adenosine and its Impurities
A purine nucleoside, Adenosine is composed of adenine attached to ribose sugar molecule.A natural product which plays important role in various biological processes. It exists as ATP , ADP and AMP for energy tranfer, acts as neurodilator and vasodilator also. Reference standards of Adenosine API, and its pharmacopeial, non pharmacopeial impurities, and stable isotopes are listed below.
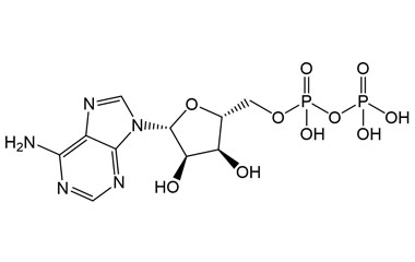
((2R,3S,5R)-5-(6-Amino-9H-purin-9-yl)-3-hydroxytetrahydrofuran-2-yl)methyl dihydrogen phosphate, sodium salt
((2R,3S,5R)-5-(6-Amino-9H-purin-9-yl)-3-hydroxytetrahydrofuran-2-yl)methyl dihydrogen phosphate, sodium salt
Catalogue No.:PA 01 0241019
CAS :
85578-95-6
Molecular Formula : (C10H14N5O6P)x.xNa
Molecular Weight : NA
(2S,3S,4R,5R)-2-(((2-Fluorophenyl)thio)methyl)-5-(6-(((1R,2R)-2-hydroxycyclopentyl)amino)-9H-purin-9-yl)tetrahydrofuran-3,4-diol
(2S,3S,4R,5R)-2-(((2-Fluorophenyl)thio)methyl)-5-(6-(((1R,2R)-2-hydroxycyclopentyl)amino)-9H-purin-9-yl)tetrahydrofuran-3,4-diol
Catalogue No.:PA 01 0241020
CAS :
618380-90-8
Molecular Formula : C21H24FN5O4S
Molecular Weight : 461.51
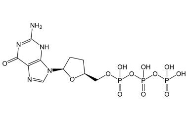
4-Amino-8-((2R,4S,5R)-4-hydroxy-5-(hydroxymethyl)tetrahydrofuran-2-yl)-2,6-dimethylpteridin-7(8H)-one
4-Amino-8-((2R,4S,5R)-4-hydroxy-5-(hydroxymethyl)tetrahydrofuran-2-yl)-2,6-dimethylpteridin-7(8H)-one
Catalogue No.:PA 01 0241018
CAS :
195442-56-9
Molecular Formula : C13H17N5O4
Molecular Weight : 307.31
S-(((2S,3R,4S,5R)-5-(6-Amino-9H-purin-9-yl)-3,4-dihydroxytetrahydrofuran-2-yl)methyl)-L-homocysteine-3,3,4,4-d4
S-(((2S,3R,4S,5R)-5-(6-Amino-9H-purin-9-yl)-3,4-dihydroxytetrahydrofuran-2-yl)methyl)-L-homocysteine-3,3,4,4-d4
Catalogue No.:PA STI 089258
CAS :
NA
Molecular Formula : C14H16D4N6O5S
Molecular Weight : 388.44
((S)-3-Amino-3-carboxypropyl)(((2S,3S,4R,5R)-5-(6-amino-9H-purin-9-yl)-3,4-dihydroxytetrahydrofuran-2-yl)methyl)(methyl)sulfonium Chloride Dihydrochloride
((S)-3-Amino-3-carboxypropyl)(((2S,3S,4R,5R)-5-(6-amino-9H-purin-9-yl)-3,4-dihydroxytetrahydrofuran-2-yl)methyl)(methyl)sulfonium Chloride Dihydrochloride
Catalogue No.:PA 01 0241022
CAS :
86867-01-8
Molecular Formula : C15H25Cl3N6O5S
Molecular Weight : 507.81
(2R,4aR,6R,7R,7aS)-6-(6-Amino-9H-purin-9-yl)-7-hydroxy-2-mercaptotetrahydro-4H-furo[3,2-d][1,3,2]dioxaphosphinine 2-oxide compound with Triethylamine
(2R,4aR,6R,7R,7aS)-6-(6-Amino-9H-purin-9-yl)-7-hydroxy-2-mercaptotetrahydro-4H-furo[3,2-d][1,3,2]dioxaphosphinine 2-oxide compound with Triethylamine
