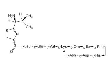
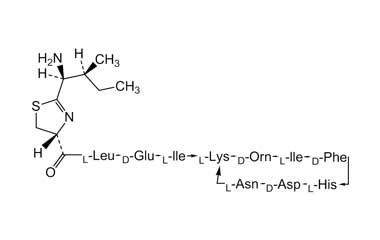
bacitracin zinc and its Impurities
Bacitracin Zinc is used in combination with topical antibiotics like polymyxin B and neomycin, as an ointment and used for the treatment of localized skin and eye infections. Reference standards of Bacitracin Zinc API, and its pharmacopeial, non pharmacopeial impurities, and stable isotopes are listed below.

