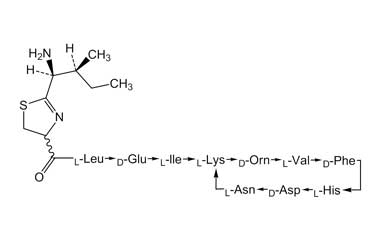
bacitracin and its Impurities
A polypeptide antibiotic which is primarily used as a topical preparation, Bacitrain acts against both gram positive and gram negative strains by disrupting their cell wall and peptidoglycan synthesis. It is synthesised via nonribosomal peptide synthetases (NRPSs). Reference standards of Bacitracin API, and its pharmacopeial, non pharmacopeial impurities, and stable isotopes are listed below.

