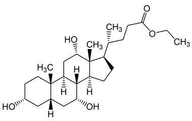
chenodeoxycholic acid and its Impurities
Chenodeoxycholic acid is a bile acid. It is used to dissolve gallstones in people who cannot have gallbladder surgery. Chenodiol may also be used for purposes not listed in this medication guide. Reference standards of Chenodeoxycholic Acid API, and its pharmacopeial, non pharmacopeial impurities, and stable isotopes are listed below
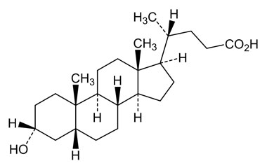
(4R)-4-((3R,8R,9S,10S,13R,14S,17R)-3-Hydroxy-10,13-dimethyl-7-oxohexadecahydro-1H-cyclopenta[a]phenanthren-17-yl)pentanoic Acid
(4R)-4-((3R,8R,9S,10S,13R,14S,17R)-3-Hydroxy-10,13-dimethyl-7-oxohexadecahydro-1H-cyclopenta[a]phenanthren-17-yl)pentanoic Acid
Catalogue No.:PA 03 0371019
CAS :
28332-54-9
Molecular Formula : C24H38O4
Molecular Weight : 390.56
(R)-4-((5R,7R,8R,9S,10S,13R,14S,17R)-7-hydroxy-10,13-dimethyl-3-oxohexadecahydro-1H-cyclopenta[a]phenanthren-17-yl)pentanoic acid
(R)-4-((5R,7R,8R,9S,10S,13R,14S,17R)-7-hydroxy-10,13-dimethyl-3-oxohexadecahydro-1H-cyclopenta[a]phenanthren-17-yl)pentanoic acid
Catalogue No.:PA 03 0371023
CAS :
4185-00-6
Molecular Formula : C24H38O4
Molecular Weight : 390.56
(R)-4-((3R,5S,7R,8R,9S,10S,13R,14S,17R,E)-12-Hydrazineylidene-3,7-dihydroxy-10,13-dimethylhexadecahydro-1H-cyclopenta[a]phenanthren-17-yl)pentanoic Acid
(R)-4-((3R,5S,7R,8R,9S,10S,13R,14S,17R,E)-12-Hydrazineylidene-3,7-dihydroxy-10,13-dimethylhexadecahydro-1H-cyclopenta[a]phenanthren-17-yl)pentanoic Acid
Catalogue No.:PA 03 0371022
CAS :
NA
Molecular Formula : C24H40N2O4
Molecular Weight : 420.59
(R)-3-((3R,5S,7S,8R,9S,10S,13R,14S,17R)-3,7-bis(Formyloxy)-10,13-dimethylhexadecahydro-1H-cyclopenta[a]phenanthren-17-yl)butanoic Acid
(R)-3-((3R,5S,7S,8R,9S,10S,13R,14S,17R)-3,7-bis(Formyloxy)-10,13-dimethylhexadecahydro-1H-cyclopenta[a]phenanthren-17-yl)butanoic Acid
Catalogue No.:PA 03 0371027
CAS :
1253736-55-8
Molecular Formula : C25H38O6
Molecular Weight : 434.57
(3R,5S,7S,8R,9S,10S,13R,14S,17R)-17-((R)-4-Aminobutan-2-yl)-10,13-dimethylhexadecahydro-1H-cyclopenta[a]phenanthrene-3,7-diol
(3R,5S,7S,8R,9S,10S,13R,14S,17R)-17-((R)-4-Aminobutan-2-yl)-10,13-dimethylhexadecahydro-1H-cyclopenta[a]phenanthrene-3,7-diol
Catalogue No.:PA 03 0371028
CAS :
164530-84-1
Molecular Formula : C23H41NO2
Molecular Weight : 363.59
2-((R)-N-Nitroso-4-((3R,5S,7R,8R,9S,10S,12S,13R,14S,17R)-3,7,12-trihydroxy-10,13-dimethylhexadecahydro-1H-cyclopenta[a]phenanthren-17-yl)pentanamido)ethane-1-sulfonic Acid
2-((R)-N-Nitroso-4-((3R,5S,7R,8R,9S,10S,12S,13R,14S,17R)-3,7,12-trihydroxy-10,13-dimethylhexadecahydro-1H-cyclopenta[a]phenanthren-17-yl)pentanamido)ethane-1-sulfonic Acid
Catalogue No.:PA 03 0371029
CAS :
82660-96-6
Molecular Formula : C26H44N2O8S
Molecular Weight : 544.7

