capecitabine and its Impurities
Capecitabine is an orally-administered chemotherapeutic agent. It is used to treat breast, colon, or rectal cancer. It works by slowing or stopping the growth of cancer cells. Reference standards of Capecitabine API, and its pharmacopeial, non pharmacopeial impurities, and stable isotopes are listed below


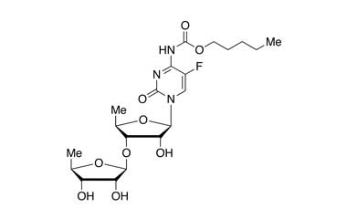
5'Deoxy-5-fluoro-N4-(2-methyl-1-butyloxycarbonyl)cytidine + 5'-Deoxy-5-fluoro-N4-(3-methyl-1-butyloxycarbonyl)cytidine
5'Deoxy-5-fluoro-N4-(2-methyl-1-butyloxycarbonyl)cytidine + 5'-Deoxy-5-fluoro-N4-(3-methyl-1-butyloxycarbonyl)cytidine
Catalogue No.:PA 30 09550
CAS :
NA
Molecular Formula : C30H44F2N6O12
Molecular Weight : 718.7


Capecitabine Related Compound C (2',3'-O-carbonyl-5'-deoxy-5-fluoro-N4-(pentyloxycarbonyl)cytidine) (1090739)
Capecitabine Related Compound C (2',3'-O-carbonyl-5'-deoxy-5-fluoro-N4-(pentyloxycarbonyl)cytidine) (1090739)
Catalogue No.:PA USP1090739
CAS :
NA
Molecular Formula : NA
Molecular Weight : NA


Pentyl 2-(1-((2R,3R,4S,5R)-4-(((2S,3S,4S,5R)-3,4-dimethoxy-5-methyltetrahydrofuran-2-yl)oxy)-3-hydroxy-5-methyltetrahydrofuran-2-yl)-5-fluoro-2-oxo-1,2-dihydropyrimidin-4-yl)acetate
Pentyl 2-(1-((2R,3R,4S,5R)-4-(((2S,3S,4S,5R)-3,4-dimethoxy-5-methyltetrahydrofuran-2-yl)oxy)-3-hydroxy-5-methyltetrahydrofuran-2-yl)-5-fluoro-2-oxo-1,2-dihydropyrimidin-4-yl)acetate
Catalogue No.:PAI 03 021040
CAS :
NA
Molecular Formula : C23H35FN2O9
Molecular Weight : 502.54


(2S,3R,4R,5R)-2-(((2R,3R,4R,5R)-4-Acetoxy-5-(4-amino-5-fluoro-2-oxopyrimidin-1(2H)-yl)-2-methyltetrahydrofuran-3-yl)oxy)-5-methyltetrahydrofuran-3,4-diyl Diacetate
(2S,3R,4R,5R)-2-(((2R,3R,4R,5R)-4-Acetoxy-5-(4-amino-5-fluoro-2-oxopyrimidin-1(2H)-yl)-2-methyltetrahydrofuran-3-yl)oxy)-5-methyltetrahydrofuran-3,4-diyl Diacetate
Catalogue No.:PA 30 09580
CAS :
NA
Molecular Formula : C20H26FN3O10
Molecular Weight : 487.44


(2S,3R,4R,5R)-2-(((2R,3R,4R,5R)-4-Acetoxy-2-(4-amino-5-fluoro-2-oxopyrimidin-1(2H)-yl)-5-methyltetrahydrofuran-3-yl)oxy)-5-methyltetrahydrofuran-3,4-diyl Diacetate
(2S,3R,4R,5R)-2-(((2R,3R,4R,5R)-4-Acetoxy-2-(4-amino-5-fluoro-2-oxopyrimidin-1(2H)-yl)-5-methyltetrahydrofuran-3-yl)oxy)-5-methyltetrahydrofuran-3,4-diyl Diacetate
Catalogue No.:PA 30 09590
CAS :
NA
Molecular Formula : C20H26FN3O10
Molecular Weight : 487.44


(2R,3R,4R,5R)-2-(((2R,3R,4R,5R)-4-Acetoxy-5-(4-amino-5-fluoro-2-oxopyrimidin-1(2H)-yl)-2-methyltetrahydrofuran-3-yl)oxy)-5-methyltetrahydrofuran-3,4-diyl Diacetate
(2R,3R,4R,5R)-2-(((2R,3R,4R,5R)-4-Acetoxy-5-(4-amino-5-fluoro-2-oxopyrimidin-1(2H)-yl)-2-methyltetrahydrofuran-3-yl)oxy)-5-methyltetrahydrofuran-3,4-diyl Diacetate
Catalogue No.:PA 30 09600
CAS :
NA
Molecular Formula : C20H26FN3O10
Molecular Weight : 487.44


