ciprofibrate and its Impurities

Ciprofibrate is a fibrate that was developed as a lipid-lowering agent.. Reference standards of Ciprofibrate API, and its pharmacopeial, non pharmacopeial impurities, and stable isotopes are listed below

Displaying 12 results for ciprofibrate Impurities
Drug Reference Standards & Impurity Synthesis in India
PA 30 36000

Ciprofibrate

Ciprofibrate


  • Catalogue No.:PA 30 36000

  • CAS :

    52214-84-3

  • Molecular Formula : C13H14Cl2O3

  • Molecular Weight : 289.15

Drug Reference Standards & Impurity Synthesis in India
PA STI 021600

Ciprofibrate-d6

Ciprofibrate-d6


  • Catalogue No.:PA STI 021600

  • CAS :

    2070015-05-1

  • Molecular Formula : C13H8D6Cl2O3

  • Molecular Weight : 295.19

Drug Reference Standards & Impurity Synthesis in India
PA STI 021610

Ciprofibrate-d6-O-β-Glucuronide

Ciprofibrate-d6-O-β-Glucuronide


  • Catalogue No.:PA STI 021610

  • CAS :

    NA

  • Molecular Formula : C19H16D6Cl2O9

  • Molecular Weight : 471.32

Drug Reference Standards & Impurity Synthesis in India
PA EPY0000362

Ciprofibrate (Y0000362)

Ciprofibrate (Y0000362)


  • Catalogue No.:PA EPY0000362

  • CAS :

    NA

  • Molecular Formula : NA

  • Molecular Weight : NA

Drug Reference Standards & Impurity Synthesis in India
PA EPY0000363

Ciprofibrate for system suitability (Y0000363)

Ciprofibrate for system suitability (Y0000363)


  • Catalogue No.:PA EPY0000363

  • CAS :

    NA

  • Molecular Formula : NA

  • Molecular Weight : NA

Drug Reference Standards & Impurity Synthesis in India
PA 30 36010

Ciprofibrate - Impurity A

2-(4-Ethenylphenoxy)-2-methylpropanoic Acid


  • Catalogue No.:PA 30 36010

  • CAS :

    1474058-89-3

  • Molecular Formula : C12H14O3

  • Molecular Weight : 206.24

Drug Reference Standards & Impurity Synthesis in India
PA 30 36020

Ciprofibrate - Impurity B

4-[(1RS)-2,2-Dichlorocyclopropyl]phenol


  • Catalogue No.:PA 30 36020

  • CAS :

    52179-26-7

  • Molecular Formula : C9H8Cl2O

  • Molecular Weight : 203.06

Drug Reference Standards & Impurity Synthesis in India
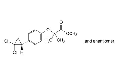
PA 30 36040

Ciprofibrate - Impurity D

Methyl 2-[4-[(1RS)-2,2-dichlorocyclopropyl]phenoxy]-2-methylpropanoate


  • Catalogue No.:PA 30 36040

  • CAS :

    130232-51-8

  • Molecular Formula : C14H16Cl2O3

  • Molecular Weight : 303.18

Drug Reference Standards & Impurity Synthesis in India
PA 30 36030

Ciprofibrate - Impurity C

2-[4-[(1RS)-2,2-Dichlorocyclopropyl]phenoxy]-2-methylpropan-1-ol


  • Catalogue No.:PA 30 36030

  • CAS :

    2469279-29-4

  • Molecular Formula : C13H16Cl2O2

  • Molecular Weight : 275.17

Drug Reference Standards & Impurity Synthesis in India
PA 30 36050

Ciprofibrate - Impurity E

Ethyl 2-[4-[(1RS)-2,2-dichlorocyclopropyl]phenoxy]-2-methylpropanoate


  • Catalogue No.:PA 30 36050

  • CAS :

    52179-28-9

  • Molecular Formula : C15H18Cl2O3

  • Molecular Weight : 317.21

Drug Reference Standards & Impurity Synthesis in India
PA 30 0361000

Ciprofibrate-O-β-Glucuronide

Ciprofibrate-O-β-Glucuronide


  • Catalogue No.:PA 30 0361000

  • CAS :

    102623-15-4

  • Molecular Formula : C19H22Cl2O10

  • Molecular Weight : 481.28

Drug Reference Standards & Impurity Synthesis in India
PA 30 0361001

4-(2,2-Dichlorocyclopropyl)phenyl Acetate

4-(2,2-Dichlorocyclopropyl)phenyl Acetate


  • Catalogue No.:PA 30 0361001

  • CAS :

    144900-34-5

  • Molecular Formula : C11H10Cl2O2

  • Molecular Weight : 245.1

pharmaffiliates