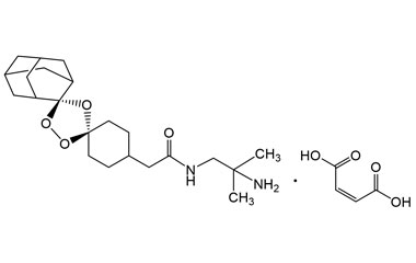
arterolane maleate and its Impurities
Arterolane maleate is a new synthetic trioxolane that is easy to synthesize, inexpensive, and rapidly acting oral anti-malarial drug. Reference standards of Arterolane Maleate API,and its pharmacopeial, non pharmacopeial impurities, and stable isotopes are listed below.

