Abiraterone and its Impurities
Abiraterone is an active metabolite of Abiraterone acetate which is a steroidal antiandrogen and used in the treatment of metastatic castration-resistant prostate cancer. It is also known as a hormone therapy drug. It is sold under the brand name of Zytiga, Abiratas, Abretone, Abirapro). Reference standards of Abiraterone API, and its pharmacopeial, non pharmacopeial impurities, and stable isotopes are listed below.
(3S,8S,9S,10R,13S,14S)-10,13-Dimethyl-17-(pyridin-3-yl)-2,3,4,7,8,9,10,11,12,13,14,15,16,17-tetradecahydro-1H-cyclopenta[a]phenanthren-3-ol
(3S,8S,9S,10R,13S,14S)-10,13-Dimethyl-17-(pyridin-3-yl)-2,3,4,7,8,9,10,11,12,13,14,15,16,17-tetradecahydro-1H-cyclopenta[a]phenanthren-3-ol
Catalogue No.:PAI 01 040010
CAS :
NA
Molecular Formula : C24H33NO
Molecular Weight : 351.53
3-((8S,9S,10R,13S,14S)-10,13-Dimethyl-2,7,8,9,10,11,12,13,14,15,16,17-dodecahydro-1H-cyclopenta[a]phenanthren-17-yl)pyridine
3-((8S,9S,10R,13S,14S)-10,13-Dimethyl-2,7,8,9,10,11,12,13,14,15,16,17-dodecahydro-1H-cyclopenta[a]phenanthren-17-yl)pyridine
Catalogue No.:PAI 01 040020
CAS :
NA
Molecular Formula : C24H31N
Molecular Weight : 333.52
((1aS,1bR,2S,7aS)-1-Bromo-1b,4-dimethoxy-5-methyl-3,6-dioxo-1a,1b,2,3,6,6b,7,7a-octahydro-1H-benzo[4,5]pentaleno[1,2-b]azirin-2-yl)methyl carbamate
((1aS,1bR,2S,7aS)-1-Bromo-1b,4-dimethoxy-5-methyl-3,6-dioxo-1a,1b,2,3,6,6b,7,7a-octahydro-1H-benzo[4,5]pentaleno[1,2-b]azirin-2-yl)methyl carbamate
Catalogue No.:PAI 01 050010
CAS :
NA
Molecular Formula : C17H19BrN2O6
Molecular Weight : 427.25
(10R,13S)-10,13-Dimethyl-17-(pyridin-3-yl)-2,3,4,7,8,9,10,11,12,13,14,15-dodecahydro-1H-cyclopenta[a]phenanthren-3-ol
(10R,13S)-10,13-Dimethyl-17-(pyridin-3-yl)-2,3,4,7,8,9,10,11,12,13,14,15-dodecahydro-1H-cyclopenta[a]phenanthren-3-ol
Catalogue No.:PAI 01 040021
CAS :
NA
Molecular Formula : C24H31NO
Molecular Weight : 349.52
(10R,13S)-10,13-Dimethyl-17-(pyridin-3-yl)-2,3,4,7,8,9,10,11,12,13,14,15-dodecahydro-1H-cyclopenta[a]phenanthren-3-yl 4-methylbenzenesulfonate
(10R,13S)-10,13-Dimethyl-17-(pyridin-3-yl)-2,3,4,7,8,9,10,11,12,13,14,15-dodecahydro-1H-cyclopenta[a]phenanthren-3-yl 4-methylbenzenesulfonate
Catalogue No.:PAI 01 040022
CAS :
NA
Molecular Formula : C31H37NO3S
Molecular Weight : 503.70
(3S,10R,13S)-10,13-Dimethyl-17-(trifluoromethylsulfonyloxy)-2,3,4,7,8,9,10,11,12,13,14,15-dodecahydro-1Hcyclopenta[a]phenanthren-3-yl 2,2,2-trifluoroacetate;
(3S,10R,13S)-10,13-Dimethyl-17-(trifluoromethylsulfonyloxy)-2,3,4,7,8,9,10,11,12,13,14,15-dodecahydro-1Hcyclopenta[a]phenanthren-3-yl 2,2,2-trifluoroacetate;
