cefixime and its Impurities
Cefixime is an antibiotic useful to treat a number of bacterial infections. It is highly stable in the presence of beta-lactamase enzymes.. Reference standards of Cefixime API, and its pharmacopeial, non pharmacopeial impurities, and stable isotopes are listed below
	
			                                  
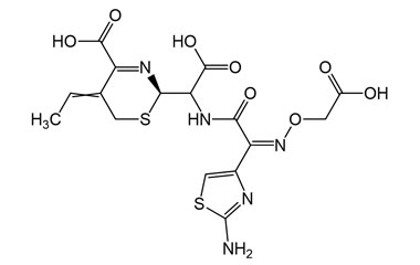
																				Cefixime - Impurity B
2-[[[(Z)-1-(2-Aminothiazol-4-yl)-2-[[[(2R,5RS)-5-methyl-7-oxo-1,2,5,7-tetrahydro-4H-furo[3,4-d][1,3]thiazin-2-yl]methyl]amino]-2-oxoethylidene] amino]oxy]acetic Acid
Catalogue No.:PA 03 24020
CAS :
1335475-19-8
Molecular Formula : C15H17N5O6S2
Molecular Weight : 427.46
	
			                                  
																				Cefixime Trihydrate - Impurity G
(6R,7R)-7-[(2Z)-2-(2-Amino-1,3-thiazol-4-yl)-2-[(2-methoxy-2-oxoethoxy)imino]acetamido]-3-ethenyl-8-oxo-5-thia-1-azabicyclo[4.2.0]oct-2-ene-2-carboxylic Acid
Catalogue No.:PA 03 24510
CAS :
88621-01-6
Molecular Formula : C17H17N5O7S2
Molecular Weight : 467.47
	
			                                  
																				Cefixime Trihydrate - Impurity H
(5Ξ,6R,7R)-7-[(2Z)-2-(2-Amino-1,3-thiazol-4-yl)-2-[(carboxymethoxy)imino]acetamido]-3-ethenyl-5,8-dioxo-5λ4-thia-1-azabicyclo[4.2.0]oct-2-ene-2-carboxylic Acid
Catalogue No.:PA 03 24520
CAS :
1335555-87-7
Molecular Formula : C16H15N5O8S2
Molecular Weight : 469.45
	
			                                  
																				(6R,7R)-7-((E)-2-(2-((E)-2-(2-Aminothiazol-4-yl)-2-((carboxymethoxy)imino)acetamido)thiazol-4-yl)-2-((carboxymethoxy)imino)acetamido)-8-oxo-3-vinyl-5-thia-1-azabicyclo[4.2.0]oct-2-ene-2-carboxylic Acid
(6R,7R)-7-((E)-2-(2-((E)-2-(2-Aminothiazol-4-yl)-2-((carboxymethoxy)imino)acetamido)thiazol-4-yl)-2-((carboxymethoxy)imino)acetamido)-8-oxo-3-vinyl-5-thia-1-azabicyclo[4.2.0]oct-2-ene-2-carboxylic Acid
Catalogue No.:PA 03 24560
CAS :
NA
Molecular Formula : C23H20N8O11S3
Molecular Weight : 680.65
	
			                                  
																				Methyl (E)-2-(((1-(2-aminothiazol-4-yl)-2-(benzo[d]thiazol-2-ylthio)-2-oxoethylidene)amino)oxy)acetate
Methyl (E)-2-(((1-(2-aminothiazol-4-yl)-2-(benzo[d]thiazol-2-ylthio)-2-oxoethylidene)amino)oxy)acetate
Catalogue No.:PAI 03 004020
CAS :
NA
Molecular Formula : C15H12N4O4S3
Molecular Weight : 408.47
	
			                                  
																				(6R,7R)-7-((E)-2-(2-Aminothiazol-4-yl)-2-((2-methoxy-2-oxoethoxy)imino)acetamido)-8-oxo-3-vinyl-5-thia-1-azabicyclo[4.2.0]oct-2-ene-2-carboxylic Acid
(6R,7R)-7-((E)-2-(2-Aminothiazol-4-yl)-2-((2-methoxy-2-oxoethoxy)imino)acetamido)-8-oxo-3-vinyl-5-thia-1-azabicyclo[4.2.0]oct-2-ene-2-carboxylic Acid
Catalogue No.:PAI 03 004030
CAS :
NA
Molecular Formula : C17H17N5O7S2
Molecular Weight : 467.47
	
