apremilast and its Impurities
Apremilast may also be useful for other immune system related inflammatory diseases.. Reference standards of Apremilast API, and its pharmacopeial, non pharmacopeial impurities, and stable isotopes are listed below
N-[2-[(1S)-1-(3-Ethoxy-4-hydroxyphenyl)-2-(methylsulfonyl)ethyl]-2,3-dihydro-1,3-dioxo-1H-isoindol-4-yl]acetamide
N-[2-[(1S)-1-(3-Ethoxy-4-hydroxyphenyl)-2-(methylsulfonyl)ethyl]-2,3-dihydro-1,3-dioxo-1H-isoindol-4-yl]acetamide
Catalogue No.:PA 28 24540
CAS :
1384441-38-6
Molecular Formula : C21H22N2O7S
Molecular Weight : 446.47
N,N'-(2,2'-((Propane-1,3-diyldisulfonyl)bis(2-(3-ethoxy-4-methoxyphenyl)ethane-2,1-diyl))bis(1,3-dioxoisoindoline-4,2-diyl))diacetamide
N,N'-(2,2'-((Propane-1,3-diyldisulfonyl)bis(2-(3-ethoxy-4-methoxyphenyl)ethane-2,1-diyl))bis(1,3-dioxoisoindoline-4,2-diyl))diacetamide
Catalogue No.:PA 28 24730
CAS :
NA
Molecular Formula : C45H48N4O14S2
Molecular Weight : 933.01
N,N'-(((Propane-1,3-diyldisulfonyl)bis(1-(3-ethoxy-4-methoxyphenyl)ethane-2,1-diyl))bis(1,3-dioxoisoindoline-2,4-diyl))diacetamide
N,N'-(((Propane-1,3-diyldisulfonyl)bis(1-(3-ethoxy-4-methoxyphenyl)ethane-2,1-diyl))bis(1,3-dioxoisoindoline-2,4-diyl))diacetamide
Catalogue No.:PA 28 24740
CAS :
2487573-08-8
Molecular Formula : C45H48N4O14S2
Molecular Weight : 933.01
N-(2-(1-(3-Ethoxy-4-methoxyphenyl)-2-((2-hydroxyethyl)sulfonyl)ethyl)-1,3-dioxoisoindolin-4-yl)acetamide
N-(2-(1-(3-Ethoxy-4-methoxyphenyl)-2-((2-hydroxyethyl)sulfonyl)ethyl)-1,3-dioxoisoindolin-4-yl)acetamide
Catalogue No.:PA 28 24750
CAS :
2487573-01-1
Molecular Formula : C23H26N2O8S
Molecular Weight : 490.53
2-Acetamido-6-((1-(3-ethoxy-4-methoxyphenyl)-2-(methylsulfonyl)ethyl)carbamoyl)benzoic Acid
2-Acetamido-6-((1-(3-ethoxy-4-methoxyphenyl)-2-(methylsulfonyl)ethyl)carbamoyl)benzoic Acid
Catalogue No.:PA 28 24760
CAS :
2808658-45-7
Molecular Formula : C22H26N2O8S
Molecular Weight : 478.52
(S)-N-(2-(1-(3-Ethoxy-4-methoxyphenyl)-2-(methylsulfonyl)ethyl)-5-hydroxy-1,3-dioxoisoindolin-4-yl)acetamide
(S)-N-(2-(1-(3-Ethoxy-4-methoxyphenyl)-2-(methylsulfonyl)ethyl)-5-hydroxy-1,3-dioxoisoindolin-4-yl)acetamide
Catalogue No.:PA 28 0241008
CAS :
2096492-43-0
Molecular Formula : C22H24N2O8S
Molecular Weight : 476.5
(S)-N-(2'-(1-(3-Ethoxy-4-methoxyphenyl)-2-(methylsulfonyl)ethyl)-1,1',3,3'-tetraoxo-[2,4'-biisoindolin]-4-yl)acetamide
(S)-N-(2'-(1-(3-Ethoxy-4-methoxyphenyl)-2-(methylsulfonyl)ethyl)-1,1',3,3'-tetraoxo-[2,4'-biisoindolin]-4-yl)acetamide
Catalogue No.:PA 28 0241009
CAS :
1802246-60-1
Molecular Formula : C30H27N3O9S
Molecular Weight : 605.62
4-Amino-2'-(1-(3-ethoxy-4-methoxyphenyl)-2-(methylsulfonyl)ethyl)-[2,4'-biisoindoline]-1,1',3,3'-tetraone
4-Amino-2'-(1-(3-ethoxy-4-methoxyphenyl)-2-(methylsulfonyl)ethyl)-[2,4'-biisoindoline]-1,1',3,3'-tetraone
Catalogue No.:PA 28 0241017
CAS :
NA
Molecular Formula : C28H25N3O8S
Molecular Weight : 563.58
N-(2-(1-(4-Ethoxy-3-methoxyphenyl)-2-(methylsulfonyl)ethyl)-1,3-dioxoisoindolin-4-yl)acetamide
N-(2-(1-(4-Ethoxy-3-methoxyphenyl)-2-(methylsulfonyl)ethyl)-1,3-dioxoisoindolin-4-yl)acetamide
Catalogue No.:PA 28 0241011
CAS :
2487573-03-3
Molecular Formula : C22H24N2O7S
Molecular Weight : 460.5
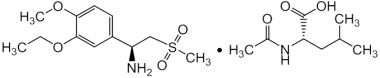
