Bilastine and its Impurities
Bilastine is used to relieve the symptoms of hayfever and other forms of allergic rhinitis. It is sold under the brand name Bilaxten. Reference standards of Bilastine API,and its pharmacopeial, non pharmacopeial impurities, and stable isotopes are listed below.

![2-(3-(2-(4-(1-(2-Ethoxyethyl)-1H-benzo[d]imidazol- PA 29 50580](https://www.pharmaffiliates.com/pimages/PA2950580.jpg)
2-(3-(2-(4-(1-(2-Ethoxyethyl)-1H-benzo[d]imidazol-2-yl)piperidin-1-yl)ethyl)phenyl)-2-methylpropanoic Acid
2-(3-(2-(4-(1-(2-Ethoxyethyl)-1H-benzo[d]imidazol-2-yl)piperidin-1-yl)ethyl)phenyl)-2-methylpropanoic Acid
Catalogue No.:PA 29 50580
CAS :
1215537-40-8
Molecular Formula : C28H37N3O3
Molecular Weight : 463.62

![Methyl 2-(4-(2-(4-(1-(2-ethoxyethyl)-1H-benzo[d]im PA 29 0501000](https://www.pharmaffiliates.com/pimages/PA290501000.jpg)
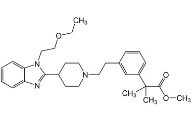
Methyl 2-(4-(2-(4-(1-(2-ethoxyethyl)-1H-benzo[d]imidazol-2-yl)piperidin-1-yl)ethyl)phenyl)-2-methylpropanoate
Methyl 2-(4-(2-(4-(1-(2-ethoxyethyl)-1H-benzo[d]imidazol-2-yl)piperidin-1-yl)ethyl)phenyl)-2-methylpropanoate
Catalogue No.:PA 29 0501000
CAS :
1181267-38-8
Molecular Formula : C29H39N3O3
Molecular Weight : 477.65

![2-(4-(2-(4-(1-(2-Ethoxyethyl)-1H-benzo[d]imidazol- PA 29 0501005](https://www.pharmaffiliates.com/pimages/PA290501005.jpg)
2-(4-(2-(4-(1-(2-Ethoxyethyl)-1H-benzo[d]imidazol-2-yl)piperidin-1-yl)ethyl)phenyl)-N-methoxy-N,2-dimethylpropanamide
2-(4-(2-(4-(1-(2-Ethoxyethyl)-1H-benzo[d]imidazol-2-yl)piperidin-1-yl)ethyl)phenyl)-N-methoxy-N,2-dimethylpropanamide
Catalogue No.:PA 29 0501005
CAS :
1638785-18-8
Molecular Formula : C30H42N4O3
Molecular Weight : 506.69

![2-(4-(2-(4-(1-(2-Methoxyethyl)-1H-benzo[d]imidazol PA 29 0501006](https://www.pharmaffiliates.com/pimages/PA290501006.jpg)
2-(4-(2-(4-(1-(2-Methoxyethyl)-1H-benzo[d]imidazol-2-yl)piperidin-1-yl)ethyl)phenyl)-2-methylpropanoic Acid
2-(4-(2-(4-(1-(2-Methoxyethyl)-1H-benzo[d]imidazol-2-yl)piperidin-1-yl)ethyl)phenyl)-2-methylpropanoic Acid
Catalogue No.:PA 29 0501006
CAS :
2767508-98-3
Molecular Formula : C27H35N3O3
Molecular Weight : 449.6

![2-(2-(4-(2-(4-(1-(2-Ethoxyethyl)-1H-benzo[d]imidaz PA 29 0501007](https://www.pharmaffiliates.com/pimages/PA290501007.jpg)
2-(2-(4-(2-(4-(1-(2-Ethoxyethyl)-1H-benzo[d]imidazol-2-yl)piperidin-1-yl)ethyl)phenyl)propan-2-yl)-4,4-dimethyl-4,5-dihydrooxazole
2-(2-(4-(2-(4-(1-(2-Ethoxyethyl)-1H-benzo[d]imidazol-2-yl)piperidin-1-yl)ethyl)phenyl)propan-2-yl)-4,4-dimethyl-4,5-dihydrooxazole
Catalogue No.:PA 29 0501007
CAS :
202189-77-3
Molecular Formula : C32H44N4O2
Molecular Weight : 516.73


