cabazitaxel and its Impurities
Cabazitaxel was developed by Sanofi-Aventis and was approved by the U.S. FDA for the treatment of hormone-refractory prostate cancer on June 17, 2010. It is a semi-synthetic derivative of a natural taxoid. It is a microtubule inhibitor, and the fourth taxane to be approved as a cancer therapy.. Reference standards of Cabazitaxel API, and its pharmacopeial, non pharmacopeial impurities, and stable isotopes are listed below
 
	
			                                   
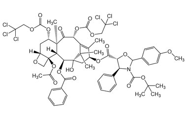
																				Cabazitaxel - Impurity B
13α-[[(2R,3S)-3-[(Tert-butoxycarbonyl)amino]-2-hydroxy-3-phenylpropanoyl]oxy]-1-hydroxy7β,10β-dimethoxy-9-oxo-4-(propanoyloxy)-4α,5β-5,20-epoxytax-11-en-2α-yl Benzoate
- Catalogue No.:PA 03 01690 
- CAS : - NA
- Molecular Formula : C46H59NO14 
- Molecular Weight : 849.97 
 
	
			                                   
																				Cabazitaxel - Impurity G
4-(Acetyloxy)-10β,13α-bis[[(2R,3S)-3-[(tert-butoxycarbonyl)amino]-2-hydroxy-3- phenylpropanoyl]oxy]-1-hydroxy-7β-methoxy-9-oxo-4α,5β-5,20-epoxytax-11-en-2α-yl Benzoate
- Catalogue No.:PA 04 97670 
- CAS : - NA
- Molecular Formula : C58H72N2O18 
- Molecular Weight : 1085.21 
 
	
			                                   
																				(2aR,4S,4aS,6R,9S,11S,12S,12aR,12bS)-12b-Acetoxy-9-(((2R,3S)-3-((tert-butoxycarbonyl)amino)-3-phenyl-2-((triethylsilyl)oxy)propanoyl)oxy)-11-hydroxy-4,6-dimethoxy-4a,8,13,13-tetramethyl-5-oxo-2a,3,4,4a,5,6,9,10,11,12,12a,12b-dodecahydro-1H-7,11-methanocyclodeca[3,4]benzo[1,2-b]oxet-12-yl Benzoate
(2aR,4S,4aS,6R,9S,11S,12S,12aR,12bS)-12b-Acetoxy-9-(((2R,3S)-3-((tert-butoxycarbonyl)amino)-3-phenyl-2-((triethylsilyl)oxy)propanoyl)oxy)-11-hydroxy-4,6-dimethoxy-4a,8,13,13-tetramethyl-5-oxo-2a,3,4,4a,5,6,9,10,11,12,12a,12b-dodecahydro-1H-7,11-methanocyclodeca[3,4]benzo[1,2-b]oxet-12-yl Benzoate
- Catalogue No.:PA 03 01700 
- CAS : - 1380584-07-5
- Molecular Formula : C51H71NO14Si 
- Molecular Weight : 950.21 
 
	
			                                   
																				Cabazitaxel - Impurity A
4-(Acetyloxy)-13α-[[(2R,3S)-3-[(tert-butoxycarbonyl)amino]-2-hydroxy-3-phenylpropanoyl]oxy]-1-hydroxy-7β,10β-dimethoxy-9-oxo-4α,5β-5,20-epoxytax-11-en-2α-yl (2E)-2-methylbut-2-enoate
- Catalogue No.:PA 03 01710 
- CAS : - NA
- Molecular Formula : C43H59NO14 
- Molecular Weight : 813.94 
 
	
			                                   