Catalogue No.:PA 01 0241029
CAS :
151837-09-1
Molecular Formula : C16H27N6O5PS
Molecular Weight : 446.46
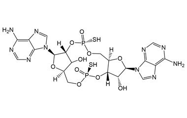
Adenosine, [P(R)]-5′-O-[(R)-hydroxymercaptophosphinyl]-P-thioadenylyl-(2′→5′)-, cyclic nucleotide
Adenosine, [P(R)]-5′-O-[(R)-hydroxymercaptophosphinyl]-P-thioadenylyl-(2′→5′)-, cyclic nucleotide
Catalogue No.:PA 01 0241033
CAS :
1638241-89-0
Molecular Formula : C20H24N10O10P2S2
Molecular Weight : 690.54
(((((((2R,3S,4R,5R)-5-(6-Amino-9H-purin-9-yl)-3,4-dihydroxytetrahydrofuran-2-yl)methoxy)(hydroxy)phosphoryl)oxy)(hydroxy)phosphoryl)methyl)phosphonic Acid, Disodium Salt
(((((((2R,3S,4R,5R)-5-(6-Amino-9H-purin-9-yl)-3,4-dihydroxytetrahydrofuran-2-yl)methoxy)(hydroxy)phosphoryl)oxy)(hydroxy)phosphoryl)methyl)phosphonic Acid, Disodium Salt
Catalogue No.:PA 01 0241050
CAS :
7414-56-4
Molecular Formula : C11H18N5Na2O12P3
Molecular Weight : 551.19
(1R,2S,3S,5R)-3-(6-Amino-9H-purin-9-yl)-4,4-difluoro-5-(hydroxymethyl)cyclopentane-1,2-diol
(1R,2S,3S,5R)-3-(6-Amino-9H-purin-9-yl)-4,4-difluoro-5-(hydroxymethyl)cyclopentane-1,2-diol
Catalogue No.:PA 01 0241056
CAS :
2236598-84-6
Molecular Formula : C11H13F2N5O3
Molecular Weight : 301.25
5-Amino-1-((2R,3R,4S,5R)-5-((benzylamino)methyl)-3,4-dihydroxytetrahydrofuran-2-yl)-1H-imidazole-4-carboxamide
5-Amino-1-((2R,3R,4S,5R)-5-((benzylamino)methyl)-3,4-dihydroxytetrahydrofuran-2-yl)-1H-imidazole-4-carboxamide
Catalogue No.:PA 01 0241057
CAS :
142344-87-4
Molecular Formula : C16H21N5O4
Molecular Weight : 347.38
((2R,3S,4R,5R)-5-(6-Amino-9H-purin-9-yl)-3,4-dihydroxytetrahydrofuran-2-yl)methyl (L-tyrosyl)sulfamate
((2R,3S,4R,5R)-5-(6-Amino-9H-purin-9-yl)-3,4-dihydroxytetrahydrofuran-2-yl)methyl (L-tyrosyl)sulfamate
Catalogue No.:PA 01 0241060
CAS :
256643-13-7
Molecular Formula : C19H23N7O8S
Molecular Weight : 509.49
((2R,3S,4R,5R)-5-(6-Amino-9H-purin-9-yl)-3,4-dihydroxytetrahydrofuran-2-yl)methyl (L-isoleucyl)sulfamate
((2R,3S,4R,5R)-5-(6-Amino-9H-purin-9-yl)-3,4-dihydroxytetrahydrofuran-2-yl)methyl (L-isoleucyl)sulfamate
Catalogue No.:PA 01 0241061
CAS :
219931-45-0
Molecular Formula : C16H25N7O7S
Molecular Weight : 459.48
(S)-4-Amino-5-(((((2R,3S,4R,5R)-5-(6-amino-9H-purin-9-yl)-3,4-dihydroxytetrahydrofuran-2-yl)methoxy)sulfonyl)amino)-5-oxopentanoic Acid
(S)-4-Amino-5-(((((2R,3S,4R,5R)-5-(6-amino-9H-purin-9-yl)-3,4-dihydroxytetrahydrofuran-2-yl)methoxy)sulfonyl)amino)-5-oxopentanoic Acid
Catalogue No.:PA 01 0241062
CAS :
859213-87-9
Molecular Formula : C15H21N7O9S
Molecular Weight : 475.43