(1r,4s)-1-(4-(2-Carboxypropan-2-yl)phenethyl)-4-(1-(2-ethoxyethyl)-1H-benzo[d]imidazol-2-yl)piperidine 1-oxide
(1r,4s)-1-(4-(2-Carboxypropan-2-yl)phenethyl)-4-(1-(2-ethoxyethyl)-1H-benzo[d]imidazol-2-yl)piperidine 1-oxide
Catalogue No.:PA 29 0501009
CAS :
1934257-95-0
Molecular Formula : C28H37N3O4
Molecular Weight : 479.62


(1s,4r)-1-(4-(2-Carboxypropan-2-yl)phenethyl)-4-(1-(2-ethoxyethyl)-1H-benzo[d]imidazol-2-yl)piperidine 1-oxide
(1s,4r)-1-(4-(2-Carboxypropan-2-yl)phenethyl)-4-(1-(2-ethoxyethyl)-1H-benzo[d]imidazol-2-yl)piperidine 1-oxide
Catalogue No.:PA 29 0501010
CAS :
1934257-94-9
Molecular Formula : C28H37N3O4
Molecular Weight : 479.62


2-(2-(1-(4-(2-(4,4-Dimethyl-4,5-dihydrooxazol-2-yl)propan-2-yl)phenethyl)piperidin-4-yl)-1H-benzo[d]imidazol-1-yl)ethan-1-ol
2-(2-(1-(4-(2-(4,4-Dimethyl-4,5-dihydrooxazol-2-yl)propan-2-yl)phenethyl)piperidin-4-yl)-1H-benzo[d]imidazol-1-yl)ethan-1-ol
Catalogue No.:PA 29 0501018
CAS :
202189-82-0
Molecular Formula : C30H40N4O2
Molecular Weight : 488.68


2-(4-(2-(4-(1-(4-(2-Carboxypropan-2-yl)phenethyl)-1H-benzo[d]imidazol-2-yl)piperidin-1-yl)ethyl)phenyl)-2-methylpropanoic Acid
2-(4-(2-(4-(1-(4-(2-Carboxypropan-2-yl)phenethyl)-1H-benzo[d]imidazol-2-yl)piperidin-1-yl)ethyl)phenyl)-2-methylpropanoic Acid
Catalogue No.:PA 29 0501020
CAS :
2411093-91-7
Molecular Formula : C36H43N3O4
Molecular Weight : 581.76

![Methyl 2-(4-(2-(4-(1-(2-ethoxyethyl)-1H-benzo[d]im PAI 29 050001](https://www.pharmaffiliates.com/pimages/PAI29050001.jpg)
Methyl 2-(4-(2-(4-(1-(2-ethoxyethyl)-1H-benzo[d]imidazol-2-yl)piperidin-1-yl)acetyl)phenyl)-2-methylpropanoate
Methyl 2-(4-(2-(4-(1-(2-ethoxyethyl)-1H-benzo[d]imidazol-2-yl)piperidin-1-yl)acetyl)phenyl)-2-methylpropanoate
Catalogue No.:PAI 29 050001
CAS :
1638785-20-2
Molecular Formula : C29H37N3O4
Molecular Weight : 491.63

![Methyl 2-(4-(2-(4-(1-(2-ethoxyethyl)-1H-benzo[d]im PAI 29 050002](https://www.pharmaffiliates.com/pimages/PAI29050002.jpg)
Methyl 2-(4-(2-(4-(1-(2-ethoxyethyl)-1H-benzo[d]imidazol-2-yl)piperidin-1-yl)-1-hydroxyethyl)phenyl)-2-methylpropanoate
Methyl 2-(4-(2-(4-(1-(2-ethoxyethyl)-1H-benzo[d]imidazol-2-yl)piperidin-1-yl)-1-hydroxyethyl)phenyl)-2-methylpropanoate
Catalogue No.:PAI 29 050002
CAS :
1638785-21-3
Molecular Formula : C29H39N3O4
Molecular Weight : 493.65

![2-(2-(2-(4-(1-(2-Ethoxyethyl)-1H-benzo[d]imidazol- PAI 29 050003](https://www.pharmaffiliates.com/pimages/PAI29050003.jpg)
2-(2-(2-(4-(1-(2-Ethoxyethyl)-1H-benzo[d]imidazol-2-yl)piperidin-1-yl)acetyl)phenyl)-2-methylpropanoic Acid
2-(2-(2-(4-(1-(2-Ethoxyethyl)-1H-benzo[d]imidazol-2-yl)piperidin-1-yl)acetyl)phenyl)-2-methylpropanoic Acid
Catalogue No.:PAI 29 050003
CAS :
NA
Molecular Formula : C28H35N3O4
Molecular Weight : 477.61

