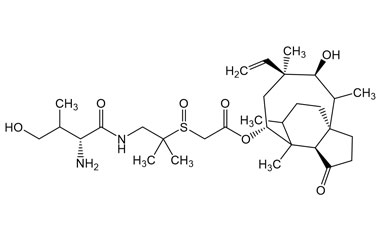
valnemulin hydrochloride

Fine Chemicals - Valnemulin Hydrochloride used to treat swine dysentery, ileitis, colitis and pneumonia. It is a pleuromutilin antibiotic.Reference standards of Valnemulin Hydrochloride API,and its pharmacopeial, non pharmacopeial impurities, and stable isotopes are listed below.

stdClass Object
(
    [pname] => Valnemulin Hydrochloride
    [catalogue_number] => PA 22 19000
    [category_ids] => ,71,78,70,82,
    [chemical_name] => 
    [weight] => 601.28
    [form] => C31H53ClN2O5S
    [cas] => 133868-46-9
    [pslug] => 133868-46-9-valnemulin-hydrochloride-api-pa2219000
    [latest_product] => 0
    [linkproducts] => 1
    [offers_id] => 
    [offers_name] => 
    [offers_status] => 
    [offers_start_date] => 
    [offers_end_date] => 
    [pageview] => 
    [offers_slug] => 
    [offers_product_id] => 
    [offers_product_code] => 
    [offers_master_id] => 
    [offer_percentage] => 
    [offers_product_main_cat] => 
)
PA 22 19000
PA 22 19000

Valnemulin Hydrochloride


  • Catalogue No.:PA 22 19000

  • CAS :

    133868-46-9

  • Molecular Formula : C31H53ClN2O5S

  • Molecular Weight : 601.28

stdClass Object
(
    [pname] => Benzyl(2-methyl-1-nitropropan-2-yl)sulfane
    [catalogue_number] => PAI 22 019001
    [category_ids] => ,75,76,78,70,82,
    [chemical_name] => 
    [weight] => 225.31
    [form] => C11H15NO2S
    [cas] => 105780-12-9
    [pslug] => 105780-12-9-benzyl-2-methyl-1-nitropropan-2-yl-sulfane-pai22019001
    [latest_product] => 0
    [linkproducts] => 0
    [offers_id] => 
    [offers_name] => 
    [offers_status] => 
    [offers_start_date] => 
    [offers_end_date] => 
    [pageview] => 
    [offers_slug] => 
    [offers_product_id] => 
    [offers_product_code] => 
    [offers_master_id] => 
    [offer_percentage] => 
    [offers_product_main_cat] => 
)
PAI 22 019001
PAI 22 019001

Benzyl(2-methyl-1-nitropropan-2-yl)sulfane


  • Catalogue No.:PAI 22 019001

  • CAS :

    105780-12-9

  • Molecular Formula : C11H15NO2S

  • Molecular Weight : 225.31

stdClass Object
(
    [pname] => Valnemulin D6
    [catalogue_number] => PA STI 089292
    [category_ids] => ,98,75,76,78,70,82,
    [chemical_name] => 
    [weight] => 570.86
    [form] => C31H46D6N2O5S
    [cas] => 2699608-07-4
    [pslug] => 2699608-07-4-valnemulin-d6-pasti089292
    [latest_product] => 0
    [linkproducts] => 0
    [offers_id] => 
    [offers_name] => 
    [offers_status] => 
    [offers_start_date] => 
    [offers_end_date] => 
    [pageview] => 
    [offers_slug] => 
    [offers_product_id] => 
    [offers_product_code] => 
    [offers_master_id] => 
    [offer_percentage] => 
    [offers_product_main_cat] => 
)
PA STI 089292
PA STI 089292

Valnemulin D6


  • Catalogue No.:PA STI 089292

  • CAS :

    2699608-07-4

  • Molecular Formula : C31H46D6N2O5S

  • Molecular Weight : 570.86

stdClass Object
(
    [pname] => Valnemulin Hydrochloride - Impurity A
    [catalogue_number] => PA 22 0190010
    [category_ids] => ,75,76,78,70,82,
    [chemical_name] => 
    [weight] => 580.83
    [form] => C31H52N2O6S
    [cas] => 1624614-06-7
    [pslug] => 1624614-06-7-valnemulin-hydrochloride-impurity-a-pa220190010
    [latest_product] => 0
    [linkproducts] => 0
    [offers_id] => 
    [offers_name] => 
    [offers_status] => 
    [offers_start_date] => 
    [offers_end_date] => 
    [pageview] => 
    [offers_slug] => 
    [offers_product_id] => 
    [offers_product_code] => 
    [offers_master_id] => 
    [offer_percentage] => 
    [offers_product_main_cat] => 
)
PA 22 0190010
PA 22 0190010