																				(2aR,4S,4aS,6R,9S,11S,12S,12aR,12bS)-12b-Acetoxy-9-(((2R,3S)-3-((tert-butoxycarbonyl)amino)-2-hydroxy-3-phenylpropanoyl)oxy)-11-hydroxy-4,6-dimethoxy-4a,8,13,13-tetramethyl-5-oxo-2a,3,4,4a,5,6,9,10,11,12,12a,12b-dodecahydro-1H-7,11-methanocyclodeca[3,4]benzo[1,2-b]oxet-12-yl Benzoate compound with Propan-2-ol (1:1)
(2aR,4S,4aS,6R,9S,11S,12S,12aR,12bS)-12b-Acetoxy-9-(((2R,3S)-3-((tert-butoxycarbonyl)amino)-2-hydroxy-3-phenylpropanoyl)oxy)-11-hydroxy-4,6-dimethoxy-4a,8,13,13-tetramethyl-5-oxo-2a,3,4,4a,5,6,9,10,11,12,12a,12b-dodecahydro-1H-7,11-methanocyclodeca[3,4]benzo[1,2-b]oxet-12-yl Benzoate compound with Propan-2-ol (1:1)
- Catalogue No.:PA 03 01720 
- CAS : - 1402820-62-5
- Molecular Formula : C48H65NO15 
- Molecular Weight : 896.04 
 
	
			                                   
																				(2aR,4S,4aS,6R,8S,9aS,10S,10aR,10bS)-10b-Acetoxy-8-(((2R,3S)-3-((tert-butoxycarbonyl)amino)-2-hydroxy-3-phenylpropanoyl)oxy)-9a-(2-hydroxypropan-2-yl)-4,6-dimethoxy-4a,7-dimethyl-5-oxo-2a,3,4,4a,5,6,8,9,9a,10,10a,10b-dodecahydro-1H-azuleno[5',6':3,4]benzo[1,2-b]oxet-10-yl benzoate;
(2aR,4S,4aS,6R,8S,9aS,10S,10aR,10bS)-10b-Acetoxy-8-(((2R,3S)-3-((tert-butoxycarbonyl)amino)-2-hydroxy-3-phenylpropanoyl)oxy)-9a-(2-hydroxypropan-2-yl)-4,6-dimethoxy-4a,7-dimethyl-5-oxo-2a,3,4,4a,5,6,8,9,9a,10,10a,10b-dodecahydro-1H-azuleno[5',6':3,4]benzo[1,2-b]oxet-10-yl benzoate;
- Catalogue No.:PA 03 0011001 
- CAS : - NA
- Molecular Formula : C45H57NO14 
- Molecular Weight : 835.94 
 
	
			                                   
																				(2aR,4S,4aS,6R,9S,11S,12S,12aR,12bS)-12b-Acetoxy-9-(((2R,3S)-3-((tert-butoxycarbonyl)amino)-2-hydroxy-3-phenylpropanoyl)oxy)-11-hydroxy-4,6-dimethoxy-4a,8,13,13-tetramethyl-5-oxotetradecahydro-1H-7,11-methanocyclodeca[3,4]benzo[1,2-b]oxet-12-yl benzoate
(2aR,4S,4aS,6R,9S,11S,12S,12aR,12bS)-12b-Acetoxy-9-(((2R,3S)-3-((tert-butoxycarbonyl)amino)-2-hydroxy-3-phenylpropanoyl)oxy)-11-hydroxy-4,6-dimethoxy-4a,8,13,13-tetramethyl-5-oxotetradecahydro-1H-7,11-methanocyclodeca[3,4]benzo[1,2-b]oxet-12-yl benzoate
- Catalogue No.:PA 03 0011003 
- CAS : - NA
- Molecular Formula : C45H59NO14 
- Molecular Weight : 837.96 
 
	
			                                   
																				(2aR,4S,4aS,6R,9S,11S,12S,12aR,12bS)-12b-Acetoxy-9-(((2R,3S)-3-(N-(tert-butoxycarbonyl)pivalamido)-2-hydroxy-3-phenylpropanoyl)oxy)-11-hydroxy-4,6-dimethoxy-4a,8,13,13-tetramethyl-5-oxo-2a,3,4,4a,5,6,9,10,11,12,12a,12b-dodecahydro-1H-7,11-methanocyclodeca[3,4]benzo[1,2-b]oxet-12-yl benzoate
(2aR,4S,4aS,6R,9S,11S,12S,12aR,12bS)-12b-Acetoxy-9-(((2R,3S)-3-(N-(tert-butoxycarbonyl)pivalamido)-2-hydroxy-3-phenylpropanoyl)oxy)-11-hydroxy-4,6-dimethoxy-4a,8,13,13-tetramethyl-5-oxo-2a,3,4,4a,5,6,9,10,11,12,12a,12b-dodecahydro-1H-7,11-methanocyclodeca[3,4]benzo[1,2-b]oxet-12-yl benzoate
- Catalogue No.:PA 03 0011005 
- CAS : - NA
- Molecular Formula : C50H65NO15 
- Molecular Weight : 920.06 
 
