boceprevir and its Impurities
Boceprevir trade name is a protease inhibitor used to treat hepatitis caused by hepatitis C virus genotype 1. It binds to the HCV nonstructural protein 3 active site. It is an antiviral used in combination with peginterferon and ribavirin to treat chronic hepatitis C, a viral infection of the liver.. Reference standards of Boceprevir API, and its pharmacopeial, non pharmacopeial impurities, and stable isotopes are listed below


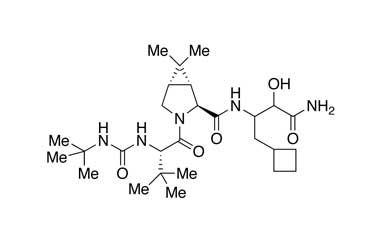
2'-Dihydro Boceprevir-d9 (Boceprevir Metabolite M28-d9+M31-d9 (Mixture of Diastereomers))
2'-Dihydro Boceprevir-d9 (Boceprevir Metabolite M28-d9+M31-d9 (Mixture of Diastereomers))
Catalogue No.:PA STI 032210
CAS :
1373318-85-4
Molecular Formula : C27H38D9N5O5
Molecular Weight : 530.75


(3R,5aS,6aR,6bS)-6,6-Dimethyl-3-phenyltetrahydro-3H-cyclopropa[3,4]pyrrolo[1,2-c]oxazol-5(1H)-one
(3R,5aS,6aR,6bS)-6,6-Dimethyl-3-phenyltetrahydro-3H-cyclopropa[3,4]pyrrolo[1,2-c]oxazol-5(1H)-one
Catalogue No.:PA 02 0421002
CAS :
219753-99-8
Molecular Formula : C15H17NO2
Molecular Weight : 243.31