Valnemulin Hydrochloride - Impurity A


  • Catalogue No.:PA 22 0190010

  • CAS :

    1624614-06-7

  • Molecular Formula : C31H52N2O6S

  • Molecular Weight : 580.83

stdClass Object
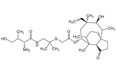
(
    [pname] => (3aR,5S,6S,8R,9aR)-5-Hydroxy-4,6,9,10-tetramethyl-1-oxo-6-vinyldecahydro-3a,9-propanocyclopenta[8]annulen-8-yl 2-((1-((2R)-2-amino-4-hydroxy-3-methylbutanamido)-2-methylpropan-2-yl)sulfinyl)acetate
    [catalogue_number] => PA 22 0191000
    [category_ids] => ,71,78,70,82,
    [chemical_name] => 
    [weight] => 596.82
    [form] => C31H52N2O7S
    [cas] => NA
    [pslug] => 3ar-5s-6s-8r-9ar-5-hydroxy-4-6-9-10-tetramethyl-1-oxo-6-vinyldecahydro-3a-9-propanocyclopenta-8-annulen-8-yl-2-1-2r-2-amino-4-hydroxy-3-methylbutanamido-2-methylpropan-2-yl-sulfinyl-acetate-pa220191000
    [latest_product] => 0
    [linkproducts] => 0
    [offers_id] => 
    [offers_name] => 
    [offers_status] => 
    [offers_start_date] => 
    [offers_end_date] => 
    [pageview] => 
    [offers_slug] => 
    [offers_product_id] => 
    [offers_product_code] => 
    [offers_master_id] => 
    [offer_percentage] => 
    [offers_product_main_cat] => 
)
PA 22 0191000
PA 22 0191000

(3aR,5S,6S,8R,9aR)-5-Hydroxy-4,6,9,10-tetramethyl-1-oxo-6-vinyldecahydro-3a,9-propanocyclopenta[8]annulen-8-yl 2-((1-((2R)-2-amino-4-hydroxy-3-methylbutanamido)-2-methylpropan-2-yl)sulfinyl)acetate


  • Catalogue No.:PA 22 0191000

  • CAS :

    NA

  • Molecular Formula : C31H52N2O7S

  • Molecular Weight : 596.82

stdClass Object
(
    [pname] => (3aR,5S,6S,8R,9aR)-5-Hydroxy-4,6,9,10-tetramethyl-1-oxo-6-vinyldecahydro-3a,9-propanocyclopenta[8]annulen-8-yl 2-((1-((2R)-2-amino-4-hydroxy-3-methylbutanamido)-2-methylpropan-2-yl)thio)acetate
    [catalogue_number] => PA 22 0191001
    [category_ids] => ,71,78,70,82,
    [chemical_name] => 
    [weight] => 580.83
    [form] => C31H52N2O6S
    [cas] => NA
    [pslug] => 3ar-5s-6s-8r-9ar-5-hydroxy-4-6-9-10-tetramethyl-1-oxo-6-vinyldecahydro-3a-9-propanocyclopenta-8-annulen-8-yl-2-1-2r-2-amino-4-hydroxy-3-methylbutanamido-2-methylpropan-2-yl-thio-acetate-pa220191001
    [latest_product] => 0
    [linkproducts] => 0
    [offers_id] => 
    [offers_name] => 
    [offers_status] => 
    [offers_start_date] => 
    [offers_end_date] => 
    [pageview] => 
    [offers_slug] => 
    [offers_product_id] => 
    [offers_product_code] => 
    [offers_master_id] => 
    [offer_percentage] => 
    [offers_product_main_cat] => 
)
PA 22 0191001
PA 22 0191001

(3aR,5S,6S,8R,9aR)-5-Hydroxy-4,6,9,10-tetramethyl-1-oxo-6-vinyldecahydro-3a,9-propanocyclopenta[8]annulen-8-yl 2-((1-((2R)-2-amino-4-hydroxy-3-methylbutanamido)-2-methylpropan-2-yl)thio)acetate


  • Catalogue No.:PA 22 0191001

  • CAS :

    NA

  • Molecular Formula : C31H52N2O6S

  • Molecular Weight : 580.83

pharmaffiliates