	
			                                   
																				(2aR,4S,4aS,6R,9S,11S,12S,12aR,12bS)-12b-Acetoxy-9-(((2S,3R)-3-((tert-butoxycarbonyl)amino)-2-((2-methoxypropan-2-yl)oxy)-3-phenylpropanoyl)oxy)-11-hydroxy-4,6-dimethoxy-4a,8,13,13-tetramethyl-5-oxo-2a,3,4,4a,5,6,9,10,11,12,12a,12b-dodecahydro-1H-7,11-methanocyclodeca[3,4]benzo[1,2-b]oxet-12-yl benzoate
(2aR,4S,4aS,6R,9S,11S,12S,12aR,12bS)-12b-Acetoxy-9-(((2S,3R)-3-((tert-butoxycarbonyl)amino)-2-((2-methoxypropan-2-yl)oxy)-3-phenylpropanoyl)oxy)-11-hydroxy-4,6-dimethoxy-4a,8,13,13-tetramethyl-5-oxo-2a,3,4,4a,5,6,9,10,11,12,12a,12b-dodecahydro-1H-7,11-methanocyclodeca[3,4]benzo[1,2-b]oxet-12-yl benzoate
- Catalogue No.:PA 03 0011006 
- CAS : - NA
- Molecular Formula : C49H65NO15 
- Molecular Weight : 908.05 
 
	
			                                   
																				(2aR,4S,4aS,6R,9S,11S,12S,12aR,12bS)-12b-Acetoxy-9-(((2R,3S)-3-((tert-butoxycarbonyl)amino)-2-((2-methoxypropan-2-yl)oxy)-3-phenylpropanoyl)oxy)-11-hydroxy-4,6-dimethoxy-4a,8,13,13-tetramethyl-5-oxo-2a,3,4,4a,5,6,9,10,11,12,12a,12b-dodecahydro-1H-7,11-methanocyclodeca[3,4]benzo[1,2-b]oxet-12-yl benzoate
(2aR,4S,4aS,6R,9S,11S,12S,12aR,12bS)-12b-Acetoxy-9-(((2R,3S)-3-((tert-butoxycarbonyl)amino)-2-((2-methoxypropan-2-yl)oxy)-3-phenylpropanoyl)oxy)-11-hydroxy-4,6-dimethoxy-4a,8,13,13-tetramethyl-5-oxo-2a,3,4,4a,5,6,9,10,11,12,12a,12b-dodecahydro-1H-7,11-methanocyclodeca[3,4]benzo[1,2-b]oxet-12-yl benzoate
- Catalogue No.:PA 03 0011008 
- CAS : - 1429289-67-7
- Molecular Formula : C49H65NO15 
- Molecular Weight : 908.05 
 
	
			                                   
																				(2aR,4S,4aS,6R,9S,11S,12S,12aR,12bS)-12b-Acetoxy-4,6,9,11-tetramethoxy-4a,8,13,13-tetramethyl-5-oxo-2a,3,4,4a,5,6,9,10,11,12,12a,12b-dodecahydro-1H-7,11-methanocyclodeca[3,4]benzo[1,2-b]oxet-12-yl benzoate
(2aR,4S,4aS,6R,9S,11S,12S,12aR,12bS)-12b-Acetoxy-4,6,9,11-tetramethoxy-4a,8,13,13-tetramethyl-5-oxo-2a,3,4,4a,5,6,9,10,11,12,12a,12b-dodecahydro-1H-7,11-methanocyclodeca[3,4]benzo[1,2-b]oxet-12-yl benzoate
- Catalogue No.:PA 03 0011009 
- CAS : - NA
- Molecular Formula : C33H44O10 
- Molecular Weight : 600.71 
 
