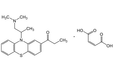
Aceprometazine Maleate and its Impurities
Aceprometazine Maleate is an antihistamine (H1 receptor blocker) belonging to the phenothiazine class. It is mainly used to treat allergic conditions, nausea, and motion sickness, and it also has a mild sedative effect. Reference standards of Aceprometazine Maleate API,and its pharmacopeial, non pharmacopeial impurities, and stable isotopes are listed below.
