aztreonam and its Impurities
Aztreonam is a monocyclic beta-lactam antibiotic originally isolated from Chromobacterium violaceum. It is resistant to beta-lactamases and is used in gram-negative infections, especially of the meninges, bladder, and kidneys. Reference standards of Aztreonam API, and its pharmacopeial, non pharmacopeial impurities, and stable isotopes are listed below.
(2S,3S)-3-Amino-2-[[(2Z)-2-(2-amino-4-thiazolyl)-2-[(1-carboxy-1-methylethoxy)imino]acetyl]amino]butanoic Acid
(2S,3S)-3-Amino-2-[[(2Z)-2-(2-amino-4-thiazolyl)-2-[(1-carboxy-1-methylethoxy)imino]acetyl]amino]butanoic Acid
Catalogue No.:PA 01 89550
CAS :
102586-36-7
Molecular Formula : C13H19N5O6S
Molecular Weight : 373.38
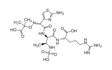
Nω-((2R,3S)-2-((Z)-2-(2-aminothiazol-4-yl)-2-(((2-carboxypropan-2-yl)oxy)imino)acetamido)-3-(sulfoamino)butanoyl)-L-arginine
Nω-((2R,3S)-2-((Z)-2-(2-aminothiazol-4-yl)-2-(((2-carboxypropan-2-yl)oxy)imino)acetamido)-3-(sulfoamino)butanoyl)-L-arginine
Catalogue No.:PA 01 89560
CAS :
NA
Molecular Formula : C19H31N9O10S2
Molecular Weight : 609.63
((2R,3S)-2-((Z)-2-(2-Aminothiazol-4-yl)-2-(((2-carboxypropan-2-yl)oxy)imino)acetamido)-3-(sulfoamino)butanoyl)-L-arginine
((2R,3S)-2-((Z)-2-(2-Aminothiazol-4-yl)-2-(((2-carboxypropan-2-yl)oxy)imino)acetamido)-3-(sulfoamino)butanoyl)-L-arginine
Catalogue No.:PA 01 89570
CAS :
NA
Molecular Formula : C19H31N9O10S2
Molecular Weight : 609.63
(2R,3R)-3-((Z)-2-(2-Aminothiazol-4-yl)-2-(((1-(tert-butoxy)-2-methyl-1-oxopropan-2-yl)oxy)imino)acetamido)-2-methyl-4-oxoazetidine-1-sulfonic Acid
(2R,3R)-3-((Z)-2-(2-Aminothiazol-4-yl)-2-(((1-(tert-butoxy)-2-methyl-1-oxopropan-2-yl)oxy)imino)acetamido)-2-methyl-4-oxoazetidine-1-sulfonic Acid
Catalogue No.:PA 01 89590
CAS :
NA
Molecular Formula : C17H25N5O8S2
Molecular Weight : 491.53
(2E,8S,9S,12Z)-2,12-Bis(2-aminothiazol-4-yl)-9-carboxy-5,5,8,15,15-pentamethyl-1-(((2S,3S)-2-methyl-4-oxo-1-sulfoazetidin-3-yl)amino)-1,6,11-trioxo-4,14-dioxa-3,7,10,13-tetraazahexadeca-2,12-dien-16-oic acid
(2E,8S,9S,12Z)-2,12-Bis(2-aminothiazol-4-yl)-9-carboxy-5,5,8,15,15-pentamethyl-1-(((2S,3S)-2-methyl-4-oxo-1-sulfoazetidin-3-yl)amino)-1,6,11-trioxo-4,14-dioxa-3,7,10,13-tetraazahexadeca-2,12-dien-16-oic acid
Catalogue No.:PA 01 0891008
CAS :
1255913-01-9
Molecular Formula : C26H34N10O13S3
Molecular Weight : 790.8
(2S,3S)-3-Amino-2-((E)-2-(2-aminothiazol-4-yl)-2-(((2-carboxypropan-2-yl)oxy)imino)acetamido)butanoic acid
(2S,3S)-3-Amino-2-((E)-2-(2-aminothiazol-4-yl)-2-(((2-carboxypropan-2-yl)oxy)imino)acetamido)butanoic acid
Catalogue No.:PA 01 0891014
CAS :
NA
Molecular Formula : C13H19N5O6S
Molecular Weight : 373.38
(S,Z)-5-(2-Aminothiazol-4-yl)-2,2-dimethyl-6,9-dioxo-8-((S)-1-(sulfoamino)ethyl)-3,10-dioxa-4,7-diazadodec-4-enoic Acid
(S,Z)-5-(2-Aminothiazol-4-yl)-2,2-dimethyl-6,9-dioxo-8-((S)-1-(sulfoamino)ethyl)-3,10-dioxa-4,7-diazadodec-4-enoic Acid
Catalogue No.:PA 01 0891015
CAS :
NA
Molecular Formula : C15H23N5O9S2
Molecular Weight : 481.5
2-((((Z)-1-(2-((2S,3S)-2-((Z)-2-(2-Aminothiazol-4-yl)-2-(((2-carboxypropan-2-yl)oxy)imino)acetamido)-3-(sulfoamino)butanamido)thiazol-4-yl)-2-(((2S,3S)-2-methyl-4-oxo-1-sulfoazetidin-3-yl)amino)-2-oxoethylidene)amino)oxy)-2-methylpropanoic Acid
2-((((Z)-1-(2-((2S,3S)-2-((Z)-2-(2-Aminothiazol-4-yl)-2-(((2-carboxypropan-2-yl)oxy)imino)acetamido)-3-(sulfoamino)butanamido)thiazol-4-yl)-2-(((2S,3S)-2-methyl-4-oxo-1-sulfoazetidin-3-yl)amino)-2-oxoethylidene)amino)oxy)-2-methylpropanoic Acid
Catalogue No.:PA 01 0891016
CAS :
730928-60-6
Molecular Formula : C26H34N10O16S4
Molecular Weight : 870.85