(S)-2-Acetamido-N-((S)-1-(3-ethoxy-4-methoxyphenyl)-2-(methylsulfonyl)ethyl)-4-methylpentanamide
(S)-2-Acetamido-N-((S)-1-(3-ethoxy-4-methoxyphenyl)-2-(methylsulfonyl)ethyl)-4-methylpentanamide
Catalogue No.:PA 28 0241013
CAS :
1407140-51-5
Molecular Formula : C20H32N2O6S
Molecular Weight : 428.54
(S)-4-Amino-2-(1-(3-ethoxy-4-hydroxyphenyl)-2-(methylsulfonyl)ethyl)isoindoline-1,3-dione
(S)-4-Amino-2-(1-(3-ethoxy-4-hydroxyphenyl)-2-(methylsulfonyl)ethyl)isoindoline-1,3-dione
Catalogue No.:PA 28 0241014
CAS :
1384440-16-7
Molecular Formula : C19H20N2O6S
Molecular Weight : 404.44
(S)-N-(2-(1-(3-Ethoxy-4-methoxyphenyl)-2-(methylsulfonyl)ethyl)-1,3-dioxoisoindolin-5-yl)acetamide
(S)-N-(2-(1-(3-Ethoxy-4-methoxyphenyl)-2-(methylsulfonyl)ethyl)-1,3-dioxoisoindolin-5-yl)acetamide
Catalogue No.:PA 28 0241021
CAS :
2201974-01-6
Molecular Formula : C22H24N2O7S
Molecular Weight : 460.5
(S)-N-(2-(1-(3-Ethoxy-4-methoxyphenyl)-2-(methylsulfonyl)ethyl)-1,3-dioxoisoindolin-4-yl)formamide
(S)-N-(2-(1-(3-Ethoxy-4-methoxyphenyl)-2-(methylsulfonyl)ethyl)-1,3-dioxoisoindolin-4-yl)formamide
Catalogue No.:PA 28 0241022
CAS :
2077897-94-8
Molecular Formula : C21H22N2O7S
Molecular Weight : 446.47
sodium (S)-2-acetamido-6-((1-(3-ethoxy-4-methoxyphenyl)-2-(methylsulfonyl)ethyl)carbamoyl)benzoate
Sodium (S)-2-acetamido-6-((1-(3-ethoxy-4-methoxyphenyl)-2-(methylsulfonyl)ethyl)carbamoyl)benzoate
Catalogue No.:PA 28 0241023
CAS :
NA
Molecular Formula : C22H25N2NaO8S
Molecular Weight : 500.5
(S)-4-Amino-2-(1-(3-hydroxy-4-methoxyphenyl)-2-(methylsulfonyl)ethyl)isoindoline-1,3-dione
(S)-4-Amino-2-(1-(3-hydroxy-4-methoxyphenyl)-2-(methylsulfonyl)ethyl)isoindoline-1,3-dione
Catalogue No.:PA 28 0241036
CAS :
2487573-05-5
Molecular Formula : C18H18N2O6S
Molecular Weight : 390.41
(S)-1-(3-Ethoxy-4-methoxyphenyl)-2-(methylsulfonyl)ethan-1-amine (S)-5-oxopyrrolidine-2-carboxylate
(S)-1-(3-Ethoxy-4-methoxyphenyl)-2-(methylsulfonyl)ethan-1-amine (S)-5-oxopyrrolidine-2-carboxylate
Catalogue No.:PA 28 0241037
CAS :
1912443-44-7
Molecular Formula : C17H26N2O7S
Molecular Weight : 402.46
(Z)-N-(3-Ethoxy-4-methoxybenzyl)-1-(3-ethoxy-4-methoxyphenyl)-2-(methylsulfonyl)ethen-1-amine
(Z)-N-(3-Ethoxy-4-methoxybenzyl)-1-(3-ethoxy-4-methoxyphenyl)-2-(methylsulfonyl)ethen-1-amine
Catalogue No.:PA 28 0241042
CAS :
2098468-66-5
Molecular Formula : C22H29NO6S
Molecular Weight : 435.54
N-(3-Ethoxy-4-methoxybenzyl)-N-(1-(3-ethoxy-4-methoxyphenyl)-2-(methylsulfonyl)ethyl)nitrous amide
N-(3-Ethoxy-4-methoxybenzyl)-N-(1-(3-ethoxy-4-methoxyphenyl)-2-(methylsulfonyl)ethyl)nitrous amide
Catalogue No.:PA 28 0241051
CAS :
NA
Molecular Formula : C22H30N2O7S
Molecular Weight : 466.55
(S)-N-(2-(1-(3,4-Dimethoxyphenyl)-2-(methylsulfonyl)ethyl)-1,3-dioxoisoindolin-4-yl)acetamide
(S)-N-(2-(1-(3,4-Dimethoxyphenyl)-2-(methylsulfonyl)ethyl)-1,3-dioxoisoindolin-4-yl)acetamide
Catalogue No.:PA 28 0241053
CAS :
1809089-51-7
Molecular Formula : C21H22N2O7S
Molecular Weight : 446.47
(S)-N-(2-(1-(4-Ethoxy-3-methoxyphenyl)-2-(methylsulfonyl)ethyl)-1,3-dioxoisoindolin-4-yl)acetamide
(S)-N-(2-(1-(4-Ethoxy-3-methoxyphenyl)-2-(methylsulfonyl)ethyl)-1,3-dioxoisoindolin-4-yl)acetamide
Catalogue No.:PA 28 0241055
CAS :
NA
Molecular Formula : C22H24N2O7S
Molecular Weight : 460.5