	
			                                   
																				(2aR,4S,4aS,6R,9S,11S,12S,12aR,12bS)-12b-Acetoxy-9,11-dihydroxy-4,6-dimethoxy-4a,8,13,13-tetramethyl-5-oxotetradecahydro-1H-7,11-methanocyclodeca[3,4]benzo[1,2-b]oxet-12-yl benzoate
(2aR,4S,4aS,6R,9S,11S,12S,12aR,12bS)-12b-Acetoxy-9,11-dihydroxy-4,6-dimethoxy-4a,8,13,13-tetramethyl-5-oxotetradecahydro-1H-7,11-methanocyclodeca[3,4]benzo[1,2-b]oxet-12-yl benzoate
- Catalogue No.:PA 03 0011010 
- CAS : - NA
- Molecular Formula : C31H42O10 
- Molecular Weight : 574.67 
 
	
			                                   
																				(2S,4S,5S)-3-(Tert-butoxycarbonyl)-2-(4-methoxyphenyl)-4-phenyloxazolidine-5-carboxylic acid
(2S,4S,5S)-3-(Tert-butoxycarbonyl)-2-(4-methoxyphenyl)-4-phenyloxazolidine-5-carboxylic acid
- Catalogue No.:PA 03 0011013 
- CAS : - 153652-67-6
- Molecular Formula : C22H25NO6 
- Molecular Weight : 399.44 
 
	
			                                   
																				(2aR,4S,4aS,6R,9S,11S,12S,12aR,12bS)-12-(Benzoyloxy)-9-(((2R,3S)-3-((tert-butoxycarbonyl)amino)-2-hydroxy-3-phenylpropanoyl)oxy)-11-hydroxy-4-methoxy-4a,8,13,13-tetramethyl-5-oxo-3,4,4a,5,6,9,10,11,12,12a-decahydro-1H-7,11-methanocyclodeca[3,4]benzo[1,2-b]oxete-6,12b(2aH)-diyl diacetate
(2aR,4S,4aS,6R,9S,11S,12S,12aR,12bS)-12-(Benzoyloxy)-9-(((2R,3S)-3-((tert-butoxycarbonyl)amino)-2-hydroxy-3-phenylpropanoyl)oxy)-11-hydroxy-4-methoxy-4a,8,13,13-tetramethyl-5-oxo-3,4,4a,5,6,9,10,11,12,12a-decahydro-1H-7,11-methanocyclodeca[3,4]benzo[1,2-b]oxete-6,12b(2aH)-diyl diacetate
- Catalogue No.:PA 03 0011016 
- CAS : - 174674-15-8
- Molecular Formula : C46H57NO15 
- Molecular Weight : 863.95 
 
	
			                                   
																				(2R,4S,5R)-3-(Tert-butoxycarbonyl)-2-(4-methoxyphenyl)-4-phenyloxazolidine-5-carboxylic acid
(2R,4S,5R)-3-(Tert-butoxycarbonyl)-2-(4-methoxyphenyl)-4-phenyloxazolidine-5-carboxylic acid
- Catalogue No.:PA 03 0011017 
- CAS : - 155396-69-3
- Molecular Formula : C22H25NO6 
- Molecular Weight : 399.44 
 
	
			                                   
																				Sodium (4S,5R)-2-(2,4-dimethoxyphenyl)-3-((2-nitrophenyl)thio)-4-phenyloxazolidine-5-carboxylate
Sodium (4S,5R)-2-(2,4-dimethoxyphenyl)-3-((2-nitrophenyl)thio)-4-phenyloxazolidine-5-carboxylate
- Catalogue No.:PA 03 0011018 
- CAS : - 614748-67-3
- Molecular Formula : C24H21N2NaO7S 
- Molecular Weight : 504.49 
 
	
			                                   
																				3-(tert-Butyl) 5-methyl (2R,4S,5R)-2-(4-methoxyphenyl)-4-phenyloxazolidine-3,5-dicarboxylate
3-(tert-Butyl) 5-methyl (2R,4S,5R)-2-(4-methoxyphenyl)-4-phenyloxazolidine-3,5-dicarboxylate
- Catalogue No.:PA 03 0011019 
- CAS : - 153652-73-4
- Molecular Formula : C23H27NO6 
- Molecular Weight : 413.47 
 