(3R,4R,5R)-2-(((2R,3R,4R,5R)-2-(5-Fluoro-2-oxo-4-(((pentyloxy)carbonyl)amino)pyrimidin-1(2H)-yl)-4-hydroxy-5-methyltetrahydrofuran-3-yl)oxy)-5-methyltetrahydrofuran-3,4-diyl Diacetate
(3R,4R,5R)-2-(((2R,3R,4R,5R)-2-(5-Fluoro-2-oxo-4-(((pentyloxy)carbonyl)amino)pyrimidin-1(2H)-yl)-4-hydroxy-5-methyltetrahydrofuran-3-yl)oxy)-5-methyltetrahydrofuran-3,4-diyl Diacetate
Catalogue No.:PAI 03 021050
CAS :
NA
Molecular Formula : C24H34FN3O11
Molecular Weight : 559.54


(3R,4R,5R)-2-(((2R,3S,4R,5R)-5-(5-Fluoro-2-oxo-4-(((pentyloxy)carbonyl)amino)pyrimidin-1(2H)-yl)-4-hydroxy-2-methyltetrahydrofuran-3-yl)oxy)-5-methyltetrahydrofuran-3,4-diyl Diacetate
(3R,4R,5R)-2-(((2R,3S,4R,5R)-5-(5-Fluoro-2-oxo-4-(((pentyloxy)carbonyl)amino)pyrimidin-1(2H)-yl)-4-hydroxy-2-methyltetrahydrofuran-3-yl)oxy)-5-methyltetrahydrofuran-3,4-diyl Diacetate
Catalogue No.:PAI 03 021060
CAS :
NA
Molecular Formula : C24H34FN3O11
Molecular Weight : 559.54


Pentyl (1-((2R,3R,4S,5R)-4-((tert-butyldimethylsilyl)oxy)-3-hydroxy-5-methyltetrahydrofuran-2-yl)-5-fluoro-2-oxo-1,2-dihydropyrimidin-4-yl)carbamate
Pentyl (1-((2R,3R,4S,5R)-4-((tert-butyldimethylsilyl)oxy)-3-hydroxy-5-methyltetrahydrofuran-2-yl)-5-fluoro-2-oxo-1,2-dihydropyrimidin-4-yl)carbamate
Catalogue No.:PAI 03 021081
CAS :
NA
Molecular Formula : C21H36FN3O6Si
Molecular Weight : 473.62


Pentyl (1-((2R,3R,4R,5R)-3-((tert-butyldimethylsilyl)oxy)-4-hydroxy-5-methyltetrahydrofuran-2-yl)-5-fluoro-2-oxo-1,2-dihydropyrimidin-4-yl)carbamate
Pentyl (1-((2R,3R,4R,5R)-3-((tert-butyldimethylsilyl)oxy)-4-hydroxy-5-methyltetrahydrofuran-2-yl)-5-fluoro-2-oxo-1,2-dihydropyrimidin-4-yl)carbamate
Catalogue No.:PAI 03 021082
CAS :
1446320-52-0
Molecular Formula : C21H36FN3O6Si
Molecular Weight : 473.62


(3R,4R,5R)-2-(((2R,3R,4R,5R)-4-((tert-Butyldimethylsilyl)oxy)-2-(5-fluoro-2-oxo-4-(((pentyloxy)carbonyl)amino)pyrimidin-1(2H)-yl)-5-methyltetrahydrofuran-3-yl)oxy)-5-methyltetrahydrofuran-3,4-diyl Diacetate
(3R,4R,5R)-2-(((2R,3R,4R,5R)-4-((tert-Butyldimethylsilyl)oxy)-2-(5-fluoro-2-oxo-4-(((pentyloxy)carbonyl)amino)pyrimidin-1(2H)-yl)-5-methyltetrahydrofuran-3-yl)oxy)-5-methyltetrahydrofuran-3,4-diyl Diacetate
Catalogue No.:PAI 03 021083
CAS :
NA
Molecular Formula : C30H48FN3O11Si
Molecular Weight : 673.81


