cefpodoxime proxetil and its Impurities
Cefpodoxime Proxetil is an oral, third-generation cephalosporin antibiotic. It is active against most Gram-positive and Gram-negative organisms. It is used to treat infections caused by bacteria, including upper respiratory infections, ear infections, skin infections, and urinary tract infections.. Reference standards of Cefpodoxime Proxetil API, and its pharmacopeial, non pharmacopeial impurities, and stable isotopes are listed below
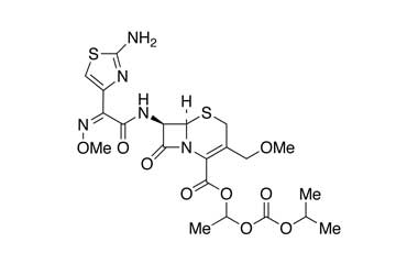
(6R,7R)-(S)-1-((Isopropoxycarbonyl)oxy)ethyl 7-((Z)-2-(2-((isopropoxycarbonyl)amino)thiazol-4-yl)-2-(methoxyimino)acetamido)-3-(methoxymethyl)-8-oxo-5-thia-1-azabicyclo[4.2.0]oct-2-ene-2-carboxylate
(6R,7R)-(S)-1-((Isopropoxycarbonyl)oxy)ethyl 7-((Z)-2-(2-((isopropoxycarbonyl)amino)thiazol-4-yl)-2-(methoxyimino)acetamido)-3-(methoxymethyl)-8-oxo-5-thia-1-azabicyclo[4.2.0]oct-2-ene-2-carboxylate
Catalogue No.:PA 03 90520
CAS :
NA
Molecular Formula : C25H33N5O11S2
Molecular Weight : 643.69
(6R,7R)-(R)-1-((Isopropoxycarbonyl)oxy)ethyl 7-((Z)-2-(2-((isopropoxycarbonyl)amino)thiazol-4-yl)-2-(methoxyimino)acetamido)-3-(methoxymethyl)-8-oxo-5-thia-1-azabicyclo[4.2.0]oct-2-ene-2-carboxylate
(6R,7R)-(R)-1-((Isopropoxycarbonyl)oxy)ethyl 7-((Z)-2-(2-((isopropoxycarbonyl)amino)thiazol-4-yl)-2-(methoxyimino)acetamido)-3-(methoxymethyl)-8-oxo-5-thia-1-azabicyclo[4.2.0]oct-2-ene-2-carboxylate
Catalogue No.:PA 03 90530
CAS :
NA
Molecular Formula : C25H33N5O11S2
Molecular Weight : 643.69
(6R,7R)-1-((Isopropoxycarbonyl)oxy)ethyl 7-((Z)-2-(2-((methoxycarbonyl)amino)thiazol-4-yl)-2-(methoxyimino)acetamido)-3-(methoxymethyl)-8-oxo-5-thia-1-azabicyclo[4.2.0]oct-3-ene-2-carboxylate
(6R,7R)-1-((Isopropoxycarbonyl)oxy)ethyl 7-((Z)-2-(2-((methoxycarbonyl)amino)thiazol-4-yl)-2-(methoxyimino)acetamido)-3-(methoxymethyl)-8-oxo-5-thia-1-azabicyclo[4.2.0]oct-3-ene-2-carboxylate
Catalogue No.:PA 03 90540
CAS :
NA
Molecular Formula : C23H29N5O11S2
Molecular Weight : 615.63
(6R,7R)-1-((Isopropoxycarbonyl)oxy)ethyl 7-((Z)-2-(2-(7-((E)-2-(2-aminothiazol-4-yl)-2-(methoxyimino)acetamido)-3-methyl-8-oxo-5-thia-1-azabicyclo[4.2.0]oct-2-ene-2-carboxamido)thiazol-4-yl)-2-(methoxyimino)acetamido)-3-(methoxymethyl)-8-oxo-5-thia-1-azabicyclo[4.2.0]oct-2-ene-2-carboxylate
