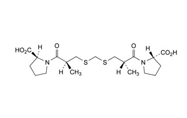
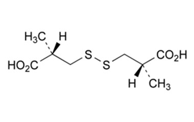
captopril and its Impurities
Captopril main uses are based on its vasodilation and inhibition of some renal function activities. It is a potent, competitive inhibitor of angiotensin-converting enzyme, the enzyme responsible for the conversion of angiotensin I to angiotensin II. Reference standards of Captopril API, and its pharmacopeial, non pharmacopeial impurities, and stable isotopes are listed below

