Bempedoic Acid and its Impurities
Bempedoic acid, sold under the brand name Nexletol among others, is a medication for the treatment of hypercholesterolemia (high blood cholesterol levels). Reference standards of Bempedoic Acid API, and its pharmacopeial, non pharmacopeial impurities, and stable isotopes are listed below.
 
	
			                                   
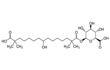
																				(2S,3S,4S,5R,6S)-6-((14-carboxy-8-hydroxy-2,2,14-trimethylpentadecanoyl)oxy)-3,4,5-trihydroxytetrahydro-2H-pyran-2-carboxylic acid
(2S,3S,4S,5R,6S)-6-((14-carboxy-8-hydroxy-2,2,14-trimethylpentadecanoyl)oxy)-3,4,5-trihydroxytetrahydro-2H-pyran-2-carboxylic acid
- Catalogue No.:PA 02 2251002 
- CAS : - 2270230-51-6
- Molecular Formula : C25H44O11 
- Molecular Weight : 520.62 
 
	
			                                   
																				(2S,3S,4S,5R,6S)-6-((14-Carboxy-2,2,14-trimethyl-8-oxopentadecanoyl)oxy)-3,4,5-trihydroxytetrahydro-2H-pyran-2-carboxylic Acid
(2S,3S,4S,5R,6S)-6-((14-Carboxy-2,2,14-trimethyl-8-oxopentadecanoyl)oxy)-3,4,5-trihydroxytetrahydro-2H-pyran-2-carboxylic Acid
- Catalogue No.:PA 02 2251009 
- CAS : - NA
- Molecular Formula : C25H42O11 
- Molecular Weight : 518.6 
 
	
			                                   
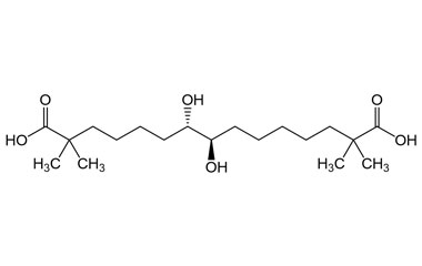
																				8-((14-Carboxy-8-hydroxy-2,2,14-trimethylpentadecanoyl)oxy)-2,2,14,14-tetramethylpentadecanedioic Acid
8-((14-Carboxy-8-hydroxy-2,2,14-trimethylpentadecanoyl)oxy)-2,2,14,14-tetramethylpentadecanedioic Acid
- Catalogue No.:PA 02 2251011 
- CAS : - NA
- Molecular Formula : C38H70O9 
- Molecular Weight : 670.97 
 
	
			                                   
																				N-(1-Isobutyl-2-oxo-1,2,3,4-tetrahydroquinolin-6-yl)-P-methyl-P-(1-(o-tolyl)ethyl)phosphinic amide
N-(1-Isobutyl-2-oxo-1,2,3,4-tetrahydroquinolin-6-yl)-P-methyl-P-(1-(o-tolyl)ethyl)phosphinic amide
- Catalogue No.:PA 02 2251031 
- CAS : - 2070179-40-5
- Molecular Formula : C23H31N2O2P 
- Molecular Weight : 398.49 

 
																				 
																				 
																				 
																				 
																				 
																				 
																				 
																				 
																				 
																				 
																				 
																				 
																				 
																				 
																				 
																				 
																				 
																				 
																				 
																				 
																				 
																				 
																				 
																				 
																				 
																				 
																				 
																				 
																				 
																				 
																				 
																				 
																				 
																				 
																				 
																				 
																				 
																				 
																				 
																				 
																				 
																				 
																				 
																				 
																				 
 
 
 