			                                  
																				(6R,7R)-7-(2-(2-Aminothiazol-4-yl)-2-((2-methoxy-2-oxoethoxy)imino)acetamido)-3-methyl-8-oxo-5-thia-1-azabicyclo[4.2.0]oct-2-ene-2-carboxylic Acid
(6R,7R)-7-(2-(2-Aminothiazol-4-yl)-2-((2-methoxy-2-oxoethoxy)imino)acetamido)-3-methyl-8-oxo-5-thia-1-azabicyclo[4.2.0]oct-2-ene-2-carboxylic Acid
Catalogue No.:PAI 03 004050
CAS :
NA
Molecular Formula : C16H17N5O7S2
Molecular Weight : 455.47
	
			                                  
																				(6R,7R)-7-Amino-3-ethenyl-8-oxo-5-thia-1-azabicyclo[4.2.0]oct-2-ene-2-carboxylic Acid Diphenylmethyl Ester Hydrochloride
(6R,7R)-7-Amino-3-ethenyl-8-oxo-5-thia-1-azabicyclo[4.2.0]oct-2-ene-2-carboxylic Acid Diphenylmethyl Ester Hydrochloride
Catalogue No.:PA 30 86540
CAS :
79349-67-0
Molecular Formula : C22H21ClN2O3S
Molecular Weight : 428.93
	
			                                  
																				Cefixime Trihydrate - Impurity K
(6R,7R)-7-[(2Z)-2-[2-[(2Z)-2-(2-Amino-1,3-thiazol-4-yl)-2-[(carboxymethoxy)imino]acetamido]-1,3-thiazol-4-yl]-2[(carboxymethoxy)imino]acetamido]-3-ethenyl-8-oxo-5-thia-1-azabicyclo[4.2.0]oct-2-ene-2-carboxylic Acid
Catalogue No.:PA 03 24570
CAS :
NA
Molecular Formula : C23H20N8O11S3
Molecular Weight : 680.64
	
			                                  
																				2-((((Z)-1-(2-Aminothiazol-4-yl)-2-(((5aR,6R)-3-methyl-1,7-dioxo-1,4,5a,6-tetrahydro-3H,7H-azeto[2,1-b]furo[3,4-d][1,3]thiazin-6-yl)amino)-2-oxoethylidene)amino)oxy)acetic Acid
2-((((Z)-1-(2-Aminothiazol-4-yl)-2-(((5aR,6R)-3-methyl-1,7-dioxo-1,4,5a,6-tetrahydro-3H,7H-azeto[2,1-b]furo[3,4-d][1,3]thiazin-6-yl)amino)-2-oxoethylidene)amino)oxy)acetic Acid
Catalogue No.:PA 03 24580
CAS :
NA
Molecular Formula : C16H15N5O7S2
Molecular Weight : 453.44
	
			                                  
																				(2R)-2-((Z)-2-(2-Aminothiazol-4-yl)-2-((carboxymethoxy)imino)acetamido)-2-((2R)-5-methyl-7-oxo-1,2,5,7-tetrahydro-4H-furo[3,4-d][1,3]thiazin-2-yl)acetic Acid
(2R)-2-((Z)-2-(2-Aminothiazol-4-yl)-2-((carboxymethoxy)imino)acetamido)-2-((2R)-5-methyl-7-oxo-1,2,5,7-tetrahydro-4H-furo[3,4-d][1,3]thiazin-2-yl)acetic Acid
Catalogue No.:PA 03 24590
CAS :
NA
Molecular Formula : C16H17N5O8S2
Molecular Weight : 471.46
	
			                                  
																				(2R,Z)-2-((Z)-4-(2-Aminothiazol-4-yl)-1-carboxy-3,8-dioxo-6,9-dioxa-2,5-diazaundec-4-en-1-yl)-5-ethylidene-5,6-dihydro-2H-1,3-thiazine-4-carboxylic Acid
(2R,Z)-2-((Z)-4-(2-Aminothiazol-4-yl)-1-carboxy-3,8-dioxo-6,9-dioxa-2,5-diazaundec-4-en-1-yl)-5-ethylidene-5,6-dihydro-2H-1,3-thiazine-4-carboxylic Acid
Catalogue No.:PA 30 86550
CAS :
NA
Molecular Formula : C18H21N5O8S2
Molecular Weight : 499.51
	
			                                  
																				(R,Z)-2-(((Z)-2-(2-Aminothiazol-4-yl)-2-((carboxymethoxy)imino)acetamido)methyl)-5-ethylidene-5,6-dihydro-2H-1,3-thiazine-4-carboxylic Acid
(R,Z)-2-(((Z)-2-(2-Aminothiazol-4-yl)-2-((carboxymethoxy)imino)acetamido)methyl)-5-ethylidene-5,6-dihydro-2H-1,3-thiazine-4-carboxylic Acid
Catalogue No.:PA 30 86560
CAS :
NA
Molecular Formula : C15H17N5O6S2
Molecular Weight : 427.45
	