(6R,7R)-1-((Isopropoxycarbonyl)oxy)ethyl 7-((Z)-2-(2-(7-((E)-2-(2-aminothiazol-4-yl)-2-(methoxyimino)acetamido)-3-methyl-8-oxo-5-thia-1-azabicyclo[4.2.0]oct-2-ene-2-carboxamido)thiazol-4-yl)-2-(methoxyimino)acetamido)-3-(methoxymethyl)-8-oxo-5-thia-1-azabicyclo[4.2.0]oct-2-ene-2-carboxylate
Catalogue No.:PA 03 90550
CAS :
NA
Molecular Formula : C35H40N10O13S4
Molecular Weight : 937.01
(6R,7R)-1-((Ethoxycarbonyl)oxy)ethyl 7-((Z)-2-(2-aminothiazol-4-yl)-2-(methoxyimino)acetamido)-3-(methoxymethyl)-8-oxo-5-thia-1-azabicyclo[4.2.0]oct-3-ene-2-carboxylate
(6R,7R)-1-((Ethoxycarbonyl)oxy)ethyl 7-((Z)-2-(2-aminothiazol-4-yl)-2-(methoxyimino)acetamido)-3-(methoxymethyl)-8-oxo-5-thia-1-azabicyclo[4.2.0]oct-3-ene-2-carboxylate
Catalogue No.:PA 03 90560
CAS :
NA
Molecular Formula : C20H25N5O9S2
Molecular Weight : 543.57
bis(1-((Isopropoxycarbonyl)oxy)ethyl) 7,7'-(((2Z,2'Z)-2,2'-((carbonylbis(azanediyl))bis(thiazole-2,4-diyl))bis(2-(methoxyimino)acetyl))bis(azanediyl))(6R,6'R,7R,7'R)-bis(3-(methoxymethyl)-8-oxo-5-thia-1-azabicyclo[4.2.0]oct-2-ene-2-carboxylate)
bis(1-((Isopropoxycarbonyl)oxy)ethyl) 7,7'-(((2Z,2'Z)-2,2'-((carbonylbis(azanediyl))bis(thiazole-2,4-diyl))bis(2-(methoxyimino)acetyl))bis(azanediyl))(6R,6'R,7R,7'R)-bis(3-(methoxymethyl)-8-oxo-5-thia-1-azabicyclo[4.2.0]oct-2-ene-2-carboxylate)
Catalogue No.:PA 03 90580
CAS :
NA
Molecular Formula : C43H52N10O19S4
Molecular Weight : 1141.18
1-((Isopropoxycarbonyl)oxy)ethyl (6R,7R)-7-((Z)-2-(2-(2-((Z)-2-(2-aminothiazol-4-yl)-2-(methoxyimino)acetamido)-2-(7-oxo-1,2,5,7-tetrahydro-4H-furo[3,4-d][1,3]thiazin-2-yl)acetamido)thiazol-4-yl)-2-(methoxyimino)acetamido)-3-(methoxymethyl)-8-oxo-5-thia-1-azabicyclo[4.2.0]oct-2-ene-2-carboxylate
1-((Isopropoxycarbonyl)oxy)ethyl (6R,7R)-7-((Z)-2-(2-(2-((Z)-2-(2-aminothiazol-4-yl)-2-(methoxyimino)acetamido)-2-(7-oxo-1,2,5,7-tetrahydro-4H-furo[3,4-d][1,3]thiazin-2-yl)acetamido)thiazol-4-yl)-2-(methoxyimino)acetamido)-3-(methoxymethyl)-8-oxo-5-thia-1-azabicyclo[4.2.0]oct-2-ene-2-carboxylate
Catalogue No.:PA 03 0901000
CAS :
NA
Molecular Formula : C35H40N10O14S4
Molecular Weight : 953