	
			                                   
																				(9S,12bS)-12b-Acetoxy-9,11-dihydroxy-4,6-dimethoxy-4a,8,13,13-tetramethyl-5-oxo-2a,3,4,4a,5,6,9,10,11,12,12a,12b-dodecahydro-1H-7,11-methanocyclodeca[3,4]benzo[1,2-b]oxet-12-yl benzoate
(9S,12bS)-12b-Acetoxy-9,11-dihydroxy-4,6-dimethoxy-4a,8,13,13-tetramethyl-5-oxo-2a,3,4,4a,5,6,9,10,11,12,12a,12b-dodecahydro-1H-7,11-methanocyclodeca[3,4]benzo[1,2-b]oxet-12-yl benzoate
- Catalogue No.:PA 03 0011021 
- CAS : - NA
- Molecular Formula : C31H40O10 
- Molecular Weight : 572.65 
 
	
			                                   
																				(9S,12S,12aR,12bS)-12b-Acetoxy-9-(((2R)-3-((tert-butoxycarbonyl)amino)-2-hydroxy-3-phenylpropanoyl)oxy)-11-hydroxy-4,6-dimethoxy-4a,8,13,13-tetramethyl-5-oxo-2a,3,4,4a,5,6,9,10,11,12,12a,12b-dodecahydro-1H-7,11-methanocyclodeca[3,4]benzo[1,2-b]oxet-12-yl benzoate
(9S,12S,12aR,12bS)-12b-Acetoxy-9-(((2R)-3-((tert-butoxycarbonyl)amino)-2-hydroxy-3-phenylpropanoyl)oxy)-11-hydroxy-4,6-dimethoxy-4a,8,13,13-tetramethyl-5-oxo-2a,3,4,4a,5,6,9,10,11,12,12a,12b-dodecahydro-1H-7,11-methanocyclodeca[3,4]benzo[1,2-b]oxet-12-yl benzoate
- Catalogue No.:PA 03 0011022 
- CAS : - NA
- Molecular Formula : C45H57NO14 
- Molecular Weight : 835.94 
 
	
			                                   
																				(2S,4R,5S)-3-(tert-Butoxycarbonyl)-2-(4-methoxyphenyl)-4-phenyloxazolidine-5-carboxylic Acid
(2S,4R,5S)-3-(tert-Butoxycarbonyl)-2-(4-methoxyphenyl)-4-phenyloxazolidine-5-carboxylic Acid
- Catalogue No.:PA 03 0011025 
- CAS : - 870133-54-3
- Molecular Formula : C22H25NO6 
- Molecular Weight : 399.44 
 
	
			                                   
																				(2aR,4S,4aS,6R,9S,11S,12S,12aR,12bS)-12b-Acetoxy-6-(((2R,3S)-3-((tert-butoxycarbonyl)amino)-2-hydroxy-3-phenylpropanoyl)oxy)-9-((3-((tert-butoxycarbonyl)amino)-2-hydroxy-3-phenylpropanoyl)oxy)-11-hydroxy-4-methoxy-4a,8,13,13-tetramethyl-5-oxo-2a,3,4,4a,5,6,9,10,11,12,12a,12b-dodecahydro-1H-7,11-methanocyclodeca[3,4]benzo[1,2-b]oxet-12-yl Benzoate
(2aR,4S,4aS,6R,9S,11S,12S,12aR,12bS)-12b-Acetoxy-6-(((2R,3S)-3-((tert-butoxycarbonyl)amino)-2-hydroxy-3-phenylpropanoyl)oxy)-9-((3-((tert-butoxycarbonyl)amino)-2-hydroxy-3-phenylpropanoyl)oxy)-11-hydroxy-4-methoxy-4a,8,13,13-tetramethyl-5-oxo-2a,3,4,4a,5,6,9,10,11,12,12a,12b-dodecahydro-1H-7,11-methanocyclodeca[3,4]benzo[1,2-b]oxet-12-yl Benzoate
- Catalogue No.:PA 03 0011026 
- CAS : - NA
- Molecular Formula : C58H72N2O18 
- Molecular Weight : 1085.21 
 