			                                  
																				(Z)-5-(2-Aminothiazol-4-yl)-2-(5-methyl-7-oxo-1,2,5,7-tetrahydro-4H-furo[3,4-d][1,3]thiazin-2-yl)-4,9-dioxo-7,10-dioxa-3,6-diazadodec-5-enoic Acid
(Z)-5-(2-Aminothiazol-4-yl)-2-(5-methyl-7-oxo-1,2,5,7-tetrahydro-4H-furo[3,4-d][1,3]thiazin-2-yl)-4,9-dioxo-7,10-dioxa-3,6-diazadodec-5-enoic Acid
Catalogue No.:PA 30 86570
CAS :
NA
Molecular Formula : C18H21N5O8S2
Molecular Weight : 499.51
	
			                                  
																				(Z)-7-(2-Aminothiazol-4-yl)-10-(5-methyl-7-oxo-1,2,5,7-tetrahydro-4H-furo[3,4-d][1,3]thiazin-2-yl)-3,8-dioxo-2,5-dioxa-6,9-diazaundec-6-en-11-oic Acid
(Z)-7-(2-Aminothiazol-4-yl)-10-(5-methyl-7-oxo-1,2,5,7-tetrahydro-4H-furo[3,4-d][1,3]thiazin-2-yl)-3,8-dioxo-2,5-dioxa-6,9-diazaundec-6-en-11-oic Acid
Catalogue No.:PA 30 86580
CAS :
NA
Molecular Formula : C17H19N5O8S2
Molecular Weight : 485.49
	
			                                  
																				Methyl (Z)-2-(((1-(2-aminothiazol-4-yl)-2-(((5-methyl-7-oxo-1,2,5,7-tetrahydro-4H-furo[3,4-d][1,3]thiazin-2-yl)methyl)amino)-2-oxoethylidene)amino)oxy)acetate
Methyl (Z)-2-(((1-(2-aminothiazol-4-yl)-2-(((5-methyl-7-oxo-1,2,5,7-tetrahydro-4H-furo[3,4-d][1,3]thiazin-2-yl)methyl)amino)-2-oxoethylidene)amino)oxy)acetate
Catalogue No.:PA 30 86590
CAS :
NA
Molecular Formula : C16H19N5O6S2
Molecular Weight : 441.48
	
			                                  
																				2-((((E)-1-(2-Aminothiazol-4-yl)-2-((((2R)-5-methyl-7-oxo-1,2,5,7-tetrahydro-4H-furo[3,4-d][1,3]thiazin-2-yl)methyl)amino)-2-oxoethylidene)amino)oxy)acetic Acid
2-((((E)-1-(2-Aminothiazol-4-yl)-2-((((2R)-5-methyl-7-oxo-1,2,5,7-tetrahydro-4H-furo[3,4-d][1,3]thiazin-2-yl)methyl)amino)-2-oxoethylidene)amino)oxy)acetic Acid
Catalogue No.:PA 30 86600
CAS :
NA
Molecular Formula : C15H17N5O6S2
Molecular Weight : 427.45
	
			                                  
																				2-((((Z)-1-(2-Aminothiazol-4-yl)-2-(((6R,7R)-2-(tert-butoxycarbonyl)-8-oxo-3-vinyl-5-thia-1-azabicyclo[4.2.0]oct-2-en-7-yl)amino)-2-oxoethylidene)amino)oxy)acetic Acid
2-((((Z)-1-(2-Aminothiazol-4-yl)-2-(((6R,7R)-2-(tert-butoxycarbonyl)-8-oxo-3-vinyl-5-thia-1-azabicyclo[4.2.0]oct-2-en-7-yl)amino)-2-oxoethylidene)amino)oxy)acetic Acid
Catalogue No.:PA 30 0861000
CAS :
NA
Molecular Formula : C20H23N5O7S2
Molecular Weight : 509.55
	
			                                  
																				Tert-butyl (4-((Z)-1-(hydroxyimino)-2-((((2R,5R)-5-methyl-7-oxo-1,2,5,7-tetrahydro-4H-furo[3,4-d][1,3]thiazin-2-yl)methyl)amino)-2-oxoethyl)thiazol-2-yl)carbamate
Tert-butyl (4-((Z)-1-(hydroxyimino)-2-((((2R,5R)-5-methyl-7-oxo-1,2,5,7-tetrahydro-4H-furo[3,4-d][1,3]thiazin-2-yl)methyl)amino)-2-oxoethyl)thiazol-2-yl)carbamate
Catalogue No.:PAI 03 004051
CAS :
NA
Molecular Formula : C18H23N5O6S2
Molecular Weight : 469.53
	
