => (S)-1-(3,6-Dibromopyridin-2-yl)-2-(3,5-difluorophenyl)ethan-1-amine (R)-2-hydroxy-2-phenylacetate
    [catalogue_number] => PA 12 2091031
    [category_ids] => ,69,78,70,82,
    [chemical_name] => 
    [weight] => 544.19
    [form] => C21H18Br2F2N2O3
    [cas] => 2375019-74-0
    [pslug] => 2375019-74-0-s-1-3-6-dibromopyridin-2-yl-2-3-5-difluorophenyl-ethan-1-amine-r-2-hydroxy-2-phenylacetate-pa122091031
    [latest_product] => 0
    [linkproducts] => 0
    [offers_id] => 
    [offers_name] => 
    [offers_status] => 
    [offers_start_date] => 
    [offers_end_date] => 
    [pageview] => 
    [offers_slug] => 
    [offers_product_id] => 
    [offers_product_code] => 
    [offers_master_id] => 
    [offer_percentage] => 
    [offers_product_main_cat] => 
)
PA 12 2091031
PA 12 2091031

(S)-1-(3,6-Dibromopyridin-2-yl)-2-(3,5-difluorophenyl)ethan-1-amine (R)-2-hydroxy-2-phenylacetate


  • Catalogue No.:PA 12 2091031

  • CAS :

    2375019-74-0

  • Molecular Formula : C21H18Br2F2N2O3

  • Molecular Weight : 544.19

stdClass Object
(
    [pname] => (3bS,4aR)-3-(Trifluoromethyl)-1,3b,4,4a-tetrahydrospiro[cyclopropa[3,4]cyclopenta[1,2-c]pyrazole-5,2'-[1,3]dithiolane]
    [catalogue_number] => PA 12 2091032
    [category_ids] => ,69,78,70,82,
    [chemical_name] => 
    [weight] => 278.31
    [form] => C10H9F3N2S2
    [cas] => 2375020-08-7
    [pslug] => 2375020-08-7-3bs-4ar-3-trifluoromethyl-1-3b-4-4a-tetrahydrospiro-cyclopropa-3-4-cyclopenta-1-2-c-pyrazole-5-2-1-3-dithiolane-pa122091032
    [latest_product] => 0
    [linkproducts] => 0
    [offers_id] => 
    [offers_name] => 
    [offers_status] => 
    [offers_start_date] => 
    [offers_end_date] => 
    [pageview] => 
    [offers_slug] => 
    [offers_product_id] => 
    [offers_product_code] => 
    [offers_master_id] => 
    [offer_percentage] => 
    [offers_product_main_cat] => 
)
PA 12 2091032
PA 12 2091032

(3bS,4aR)-3-(Trifluoromethyl)-1,3b,4,4a-tetrahydrospiro[cyclopropa[3,4]cyclopenta[1,2-c]pyrazole-5,2'-[1,3]dithiolane]


  • Catalogue No.:PA 12 2091032

  • CAS :

    2375020-08-7

  • Molecular Formula : C10H9F3N2S2

  • Molecular Weight : 278.31

stdClass Object
(
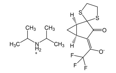
    [pname] => Diisopropylammonium (Z)-2,2,2-trifluoro-1-((1R,5S)-3-oxospiro[bicyclo[3.1.0]hexane-2,2'-[1,3]dithiolan]-4-ylidene)ethan-1-olate
    [catalogue_number] => PA 12 2091033
    [category_ids] => ,69,78,70,82,
    [chemical_name] => 
    [weight] => 383.49
    [form] => C16H24F3NO2S2
    [cas] => NA
    [pslug] => diisopropylammonium-z-2-2-2-trifluoro-1-1r-5s-3-oxospiro-bicyclo-3-1-0-hexane-2-2-1-3-dithiolan-4-ylidene-ethan-1-olate-pa122091033
    [latest_product] => 0
    [linkproducts] => 0
    [offers_id] => 
    [offers_name] => 
    [offers_status] => 
    [offers_start_date] => 
    [offers_end_date] => 
    [pageview] => 
    [offers_slug] => 
    [offers_product_id] => 
    [offers_product_code] => 
    [offers_master_id] => 
    [offer_percentage] => 
    [offers_product_main_cat] => 
)
PA 12 2091033
PA 12 2091033

