chlorambucil and its Impurities
Chlorambucil's current use is mainly in chronic lymphocytic leukemia, as it is well tolerated by most patients, though chlorambucil has been largely replaced by fludarabine as first-line treatment in younger patients.. Reference standards of Chlorambucil API, and its pharmacopeial, non pharmacopeial impurities, and stable isotopes are listed below
Chlorambucil System Suitability Mixture (A mixture containing 4-[p-[Bis(2-chloroethyl)amino]phenyl] (1106078)
Chlorambucil System Suitability Mixture (A mixture containing 4-[p-[Bis(2-chloroethyl)amino]phenyl] (1106078)
Catalogue No.:PA USP1106078
CAS :
NA
Molecular Formula : NA
Molecular Weight : NA
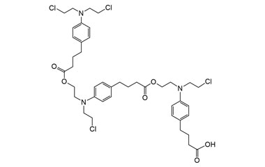
Chlorambucil - Impurity F
4-[4-[[2-[[4-[4-[[2-[[4-[4-[Bis(2-chloroethyl)amino]phenyl]butanoyl]oxy]ethyl](2-chloroethyl)amino]phenyl]butanoyl]oxy]ethyl](2-chloroethyl)amino]phenyl]butanoic acid
Catalogue No.:PA 03 0380060
CAS :
NA
Molecular Formula : C42H55Cl4N3O6
Molecular Weight : 839.72

