aliskiren hemifumarate and its Impurities
Aliskiren is the first in a class of drugs called direct renin inhibitors. It is used for essential hypertension. While used for high blood pressure, other better-studied medications are typically recommended. Reference standards of Aliskiren Hemifumarate API, and its pharmacopeial, non pharmacopeial impurities, and stable isotopes are listed below.
(2S,2'S,4S,4'S,5S,5'S,7S,7'S)-7,7'-(((Propane-1,3-diylbis(oxy))bis(4-methoxy-3,1-phenylene))bis(methylene))bis(5-amino-N-(3-amino-2,2-dimethyl-3-oxopropyl)-4-hydroxy-2-isopropyl-8-methylnonanamide)
(2S,2'S,4S,4'S,5S,5'S,7S,7'S)-7,7'-(((Propane-1,3-diylbis(oxy))bis(4-methoxy-3,1-phenylene))bis(methylene))bis(5-amino-N-(3-amino-2,2-dimethyl-3-oxopropyl)-4-hydroxy-2-isopropyl-8-methylnonanamide)
Catalogue No.:PA 28 71520
CAS :
NA
Molecular Formula : C55H94N6O10
Molecular Weight : 999.37
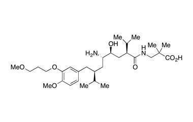
(2S,4S,5S,7S)-5-Amino-N-(3-amino-2,2-dimethyl-3-oxopropyl)-4-hydroxy-7-(3-(3-hydroxypropoxy)-4-methoxybenzyl)-2-isopropyl-8-methylnonanamide
(2S,4S,5S,7S)-5-Amino-N-(3-amino-2,2-dimethyl-3-oxopropyl)-4-hydroxy-7-(3-(3-hydroxypropoxy)-4-methoxybenzyl)-2-isopropyl-8-methylnonanamide
Catalogue No.:PA 28 71530
CAS :
949925-76-2
Molecular Formula : C29H51N3O6
Molecular Weight : 537.73
(3S,5S)-5-((1S,3S)-1-Amino-3-(4-methoxy-3-(3-methoxypropoxy)benzyl)-4-methylpentyl)-3-isopropyldihydrofuran-2(3H)-one
(3S,5S)-5-((1S,3S)-1-Amino-3-(4-methoxy-3-(3-methoxypropoxy)benzyl)-4-methylpentyl)-3-isopropyldihydrofuran-2(3H)-one
Catalogue No.:PA 28 71570
CAS :
900811-48-5
Molecular Formula : C25H41NO5
Molecular Weight : 435.6