Diisopropylammonium (Z)-2,2,2-trifluoro-1-((1R,5S)-3-oxospiro[bicyclo[3.1.0]hexane-2,2'-[1,3]dithiolan]-4-ylidene)ethan-1-olate


  • Catalogue No.:PA 12 2091033

  • CAS :

    NA

  • Molecular Formula : C16H24F3NO2S2

  • Molecular Weight : 383.49

stdClass Object
(
    [pname] => 4-Chloro-1-(2,2,2-trifluoroethyl)-1H-indazol-3-amine
    [catalogue_number] => PA 12 2091034
    [category_ids] => ,69,78,70,82,
    [chemical_name] => 
    [weight] => 249.62
    [form] => C9H7ClF3N3
    [cas] => NA
    [pslug] => 4-chloro-1-2-2-2-trifluoroethyl-1h-indazol-3-amine-pa122091034
    [latest_product] => 0
    [linkproducts] => 0
    [offers_id] => 
    [offers_name] => 
    [offers_status] => 
    [offers_start_date] => 
    [offers_end_date] => 
    [pageview] => 
    [offers_slug] => 
    [offers_product_id] => 
    [offers_product_code] => 
    [offers_master_id] => 
    [offer_percentage] => 
    [offers_product_main_cat] => 
)
PA 12 2091034
PA 12 2091034

4-Chloro-1-(2,2,2-trifluoroethyl)-1H-indazol-3-amine


  • Catalogue No.:PA 12 2091034

  • CAS :

    NA

  • Molecular Formula : C9H7ClF3N3

  • Molecular Weight : 249.62

stdClass Object
(
    [pname] => (3-Amino-4-chloro-1-(2,2,2-trifluoroethyl)-1H-indazol-7-yl)boronic acid
    [catalogue_number] => PA 12 2091035
    [category_ids] => ,69,78,70,82,
    [chemical_name] => 
    [weight] => 293.44
    [form] => C9H8BClF3N3O2
    [cas] => 2375021-56-8
    [pslug] => 2375021-56-8-3-amino-4-chloro-1-2-2-2-trifluoroethyl-1h-indazol-7-yl-boronic-acid-pa122091035
    [latest_product] => 0
    [linkproducts] => 0
    [offers_id] => 
    [offers_name] => 
    [offers_status] => 
    [offers_start_date] => 
    [offers_end_date] => 
    [pageview] => 
    [offers_slug] => 
    [offers_product_id] => 
    [offers_product_code] => 
    [offers_master_id] => 
    [offer_percentage] => 
    [offers_product_main_cat] => 
)
PA 12 2091035
PA 12 2091035

(3-Amino-4-chloro-1-(2,2,2-trifluoroethyl)-1H-indazol-7-yl)boronic acid


  • Catalogue No.:PA 12 2091035

  • CAS :

    2375021-56-8

  • Molecular Formula : C9H8BClF3N3O2

  • Molecular Weight : 293.44

stdClass Object
(
    [pname] => Lenacapavir-D5
    [catalogue_number] => PA STI 090125
    [category_ids] => ,98,69,78,70,82,
    [chemical_name] => 
    [weight] => 973.31
    [form] => C39H27D5ClF10N7O5S2
    [cas] => NA
    [pslug] => lenacapavir-d5-pasti090125
    [latest_product] => 0
    [linkproducts] => 0
    [offers_id] => 
    [offers_name] => 
    [offers_status] => 
    [offers_start_date] => 
    [offers_end_date] => 
    [pageview] => 
    [offers_slug] => 
    [offers_product_id] => 
    [offers_product_code] => 
    [offers_master_id] => 
    [offer_percentage] => 
    [offers_product_main_cat] => 
)
PA STI 090125
PA STI 090125

Lenacapavir-D5


  • Catalogue No.:PA STI 090125

  • CAS :