![2-(2-(2-(4-(1-(2-Ethoxyethyl)-1H-benzo[d]imidazol- PAI 29 050004](https://www.pharmaffiliates.com/pimages/PAI29050004.jpg)
2-(2-(2-(4-(1-(2-Ethoxyethyl)-1H-benzo[d]imidazol-2-yl)piperidin-1-yl)-1-hydroxyethyl)phenyl)-2-methylpropanoic Acid
2-(2-(2-(4-(1-(2-Ethoxyethyl)-1H-benzo[d]imidazol-2-yl)piperidin-1-yl)-1-hydroxyethyl)phenyl)-2-methylpropanoic Acid
Catalogue No.:PAI 29 050004
CAS :
NA
Molecular Formula : C28H37N3O4
Molecular Weight : 479.62


2-Amino-2-methylpropyl 2-(4-(2-(4-(1-(2-ethoxyethyl)-1H-benzo[d]imidazol-2-yl)piperidin-1-yl)ethyl)phenyl)-2-methylpropanoate
2-Amino-2-methylpropyl 2-(4-(2-(4-(1-(2-ethoxyethyl)-1H-benzo[d]imidazol-2-yl)piperidin-1-yl)ethyl)phenyl)-2-methylpropanoate
Catalogue No.:PA 29 0501035
CAS :
2761921-47-3
Molecular Formula : C32H46N4O3
Molecular Weight : 534.75

![2-(4-(2-(4-(1-(2-Ethoxyethyl)-1H-benzo[d]imidazol- PA 29 0501039](https://www.pharmaffiliates.com/pimages/PA290501039.jpg)
2-(4-(2-(4-(1-(2-Ethoxyethyl)-1H-benzo[d]imidazol-2-yl)piperidin-1-yl)acetyl)phenyl)-2-methylpropanoic acid
2-(4-(2-(4-(1-(2-Ethoxyethyl)-1H-benzo[d]imidazol-2-yl)piperidin-1-yl)acetyl)phenyl)-2-methylpropanoic acid
Catalogue No.:PA 29 0501039
CAS :
1638785-22-4
Molecular Formula : C28H35N3O4
Molecular Weight : 477.61

![2-Methyl-2-(4-(2-(4-(1-nitroso-1H-benzo[d]imidazol PA 29 0501043](https://www.pharmaffiliates.com/pimages/PA290501043.jpg)
2-Methyl-2-(4-(2-(4-(1-nitroso-1H-benzo[d]imidazol-2-yl)piperidin-1-yl)ethyl)phenyl)propanoic acid
2-Methyl-2-(4-(2-(4-(1-nitroso-1H-benzo[d]imidazol-2-yl)piperidin-1-yl)ethyl)phenyl)propanoic acid
Catalogue No.:PA 29 0501043
CAS :
NA
Molecular Formula : C24H28N4O3
Molecular Weight : 420.51

![2-(4-(2-(4-(1-(2-Ethoxyethyl)-1H-benzo[d]imidazol- PA 29 0501044](https://www.pharmaffiliates.com/pimages/PA290501044.jpg)
2-(4-(2-(4-(1-(2-Ethoxyethyl)-1H-benzo[d]imidazol-2-yl)piperidin-1-yl)ethyl)phenyl)-N,N,2-trimethylpropanamide
2-(4-(2-(4-(1-(2-Ethoxyethyl)-1H-benzo[d]imidazol-2-yl)piperidin-1-yl)ethyl)phenyl)-N,N,2-trimethylpropanamide
Catalogue No.:PA 29 0501044
CAS :
NA
Molecular Formula : C30H42N4O2
Molecular Weight : 490.69


2-(4-(5-(2-Carboxypropan-2-yl)-2-(2-(4-(1-(2-ethoxyethyl)-1H-benzo[d]imidazol-2-yl)piperidin-1-yl)ethyl)phenethyl)phenyl)-2-methylpropanoic Acid
2-(4-(5-(2-Carboxypropan-2-yl)-2-(2-(4-(1-(2-ethoxyethyl)-1H-benzo[d]imidazol-2-yl)piperidin-1-yl)ethyl)phenethyl)phenyl)-2-methylpropanoic Acid
Catalogue No.:PA 29 0501045
CAS :
NA
Molecular Formula : C40H51N3O5
Molecular Weight : 653.86