((((2R,3S,4R,5R)-5-(6-Amino-9H-purin-9-yl)-3,4-dihydroxytetrahydrofuran-2-yl)methoxy)(hydroxy)phosphoryl)-L-phenylalanine
((((2R,3S,4R,5R)-5-(6-Amino-9H-purin-9-yl)-3,4-dihydroxytetrahydrofuran-2-yl)methoxy)(hydroxy)phosphoryl)-L-phenylalanine
Catalogue No.:PA 01 0241063
CAS :
2269-96-7
Molecular Formula : C19H23N6O8P
Molecular Weight : 494.4
(S)-2-Amino-3-phenylpropanoic (((2R,3S,4R,5R)-5-(6-amino-9H-purin-9-yl)-3,4-dihydroxytetrahydrofuran-2-yl)methyl phosphoric) Anhydride
(S)-2-Amino-3-phenylpropanoic (((2R,3S,4R,5R)-5-(6-amino-9H-purin-9-yl)-3,4-dihydroxytetrahydrofuran-2-yl)methyl phosphoric) Anhydride
Catalogue No.:PA 01 0241064
CAS :
35874-27-2
Molecular Formula : C19H23N6O8P
Molecular Weight : 494.4
N-((2R,3R,4S,5R)-2-(6-Amino-8-bromo-9H-purin-9-yl)-4-hydroxy-5-(hydroxymethyl)tetrahydrofuran-3-yl)benzamide
N-((2R,3R,4S,5R)-2-(6-Amino-8-bromo-9H-purin-9-yl)-4-hydroxy-5-(hydroxymethyl)tetrahydrofuran-3-yl)benzamide
Catalogue No.:PA 01 0241065
CAS :
171502-11-7
Molecular Formula : C17H17BrN6O4
Molecular Weight : 449.27
(S)-2-Amino-3-(4-azidophenyl)-N-((2S,3S,4R,5R)-5-(6-(dimethylamino)-9H-purin-9-yl)-4-hydroxy-2-(hydroxymethyl)tetrahydrofuran-3-yl)propanamide
(S)-2-Amino-3-(4-azidophenyl)-N-((2S,3S,4R,5R)-5-(6-(dimethylamino)-9H-purin-9-yl)-4-hydroxy-2-(hydroxymethyl)tetrahydrofuran-3-yl)propanamide
Catalogue No.:PA 01 0241066
CAS :
67607-41-4
Molecular Formula : C21H26N10O4
Molecular Weight : 482.51
(S)-2-Acetamido-3-phenylpropanoic (((2R,3S,4R,5R)-5-(6-amino-9H-purin-9-yl)-3,4-dihydroxytetrahydrofuran-2-yl)methyl phosphoric) Anhydride
(S)-2-Acetamido-3-phenylpropanoic (((2R,3S,4R,5R)-5-(6-amino-9H-purin-9-yl)-3,4-dihydroxytetrahydrofuran-2-yl)methyl phosphoric) Anhydride
Catalogue No.:PA 01 0241067
CAS :
93240-95-0
Molecular Formula : C21H25N6O9P
Molecular Weight : 536.44
(2R,3S,4R,5R)-5-(6-Amino-9H-purin-9-yl)-4-hydroxy-2-(hydroxymethyl)tetrahydrofuran-3-yl acetyl-L-phenylalaninate
(2R,3S,4R,5R)-5-(6-Amino-9H-purin-9-yl)-4-hydroxy-2-(hydroxymethyl)tetrahydrofuran-3-yl acetyl-L-phenylalaninate
Catalogue No.:PA 01 0241068
CAS :
34996-32-2
Molecular Formula : C21H24N6O6
Molecular Weight : 456.46
2-Amino-N-(1-((5-(6-amino-9H-purin-9-yl)-4-hydroxy-2-(hydroxymethyl)tetrahydrofuran-3-yl)amino)-1-oxopropan-2-yl)-3-phenylpropanamide
2-Amino-N-(1-((5-(6-amino-9H-purin-9-yl)-4-hydroxy-2-(hydroxymethyl)tetrahydrofuran-3-yl)amino)-1-oxopropan-2-yl)-3-phenylpropanamide
Catalogue No.:PA 01 0241069
CAS :
28342-90-7
Molecular Formula : C22H28N8O5
Molecular Weight : 484.52