(3R,4R,5R)-2-(((2R,3R,4R,5R)-4-((tert-Butyldimethylsilyl)oxy)-5-(5-fluoro-2-oxo-4-(((pentyloxy)carbonyl)amino)pyrimidin-1(2H)-yl)-2-methyltetrahydrofuran-3-yl)oxy)-5-methyltetrahydrofuran-3,4-diyl Diacetate
(3R,4R,5R)-2-(((2R,3R,4R,5R)-4-((tert-Butyldimethylsilyl)oxy)-5-(5-fluoro-2-oxo-4-(((pentyloxy)carbonyl)amino)pyrimidin-1(2H)-yl)-2-methyltetrahydrofuran-3-yl)oxy)-5-methyltetrahydrofuran-3,4-diyl Diacetate
Catalogue No.:PAI 03 021084
CAS :
NA
Molecular Formula : C30H48FN3O11Si
Molecular Weight : 673.81


(2R,3S,4R,5R)-5-(5-Fluoro-2-oxo-4-(((pentyloxy)carbonyl)amino)pyrimidin-1(2H)-yl)-4-hydroxy-2-methyltetrahydrofuran-3-yl Acetate
(2R,3S,4R,5R)-5-(5-Fluoro-2-oxo-4-(((pentyloxy)carbonyl)amino)pyrimidin-1(2H)-yl)-4-hydroxy-2-methyltetrahydrofuran-3-yl Acetate
Catalogue No.:PAI 03 021085
CAS :
1262133-70-9
Molecular Formula : C17H24FN3O7
Molecular Weight : 401.39


(2R,3R,4R,5R)-2-(5-Fluoro-2-oxo-4-(((pentyloxy)carbonyl)amino)pyrimidin-1(2H)-yl)-4-hydroxy-5-methyltetrahydrofuran-3-yl Acetate
(2R,3R,4R,5R)-2-(5-Fluoro-2-oxo-4-(((pentyloxy)carbonyl)amino)pyrimidin-1(2H)-yl)-4-hydroxy-5-methyltetrahydrofuran-3-yl Acetate
Catalogue No.:PAI 03 021086
CAS :
1262133-69-6
Molecular Formula : C17H24FN3O7
Molecular Weight : 401.39


Methyl (1-((2R,3R,4S,5R)-3,4-dihydroxy-5-methyltetrahydrofuran-2-yl)-5-fluoro-2-oxo-1,2-dihydropyrimidin-4-yl)carbamate
Methyl (1-((2R,3R,4S,5R)-3,4-dihydroxy-5-methyltetrahydrofuran-2-yl)-5-fluoro-2-oxo-1,2-dihydropyrimidin-4-yl)carbamate
Catalogue No.:PA 30 0091003
CAS :
296248-49-2
Molecular Formula : C11H14FN3O6
Molecular Weight : 303.25


Pentyl (1-((2R,3R,4S,5R)-3,4-dihydroxy-5-methyltetrahydrofuran-2-yl)-2-oxo-1,2-dihydropyrimidin-4-yl)carbamate
Pentyl (1-((2R,3R,4S,5R)-3,4-dihydroxy-5-methyltetrahydrofuran-2-yl)-2-oxo-1,2-dihydropyrimidin-4-yl)carbamate
Catalogue No.:PA 30 0091004
CAS :
216450-02-1
Molecular Formula : C15H23N3O6
Molecular Weight : 341.36


Pentyl (1-((2R,3R,4S,5R)-3,4-dihydroxy-5-(hydroxymethyl)tetrahydrofuran-2-yl)-5-fluoro-2-oxo-1,2-dihydropyrimidin-4-yl)carbamate
Pentyl (1-((2R,3R,4S,5R)-3,4-dihydroxy-5-(hydroxymethyl)tetrahydrofuran-2-yl)-5-fluoro-2-oxo-1,2-dihydropyrimidin-4-yl)carbamate
Catalogue No.:PA 30 0091010
CAS :
396684-42-7
Molecular Formula : C15H22FN3O7
Molecular Weight : 375.35


(2S,3S,4S,5S)-2-(5-Fluoro-4-((methoxycarbonyl)amino)-2-oxopyrimidin-1(2H)-yl)-5-methyltetrahydrofuran-3,4-diyl diacetate
(2S,3S,4S,5S)-2-(5-Fluoro-4-((methoxycarbonyl)amino)-2-oxopyrimidin-1(2H)-yl)-5-methyltetrahydrofuran-3,4-diyl diacetate
Catalogue No.:PA 30 0091014
CAS :
NA
Molecular Formula : C15H18FN3O8
Molecular Weight : 387.32