Catalogue No.:PA 28 0261000
CAS :
1802323-89-2
Molecular Formula : C22H26F6O5S
Molecular Weight : 516.50
(3β)-16-[(3β)-3-(Acetyloxy)androsta-5,16-dien-17-yl]-17-(3-pyridinyl)-androsta-5,16-dien-3-ol 3-Acetate
(3β)-16-[(3β)-3-(Acetyloxy)androsta-5,16-dien-17-yl]-17-(3-pyridinyl)-androsta-5,16-dien-3-ol 3-Acetate
Catalogue No.:PA 01 04900
CAS :
186826-68-6
Molecular Formula : C47H61NO4
Molecular Weight : 703.99
3-((3R,8R,9S,10R,13S,14S)-3-((3S,8R,9S,10R,13S,14S)-2,3,4,5,8,9,10,11,12,13,14,15-Dodecahydro-10,13-dimethyl-17-(pyridin-3-yl)-1H-cyclopenta[a]phenanthren-3-yloxy)-2,3,4,7,8,9,10,11,12,13,14,15-dodecahydro-10,13-dimethyl-1H-cyclopenta[a]phenanthren-17-yl)pyridine
3-((3R,8R,9S,10R,13S,14S)-3-((3S,8R,9S,10R,13S,14S)-2,3,4,5,8,9,10,11,12,13,14,15-Dodecahydro-10,13-dimethyl-17-(pyridin-3-yl)-1H-cyclopenta[a]phenanthren-3-yloxy)-2,3,4,7,8,9,10,11,12,13,14,15-dodecahydro-10,13-dimethyl-1H-cyclopenta[a]phenanthren-17-yl)pyridine
Catalogue No.:PA 28 0261003
CAS :
NA
Molecular Formula : C48H60N2O
Molecular Weight : 681.02
4-(((3S,8R,9S,10R,13S,14S)-10,13-Dimethyl-17-(pyridin-3-yl)-2,3,4,7,8,9,10,11,12,13,14,15-dodecahydro-1H-cyclopenta[a]phenanthren-3-yl)oxy)-4-oxobutanoic acid
4-(((3S,8R,9S,10R,13S,14S)-10,13-Dimethyl-17-(pyridin-3-yl)-2,3,4,7,8,9,10,11,12,13,14,15-dodecahydro-1H-cyclopenta[a]phenanthren-3-yl)oxy)-4-oxobutanoic acid
Catalogue No.:PA 28 0261010
CAS :
1629778-77-3
Molecular Formula : C28H35NO4
Molecular Weight : 449.59
(3S,8S,9S,10R,13S,14S,17S)-10,13-Dimethyl-17-(pyridin-3-yl)-2,3,4,7,8,9,10,11,12,13,14,15,16,17-tetradecahydro-1H-cyclopenta[a]phenanthren-3-yl acetate
(3S,8S,9S,10R,13S,14S,17S)-10,13-Dimethyl-17-(pyridin-3-yl)-2,3,4,7,8,9,10,11,12,13,14,15,16,17-tetradecahydro-1H-cyclopenta[a]phenanthren-3-yl acetate
Catalogue No.:PA 28 0261012
CAS :
98449-11-7
Molecular Formula : C26H35NO2
Molecular Weight : 393.57
(3S,8R,9S,10R,13S,14S)-17-Acetyl-10,13-dimethyl-7-oxo-2,3,4,7,8,9,10,11,12,13,14,15-dodecahydro-1H-cyclopenta[a]phenanthren-3-yl acetate
(3S,8R,9S,10R,13S,14S)-17-Acetyl-10,13-dimethyl-7-oxo-2,3,4,7,8,9,10,11,12,13,14,15-dodecahydro-1H-cyclopenta[a]phenanthren-3-yl acetate
Catalogue No.:PA 28 0261013
CAS :
19324-55-1
Molecular Formula : C23H30O4
Molecular Weight : 370.49
(3S,8R,9S,10R,13S,14S)-17-(1-(Hydroxyimino)ethyl)-10,13-dimethyl-7-oxo-2,3,4,7,8,9,10,11,12,13,14,15-dodecahydro-1H-cyclopenta[a]phenanthren-3-yl acetate
(3S,8R,9S,10R,13S,14S)-17-(1-(Hydroxyimino)ethyl)-10,13-dimethyl-7-oxo-2,3,4,7,8,9,10,11,12,13,14,15-dodecahydro-1H-cyclopenta[a]phenanthren-3-yl acetate
