Bulk Speciality Chemicals (Miscellaneous) and its Impurities
Bulk specialty chemicals refer to specialty chemicals that are produced in large quantities, often for specific industrial applications where high volume is required alongside specialized functionalities. Reference standards of Bulk Speciality Chemicals (Miscellaneous) API, and its pharmacopeial, non pharmacopeial impurities, and stable isotopes are listed below.
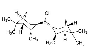
1-(Bis(dimethylamino)methylene)-1H-benzo[d][1,2,3]triazole-1-ium 3-oxide tetrafluoroborate (BSC)
1-(Bis(dimethylamino)methylene)-1H-benzo[d][1,2,3]triazole-1-ium 3-oxide tetrafluoroborate (BSC)
Catalogue No.:PA BSC 2670201133
CAS :
125700-67-6
Molecular Formula : C11H16BF4N5O
Molecular Weight : 321.09