    NA

  • Molecular Formula : C39H27D5ClF10N7O5S2

  • Molecular Weight : 973.31

stdClass Object
(
    [pname] => N-((S)-1-(3-(4-Chloro-3-(N-methylmethylsulfonamido)-1-(2,2,2-trifluoroethyl)-1H-indazol-7-yl)-6-(3-methyl-3-(methylsulfonyl)but-1-yn-1-yl)pyridin-2-yl)-2-(3,5-difluorophenyl)ethyl)-2-((3bS,4aR)-5,5-difluoro-3-(trifluoromethyl)-3b,4,4a,5-tetrahydro-1H-cyclopropa[3,4]cyclopenta[1,2-c]pyrazol-1-yl)acetamide
    [catalogue_number] => PA 12 2091036
    [category_ids] => ,69,78,70,82,
    [chemical_name] => 
    [weight] => 982.31
    [form] => C40H34ClF10N7O5S2
    [cas] => 2939763-16-1
    [pslug] => 2939763-16-1-n-s-1-3-4-chloro-3-n-methylmethylsulfonamido-1-2-2-2-trifluoroethyl-1h-indazol-7-yl-6-3-methyl-3-methylsulfonyl-but-1-yn-1-yl-pyridin-2-yl-2-3-5-difluorophenyl-ethyl-2-3bs-4ar-5-5-difluoro-3-trifluoromethyl-3b-4-4a-5-tetrahydro-1h-cyclopropa-3-4-cyclopenta-1-2-c-pyrazol-1-yl-acetamide-pa122091036
    [latest_product] => 0
    [linkproducts] => 0
    [offers_id] => 
    [offers_name] => 
    [offers_status] => 
    [offers_start_date] => 
    [offers_end_date] => 
    [pageview] => 
    [offers_slug] => 
    [offers_product_id] => 
    [offers_product_code] => 
    [offers_master_id] => 
    [offer_percentage] => 
    [offers_product_main_cat] => 
)
PA 12 2091036
PA 12 2091036

N-((S)-1-(3-(4-Chloro-3-(N-methylmethylsulfonamido)-1-(2,2,2-trifluoroethyl)-1H-indazol-7-yl)-6-(3-methyl-3-(methylsulfonyl)but-1-yn-1-yl)pyridin-2-yl)-2-(3,5-difluorophenyl)ethyl)-2-((3bS,4aR)-5,5-difluoro-3-(trifluoromethyl)-3b,4,4a,5-tetrahydro-1H-cyclopropa[3,4]cyclopenta[1,2-c]pyrazol-1-yl)acetamide


  • Catalogue No.:PA 12 2091036

  • CAS :

    2939763-16-1

  • Molecular Formula : C40H34ClF10N7O5S2

  • Molecular Weight : 982.31

stdClass Object
(
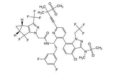
    [pname] => N-((S)-1-(3-(4-Chloro-3-(N-ethylmethylsulfonamido)-1-(2,2,2-trifluoroethyl)-1H-indazol-7-yl)-6-(3-methyl-3-(methylsulfonyl)but-1-yn-1-yl)pyridin-2-yl)-2-(3,5-difluorophenyl)ethyl)-2-((3bS,4aR)-5,5-difluoro-3-(trifluoromethyl)-3b,4,4a,5-tetrahydro-1H-cyclopropa[3,4]cyclopenta[1,2-c]pyrazol-1-yl)acetamide
    [catalogue_number] => PA 12 2091037
    [category_ids] => ,69,78,70,82,
    [chemical_name] => 
    [weight] => 996.34
    [form] => C41H36ClF10N7O5S2
    [cas] => 3025145-48-3
    [pslug] => 3025145-48-3-n-s-1-3-4-chloro-3-n-ethylmethylsulfonamido-1-2-2-2-trifluoroethyl-1h-indazol-7-yl-6-3-methyl-3-methylsulfonyl-but-1-yn-1-yl-pyridin-2-yl-2-3-5-difluorophenyl-ethyl-2-3bs-4ar-5-5-difluoro-3-trifluoromethyl-3b-4-4a-5-tetrahydro-1h-cyclopropa-3-4-cyclopenta-1-2-c-pyrazol-1-yl-acetamide-pa122091037
    [latest_product] => 0
    [linkproducts] => 0
    [offers_id] => 
    [offers_name] => 
    [offers_status] => 
    [offers_start_date] => 
    [offers_end_date] => 
    [pageview] => 
    [offers_slug] => 
    [offers_product_id] => 
    [offers_product_code] => 
    [offers_master_id] => 
    [offer_percentage] => 
    [offers_product_main_cat] => 
)
PA 12 2091037
PA 12 2091037