			                                  
																				2-((((Z)-1-(2-((Tert-butoxycarbonyl)amino)thiazol-4-yl)-2-((((2R,5R)-5-methyl-7-oxo-1,2,5,7-tetrahydro-4H-furo[3,4-d][1,3]thiazin-2-yl)methyl)amino)-2-oxoethylidene)amino)oxy)acetic acid
2-((((Z)-1-(2-((Tert-butoxycarbonyl)amino)thiazol-4-yl)-2-((((2R,5R)-5-methyl-7-oxo-1,2,5,7-tetrahydro-4H-furo[3,4-d][1,3]thiazin-2-yl)methyl)amino)-2-oxoethylidene)amino)oxy)acetic acid
Catalogue No.:PAI 03 004052
CAS :
NA
Molecular Formula : C20H25N5O8S2
Molecular Weight : 527.57
	
			                                  
																				(E)-2-(((1-(2-Aminothiazol-4-yl)-2-((3-Methyl-1,7-dioxo-1,4,5a,6-tetrahydro-3H,7H-azeto[2,1-b]furo[3,4-d][1,3]thiazin-6-yl)Amino)-2-Oxoethylidene)Amino)oxy)acetic Acid
(E)-2-(((1-(2-Aminothiazol-4-yl)-2-((3-Methyl-1,7-dioxo-1,4,5a,6-tetrahydro-3H,7H-azeto[2,1-b]furo[3,4-d][1,3]thiazin-6-yl)Amino)-2-Oxoethylidene)Amino)oxy)acetic Acid
Catalogue No.:PA 30 0861001
CAS :
108636-27-7
Molecular Formula : C16H15N5O7S2
Molecular Weight : 453.44
	
			                                  
																				2-((((Z)-1-(2-Aminothiazol-4-yl)-2-(((6aR,7R)-1,8-Dioxo-1,3,4,5,6a,7-Hexahydro-8H-azeto[2,1-b]pyrano[3,4-d][1,3]thiazin-7-yl)Amino)-2-Oxoethylidene)Amino)oxy)acetic Acid
2-((((Z)-1-(2-Aminothiazol-4-yl)-2-(((6aR,7R)-1,8-Dioxo-1,3,4,5,6a,7-Hexahydro-8H-azeto[2,1-b]pyrano[3,4-d][1,3]thiazin-7-yl)Amino)-2-Oxoethylidene)Amino)oxy)acetic Acid
Catalogue No.:PA 30 0861002
CAS :
128012-77-1
Molecular Formula : C16H15N5O7S2
Molecular Weight : 453.44
	
			                                  
																				(Z)-7-(2-((Carboxymethoxy)imino)-2-(2-((3,4,5-trihydroxy-6-(hydroxymethyl)tetrahydro-2H-pyran-2-yl)amino)thiazol-4-yl)acetamido)-8-oxo-3-vinyl-5-thia-1-azabicyclo[4.2.0]oct-2-ene-2-carboxylic Acid
(Z)-7-(2-((Carboxymethoxy)imino)-2-(2-((3,4,5-trihydroxy-6-(hydroxymethyl)tetrahydro-2H-pyran-2-yl)amino)thiazol-4-yl)acetamido)-8-oxo-3-vinyl-5-thia-1-azabicyclo[4.2.0]oct-2-ene-2-carboxylic Acid
Catalogue No.:PA 30 0861005
CAS :
NA
Molecular Formula : C22H25N5O12S2
Molecular Weight : 615.59
	
			                                  
																				Methyl (Z)-2-(((1-(2-aminothiazol-4-yl)-2-(benzo[d]thiazol-2-ylthio)-2-oxoethylidene)amino)oxy)acetate
Methyl (Z)-2-(((1-(2-aminothiazol-4-yl)-2-(benzo[d]thiazol-2-ylthio)-2-oxoethylidene)amino)oxy)acetate
Catalogue No.:PA 30 0861006
CAS :
246035-38-1
Molecular Formula : C15H12N4O4S3
Molecular Weight : 408.47
	