	
			                                   
																				(2S,4S,5R)-3-(tert-Butoxycarbonyl)-2-(4-methoxyphenyl)-4-phenyloxazolidine-5-carboxylic Acid
(2S,4S,5R)-3-(tert-Butoxycarbonyl)-2-(4-methoxyphenyl)-4-phenyloxazolidine-5-carboxylic Acid
- Catalogue No.:PA 03 0011027 
- CAS : - 157580-39-7
- Molecular Formula : C22H25NO6 
- Molecular Weight : 399.44 
 
	
			                                   
																				Cabazitaxel - Impurity D
4-(Acetyloxy)-7α,13α-bis[[(2R,3S)-3-[(tert-butoxycarbonyl)amino]-2-hydroxy-3- phenylpropanoyl]oxy]-1-hydroxy-10β-methoxy-9-oxo-4α,5β-5,20-epoxytax-11-en-2α-yl Benzoate
- Catalogue No.:PA 03 0010040 
- CAS : - NA
- Molecular Formula : C58H72N2O18 
- Molecular Weight : 1085.21 
 
	
			                                   
																				Cabazitaxel - Impurity E
4-(Acetyloxy)-7β,13α-bis[[(2R,3S)-3-[(tert-butoxycarbonyl)amino]-2-hydroxy-3- phenylpropanoyl]oxy]-1-hydroxy-10β-methoxy-9-oxo-4α,5β-5,20-epoxytax-11-en-2α-yl Benzoate
- Catalogue No.:PA 03 0010050 
- CAS : - NA
- Molecular Formula : C58H72N2O18 
- Molecular Weight : 1085.21 
 
	
			                                   
																				Cabazitaxel - Impurity H
5-[4-(Acetyloxy)-2α-(benzoyloxy)-1-hydroxy-7β,10β-dimethoxy-9-oxo-4α,5β-5,20-epoxytax11-en-13α-yl] 3-tert-butyl (2S,4S,5R)-2-(4-methoxyphenyl)-4-phenyl-1,3-oxazolidine-3,5-dicarboxylate
- Catalogue No.:PA 03 0010080 
- CAS : - NA
- Molecular Formula : C53H63NO15 
- Molecular Weight : 954.08 
 
	
			                                   
																				Cabazitaxel - Impurity F
5-[4-(Acetyloxy)-2α-(benzoyloxy)-1-hydroxy-7β,10β-dimethoxy-9-oxo-4α,5β-5,20-epoxytax11-en-13α-yl] 3-tert-butyl (2R,4S,5S)-2-(4-methoxyphenyl)-4-phenyl-1,3-oxazolidine-3,5-dicarboxylate
- Catalogue No.:PA 03 0010060 
- CAS : - NA
- Molecular Formula : C53H63NO15 
- Molecular Weight : 954.08 
 
	
			                                   
																				(2aR,4S,4aS,6R,9S,11S,12S,12aR,12bS)-12b-acetoxy-11-hydroxy-4,6-dimethoxy-4a,8,13,13-tetramethyl-5-oxo-9-((triethylsilyl)oxy)-2a,3,4,4a,5,6,9,10,11,12,12a,12b-dodecahydro-1H-7,11-methanocyclodeca[3,4]benzo[1,2-b]oxet-12-yl benzoate
(2aR,4S,4aS,6R,9S,11S,12S,12aR,12bS)-12b-acetoxy-11-hydroxy-4,6-dimethoxy-4a,8,13,13-tetramethyl-5-oxo-9-((triethylsilyl)oxy)-2a,3,4,4a,5,6,9,10,11,12,12a,12b-dodecahydro-1H-7,11-methanocyclodeca[3,4]benzo[1,2-b]oxet-12-yl benzoate
- Catalogue No.:PA 03 0011028 
- CAS : - 1396601-24-3
- Molecular Formula : C37H54O10Si 
- Molecular Weight : 686.91 
 