Catalogue No.:PA 28 0261014
CAS :
NA
Molecular Formula : C23H31NO4
Molecular Weight : 385.5
(8R,9S,10R,13S,14S)-10,13-Dimethyl-17-(pyridin-3-yl)-2,7,8,9,10,11,12,13,14,15-decahydro-1H-cyclopenta[a]phenanthren-3-yl trifluoromethanesulfonate
(8R,9S,10R,13S,14S)-10,13-Dimethyl-17-(pyridin-3-yl)-2,7,8,9,10,11,12,13,14,15-decahydro-1H-cyclopenta[a]phenanthren-3-yl trifluoromethanesulfonate
Catalogue No.:PAI 01 040023
CAS :
2697127-18-5
Molecular Formula : C25H28F3NO3S
Molecular Weight : 479.56
(2aS,4S,6aS,6bS,8aS,8bR,9aR,10aS,10bR)-6a,8a-Dimethyl-8b-(pyridin-3-yl)hexadecahydro-1H-naphtho[2',1':4,5]indeno[1,2-b]oxiren-4-yl Acetate
(2aS,4S,6aS,6bS,8aS,8bR,9aR,10aS,10bR)-6a,8a-Dimethyl-8b-(pyridin-3-yl)hexadecahydro-1H-naphtho[2',1':4,5]indeno[1,2-b]oxiren-4-yl Acetate
Catalogue No.:PA 28 0261015
CAS :
219843-78-4
Molecular Formula : C26H35NO3
Molecular Weight : 409.57
(3S,8R,9S,10S,13S,14S)-10,13-Dimethyl-17-(pyridin-3-yl)-2,3,4,5,6,7,8,9,10,11,12,13,14,15-tetradecahydro-1H-cyclopenta[a]phenanthren-3-ol
(3S,8R,9S,10S,13S,14S)-10,13-Dimethyl-17-(pyridin-3-yl)-2,3,4,5,6,7,8,9,10,11,12,13,14,15-tetradecahydro-1H-cyclopenta[a]phenanthren-3-ol
Catalogue No.:PA 28 0261017
CAS :
1382475-29-7
Molecular Formula : C24H33NO
Molecular Weight : 351.53
(3R,8R,9S,10R,13S,14S)-10,13-Dimethyl-17-(pyridin-3-yl)-2,3,4,7,8,9,10,11,12,13,14,15-dodecahydro-1H-cyclopenta[a]phenanthren-3-yl propionate
(3R,8R,9S,10R,13S,14S)-10,13-Dimethyl-17-(pyridin-3-yl)-2,3,4,7,8,9,10,11,12,13,14,15-dodecahydro-1H-cyclopenta[a]phenanthren-3-yl propionate
Catalogue No.:PA 28 0261018
CAS :
NA
Molecular Formula : C27H35NO2
Molecular Weight : 405.58
2-(((3S,8S,9S,10R,14S)-10,17-Dimethyl-2,3,4,7,8,9,10,11,12,14,15,16-dodecahydro-1H-cyclopenta[a]phenanthren-3-yl)oxy)tetrahydro-2H-pyran
2-(((3S,8S,9S,10R,14S)-10,17-Dimethyl-2,3,4,7,8,9,10,11,12,14,15,16-dodecahydro-1H-cyclopenta[a]phenanthren-3-yl)oxy)tetrahydro-2H-pyran
Catalogue No.:PA 28 0261019
CAS :
NA
Molecular Formula : C24H36O2
Molecular Weight : 356.55
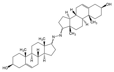
(3S,3'S,8R,8'R,9S,9'S,10R,10'R,13S,13'S,14S,14'S,17E,17'E)-17,17'-(Hydrazine-1,2-diylidene)bis(10,13-dimethyl-2,3,4,7,8,9,10,11,12,13,14,15,16,17-tetradecahydro-1H-cyclopenta[a]phenanthren-3-ol)
(3S,3'S,8R,8'R,9S,9'S,10R,10'R,13S,13'S,14S,14'S,17E,17'E)-17,17'-(Hydrazine-1,2-diylidene)bis(10,13-dimethyl-2,3,4,7,8,9,10,11,12,13,14,15,16,17-tetradecahydro-1H-cyclopenta[a]phenanthren-3-ol)
Catalogue No.:PA 28 0261020
CAS :
1713262-50-0
Molecular Formula : C38H56N2O2
Molecular Weight : 572.88