			                                  
																				Ethyl (Z)-2-(((1-(2-aminothiazol-4-yl)-2-(benzo[d]thiazol-2-ylthio)-2-oxoethylidene)amino)oxy)acetate
Ethyl (Z)-2-(((1-(2-aminothiazol-4-yl)-2-(benzo[d]thiazol-2-ylthio)-2-oxoethylidene)amino)oxy)acetate
Catalogue No.:PA 30 0861007
CAS :
2597158-04-6
Molecular Formula : C16H14N4O4S3
Molecular Weight : 422.49
	
			                                  
																				2-((Z)-2-(2-Aminothiazol-4-yl)-2-((carboxymethoxy)imino)acetamido)-2-((2R)-5-methyl-1-nitroso-7-oxo-1,2,5,7-tetrahydro-4H-furo[3,4-d][1,3]thiazin-2-yl)acetic Acid
2-((Z)-2-(2-Aminothiazol-4-yl)-2-((carboxymethoxy)imino)acetamido)-2-((2R)-5-methyl-1-nitroso-7-oxo-1,2,5,7-tetrahydro-4H-furo[3,4-d][1,3]thiazin-2-yl)acetic Acid
Catalogue No.:PA 30 0861008
CAS :
NA
Molecular Formula : C16H16N6O9S2
Molecular Weight : 500.46
	
			                                  
																				(6R,7R)-7-((Z)-2-((Carboxymethoxy)imino)-2-(2-imino-2,3-dihydrothiazol-4-yl)-N-nitrosoacetamido)-8-oxo-3-vinyl-5-thia-1-azabicyclo[4.2.0]oct-2-ene-2-carboxylic Acid
(6R,7R)-7-((Z)-2-((Carboxymethoxy)imino)-2-(2-imino-2,3-dihydrothiazol-4-yl)-N-nitrosoacetamido)-8-oxo-3-vinyl-5-thia-1-azabicyclo[4.2.0]oct-2-ene-2-carboxylic Acid
Catalogue No.:PA 30 0861009
CAS :
NA
Molecular Formula : C16H14N6O8S2
Molecular Weight : 482.44
	
			                                  
																				(6R,7R)-7-((Z)-2-((Carboxymethoxy)imino)-2-(2-imino-3-nitroso-2,3-dihydrothiazol-4-yl)acetamido)-8-oxo-3-vinyl-5-thia-1-azabicyclo[4.2.0]oct-2-ene-2-carboxylic Acid
(6R,7R)-7-((Z)-2-((Carboxymethoxy)imino)-2-(2-imino-3-nitroso-2,3-dihydrothiazol-4-yl)acetamido)-8-oxo-3-vinyl-5-thia-1-azabicyclo[4.2.0]oct-2-ene-2-carboxylic Acid
Catalogue No.:PA 30 0861010
CAS :
NA
Molecular Formula : C16H14N6O8S2
Molecular Weight : 482.44
	
			                                  
																				2-((((Z)-1-(2-Aminothiazol-4-yl)-2-((((2R,5R)-5-methyl-1-nitroso-7-oxo-1,2,5,7-tetrahydro-4H-furo[3,4-d][1,3]thiazin-2-yl)methyl)amino)-2-oxoethylidene)amino)oxy)acetic Acid
2-((((Z)-1-(2-Aminothiazol-4-yl)-2-((((2R,5R)-5-methyl-1-nitroso-7-oxo-1,2,5,7-tetrahydro-4H-furo[3,4-d][1,3]thiazin-2-yl)methyl)amino)-2-oxoethylidene)amino)oxy)acetic Acid
Catalogue No.:PA 30 0861011
CAS :
NA
Molecular Formula : C15H16N6O7S2
Molecular Weight : 456.45
	
			                                  
																				2-((((Z)-1-(2-Aminothiazol-4-yl)-2-(((2R,2aR)-6-hydroxy-1,7-dioxo-2,2a,4,5,6,7-hexahydro-1H-azeto[2,1-b]cyclopenta[d][1,3]thiazin-2-yl)amino)-2-oxoethylidene)amino)oxy)acetic Acid
2-((((Z)-1-(2-Aminothiazol-4-yl)-2-(((2R,2aR)-6-hydroxy-1,7-dioxo-2,2a,4,5,6,7-hexahydro-1H-azeto[2,1-b]cyclopenta[d][1,3]thiazin-2-yl)amino)-2-oxoethylidene)amino)oxy)acetic Acid
Catalogue No.:PA 30 0861013
CAS :
NA
Molecular Formula : C16H15N5O7S2
Molecular Weight : 453.44

																				
																				
																				
																				
																				
																				
																				
																				
																				
																				
																				
																				
																				
																				
																				
																				
																				
																				
										
																				
																				
																				
																				
																				
																				
																				
																				
																				
