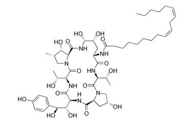
anidulafungin and its Impurities
Anidulafungin or Eraxis is an anti-fungal drug manufactured by Pfizer that gained approval by the Food and Drug Administration (FDA) in February 21, 2006.It may also have application in treating invasive Aspergillus infection. Reference standards of Anidulafungin API, and its pharmacopeial, non pharmacopeial impurities, and stable isotopes are listed below.
Cilofungin, 1-[(4R,5R)-4-hydroxy-5-methoxy-N2-[[4''-(pentyloxy)[1,1':4',1''-terphenyl]-4-yl]carbonyl]-L-ornithine]
Cilofungin, 1-[(4R,5R)-4-hydroxy-5-methoxy-N2-[[4''-(pentyloxy)[1,1':4',1''-terphenyl]-4-yl]carbonyl]-L-ornithine]
Catalogue No.:PA 01 0601005
CAS :
185425-47-2
Molecular Formula : C59H75N7O17
Molecular Weight : 1154.28
N-((2R,6S,9S,11R,12R,14aS,15S,16S,20S,23S,25aS)-23-((1S,2S)-1,2-Dihydroxy-2-(4-hydroxyphenyl)ethyl)-2,11,12,15-tetrahydroxy-6-((R)-1-hydroxyethyl)-20-(hydroxymethyl)-16-methyl-5,8,14,19,22,25-hexaoxotetracosahydro-1H-dipyrrolo[2,1-c:2',1'-l][1,4,7,10,13,16]hexaazacyclohenicosin-9-yl)-4''-(pentyloxy)-[1,1':4',1''-terphenyl]-4-carboxamide
N-((2R,6S,9S,11R,12R,14aS,15S,16S,20S,23S,25aS)-23-((1S,2S)-1,2-Dihydroxy-2-(4-hydroxyphenyl)ethyl)-2,11,12,15-tetrahydroxy-6-((R)-1-hydroxyethyl)-20-(hydroxymethyl)-16-methyl-5,8,14,19,22,25-hexaoxotetracosahydro-1H-dipyrrolo[2,1-c:2',1'-l][1,4,7,10,13,16]hexaazacyclohenicosin-9-yl)-4''-(pentyloxy)-[1,1':4',1''-terphenyl]-4-carboxamide
Catalogue No.:PA 01 0601004
CAS :
2099166-86-4
Molecular Formula : C57H71N7O17
Molecular Weight : 1126.23
(2S,4R,5R)-N-((2S,3R)-1-((2S,4R)-2-(((2S,3S,4S)-1-(((2S,3R)-1-((2S,3S,4S)-2-Carbamoyl-3-hydroxy-4-methylpyrrolidin-1-yl)-3-hydroxy-1-oxobutan-2-yl)amino)-3,4-dihydroxy-4-(4-hydroxyphenyl)-1-oxobutan-2-yl)carbamoyl)-4-hydroxypyrrolidin-1-yl)-3-hydroxy-1-oxobutan-2-yl)-4,5-dihydroxy-1-(4''-(pentyloxy)-[1,1':4',1''-terphenyl]-4-carbonyl)pyrrolidine-2-carboxamide
(2S,4R,5R)-N-((2S,3R)-1-((2S,4R)-2-(((2S,3S,4S)-1-(((2S,3R)-1-((2S,3S,4S)-2-Carbamoyl-3-hydroxy-4-methylpyrrolidin-1-yl)-3-hydroxy-1-oxobutan-2-yl)amino)-3,4-dihydroxy-4-(4-hydroxyphenyl)-1-oxobutan-2-yl)carbamoyl)-4-hydroxypyrrolidin-1-yl)-3-hydroxy-1-oxobutan-2-yl)-4,5-dihydroxy-1-(4''-(pentyloxy)-[1,1':4',1''-terphenyl]-4-carbonyl)pyrrolidine-2-carboxamide
Catalogue No.:PA 01 0601008
CAS :
NA
Molecular Formula : C58H73N7O17
Molecular Weight : 1140.25
4-((1S,2S)-1,2-Dihydroxy-2-((2R,6S,9S,11R,12R,14aS,15S,16S,20S,23S,25aS)-2,11,12,15-tetrahydroxy-6,20-bis((R)-1-hydroxyethyl)-16-methyl-5,8,14,19,22,25-hexaoxo-9-(4''-(pentyloxy)-[1,1':4',1''-terphenyl]-4-carboxamido)tetracosahydro-1H-dipyrrolo[2,1-c:2',1'-l][1,4,7,10,13,16]hexaazacyclohenicosin-23-yl)ethyl)phenyl 4''-(pentyloxy)-[1,1':4',1''-terphenyl]-4-carboxylate
4-((1S,2S)-1,2-Dihydroxy-2-((2R,6S,9S,11R,12R,14aS,15S,16S,20S,23S,25aS)-2,11,12,15-tetrahydroxy-6,20-bis((R)-1-hydroxyethyl)-16-methyl-5,8,14,19,22,25-hexaoxo-9-(4''-(pentyloxy)-[1,1':4',1''-terphenyl]-4-carboxamido)tetracosahydro-1H-dipyrrolo[2,1-c:2',1'-l][1,4,7,10,13,16]hexaazacyclohenicosin-23-yl)ethyl)phenyl 4''-(pentyloxy)-[1,1':4',1''-terphenyl]-4-carboxylate
Catalogue No.:PA 01 0601009
CAS :
3011727-42-4
Molecular Formula : C82H95N7O19
Molecular Weight : 1482.69

