cefotetan and its Impurities
Cefotetan is used to treat infections of the lungs, skin, bones, joints, stomach area, blood, female reproductive organs, and urinary tract. It is an injectable antibiotic of the cephamycin type for prophylaxis and treatment of bacterial infections. Reference standards of Cefotetan API,and its pharmacopeial, non pharmacopeial impurities, and stable isotopes are listed below.
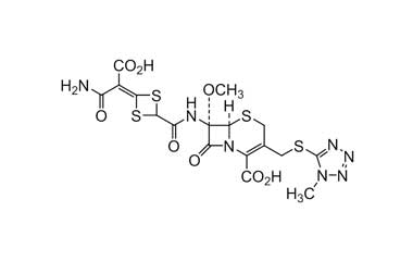
3-Amino-2-(4-{[(5aR ,6S )-6-methoxy-1,7-dioxo-1,4,5a,6-tetrahydro-3H ,7H -azeto[2,1-b]furo[3,4-d][1,3]thiazin-6-yl]carbamoyl}-1,3-dithietan-2-ylidene)-3-oxopropanoic acid
3-Amino-2-(4-{[(5Ar ,6S )-6-Methoxy-1,7-Dioxo-1,4,5A,6-Tetrahydro-3H ,7H -Azeto[2,1-B]Furo[3,4-D][1,3]Thiazin-6-Yl]Carbamoyl}-1,3-Dithietan-2-Ylidene)-3-Oxopropanoic Acid
Catalogue No.:PA 82 0031000
CAS :
2058102-28-4
Molecular Formula : C15H13N3O8S3
Molecular Weight : 459.46