	
			                                   
																				rel-(4R,5R)-3-(tert-Butoxycarbonyl)-2-(4-methoxyphenyl)-4-phenyloxazolidine-5-carboxylic Acid
rel-(4R,5R)-3-(tert-Butoxycarbonyl)-2-(4-methoxyphenyl)-4-phenyloxazolidine-5-carboxylic Acid
- Catalogue No.:PA 03 0011031 
- CAS : - 2983453-05-8
- Molecular Formula : C22H25NO6 
- Molecular Weight : 399.44 
 
	
			                                   
																				(2aR,4S,4aS,6R,9S,11S,12S,12aR,12bS)-12b-Acetoxy-9-(((2R,3S)-3-((tert-butoxycarbonyl)amino)-2-((tert-butoxycarbonyl)oxy)-3-phenylpropanoyl)oxy)-11-hydroxy-4,6-dimethoxy-4a,8,13,13-tetramethyl-5-oxo-2a,3,4,4a,5,6,9,10,11,12,12a,12b-dodecahydro-1H-7,11-methanocyclodeca[3,4]benzo[1,2-b]oxet-12-yl benzoate
(2aR,4S,4aS,6R,9S,11S,12S,12aR,12bS)-12b-Acetoxy-9-(((2R,3S)-3-((tert-butoxycarbonyl)amino)-2-((tert-butoxycarbonyl)oxy)-3-phenylpropanoyl)oxy)-11-hydroxy-4,6-dimethoxy-4a,8,13,13-tetramethyl-5-oxo-2a,3,4,4a,5,6,9,10,11,12,12a,12b-dodecahydro-1H-7,11-methanocyclodeca[3,4]benzo[1,2-b]oxet-12-yl benzoate
- Catalogue No.:PA 03 0011033 
- CAS : - NA
- Molecular Formula : C50H65NO16 
- Molecular Weight : 936.06 
 
	
			                                   
																				5-((2aR,4S,4aS,6R,9S,11S,12S,12aR,12bS)-12b-Acetoxy-12-(benzoyloxy)-11-hydroxy-4,6-dimethoxy-4a,8,13,13-tetramethyl-5-oxo-2a,3,4,4a,5,6,9,10,11,12,12a,12b-dodecahydro-1H-7,11-methanocyclodeca[3,4]benzo[1,2-b]oxet-9-yl) 3-(tert-butyl) (4R,5S)-2,2-dimethyl-4-phenyloxazolidine-3,5-dicarboxylate
5-((2aR,4S,4aS,6R,9S,11S,12S,12aR,12bS)-12b-Acetoxy-12-(benzoyloxy)-11-hydroxy-4,6-dimethoxy-4a,8,13,13-tetramethyl-5-oxo-2a,3,4,4a,5,6,9,10,11,12,12a,12b-dodecahydro-1H-7,11-methanocyclodeca[3,4]benzo[1,2-b]oxet-9-yl) 3-(tert-butyl) (4R,5S)-2,2-dimethyl-4-phenyloxazolidine-3,5-dicarboxylate
- Catalogue No.:PA 03 0011034 
- CAS : - NA
- Molecular Formula : C48H61NO14 
- Molecular Weight : 876.01 
 
	
			                                   
																				Tert-butyl (4R,5R)-5-(cyclohexyl(cyclohexylcarbamoyl)carbamoyl)-2,2-dimethyl-4-phenyloxazolidine-3-carboxylate
Tert-butyl (4R,5R)-5-(cyclohexyl(cyclohexylcarbamoyl)carbamoyl)-2,2-dimethyl-4-phenyloxazolidine-3-carboxylate
- Catalogue No.:PA 03 0011035 
- CAS : - NA
- Molecular Formula : C30H45N3O5 
- Molecular Weight : 527.71 

 
																				 
																				 
																				 
																				 
																				 
																				 
																				 
																				 
																				 
																				 
																				 
																				 
																				 
																				 
																				 
																				 
																				 
																				 
																				 
																				 
																				 
																				 
																				 
																				 
																				 
																				 
																				 
																				 
																				 
																				 
																				 
																				 
																				 
																				 
																				 
																				 
																				 
 
 
 