N-((S)-1-(3-(4-Chloro-3-(N-ethylmethylsulfonamido)-1-(2,2,2-trifluoroethyl)-1H-indazol-7-yl)-6-(3-methyl-3-(methylsulfonyl)but-1-yn-1-yl)pyridin-2-yl)-2-(3,5-difluorophenyl)ethyl)-2-((3bS,4aR)-5,5-difluoro-3-(trifluoromethyl)-3b,4,4a,5-tetrahydro-1H-cyclopropa[3,4]cyclopenta[1,2-c]pyrazol-1-yl)acetamide


  • Catalogue No.:PA 12 2091037

  • CAS :

    3025145-48-3

  • Molecular Formula : C41H36ClF10N7O5S2

  • Molecular Weight : 996.34

stdClass Object
(
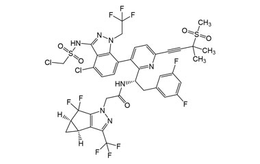
    [pname] => N-((S)-1-(3-(4-Chloro-3-((chloromethyl)sulfonamido)-1-(2,2,2-trifluoroethyl)-1H-indazol-7-yl)-6-(3-methyl-3-(methylsulfonyl)but-1-yn-1-yl)pyridin-2-yl)-2-(3,5-difluorophenyl)ethyl)-2-((3bS,4aR)-5,5-difluoro-3-(trifluoromethyl)-3b,4,4a,5-tetrahydro-1H-cyclopropa[3,4]cyclopenta[1,2-c]pyrazol-1-yl)acetamide
    [catalogue_number] => PA 12 2091038
    [category_ids] => ,69,78,70,82,
    [chemical_name] => 
    [weight] => 1002.73
    [form] => C39H31Cl2F10N7O5S2
    [cas] => NA
    [pslug] => n-s-1-3-4-chloro-3-chloromethyl-sulfonamido-1-2-2-2-trifluoroethyl-1h-indazol-7-yl-6-3-methyl-3-methylsulfonyl-but-1-yn-1-yl-pyridin-2-yl-2-3-5-difluorophenyl-ethyl-2-3bs-4ar-5-5-difluoro-3-trifluoromethyl-3b-4-4a-5-tetrahydro-1h-cyclopropa-3-4-cyclopenta-1-2-c-pyrazol-1-yl-acetamide-pa122091038
    [latest_product] => 0
    [linkproducts] => 0
    [offers_id] => 
    [offers_name] => 
    [offers_status] => 
    [offers_start_date] => 
    [offers_end_date] => 
    [pageview] => 
    [offers_slug] => 
    [offers_product_id] => 
    [offers_product_code] => 
    [offers_master_id] => 
    [offer_percentage] => 
    [offers_product_main_cat] => 
)
PA 12 2091038
PA 12 2091038

N-((S)-1-(3-(4-Chloro-3-((chloromethyl)sulfonamido)-1-(2,2,2-trifluoroethyl)-1H-indazol-7-yl)-6-(3-methyl-3-(methylsulfonyl)but-1-yn-1-yl)pyridin-2-yl)-2-(3,5-difluorophenyl)ethyl)-2-((3bS,4aR)-5,5-difluoro-3-(trifluoromethyl)-3b,4,4a,5-tetrahydro-1H-cyclopropa[3,4]cyclopenta[1,2-c]pyrazol-1-yl)acetamide


  • Catalogue No.:PA 12 2091038

  • CAS :

    NA

  • Molecular Formula : C39H31Cl2F10N7O5S2

  • Molecular Weight : 1002.73

pharmaffiliates