cisatracurium besylate and its Impurities
The generic name Cisatracurium Besylate was conceived by scientists at Burroughs Wellcome Co. It is used to relax the muscles. It works by blocking the signals between your nerves and your muscles. Reference standards of Cisatracurium Besylate API, and its pharmacopeial, non pharmacopeial impurities, and stable isotopes are listed below
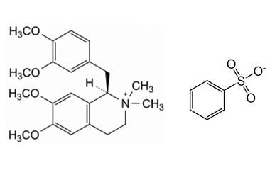
Cisatracurium Besylate - Impurity D(Besylate Salt)
(1R,2R)-1-[(3,4-Dimethoxyphenyl)methyl]-6,7-dimethoxy-2-(3-methoxy-3-oxopropyl)-2-methyl-1,2,3,4-tetrahydroisoquinolinium Benzenesulfonate
Catalogue No.:PA 30 13040
CAS :
1075726-88-3
Molecular Formula : C31H39NO9S
Molecular Weight : 601.71
Cisatracurium Besylate - Impurity E(Besylate Salt)
(1R,2S)-1-(3,4-Dimethoxybenzyl)-2-[3-[(5-hydroxypentyl)oxy]-3-oxopropyl]-6,7-dimethoxy-2-methyl-1,2,3,4-tetrahydroisoquinolinium Benzenesulphonate
Catalogue No.:PA 30 13050
CAS :
2922251-88-3
Molecular Formula : C35H47NO10S
Molecular Weight : 673.81
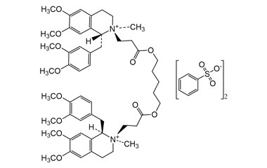
Cisatracurium Besylate - Impurity G (Besylate Salt)
2,2'-[Pentane-1,5-diylbis[oxy(3-oxopropane-3,1-diyl)]]bis[(1R,2S)-1-[(3,4-dimethoxyphenyl)methyl]-6,7-dimethoxy-2-methyl-1,2,3,4-tetrahydroisoquinolinium] Dibenzenesulfonate
Catalogue No.:PA 30 13070
CAS :
96946-46-2
Molecular Formula : C65H82N2O18S2
Molecular Weight : 1243.48
Cisatracurium Besylate - Impurity H (Besylate Salt)
(1R,1'R,2R,2'S)-2,2′-[Pentane-1,5-diylbis[oxy(3-oxopropane-3,1-diyl)]]bis[1-[(3,4-dimethoxyphenyl)-methyl]-6,7-dimethoxy-2-methyl-1,2,3,4-tetrahydroisoquinolinium] Dibenzenesulfonate
Catalogue No.:PA 30 13080
CAS :
96946-44-0
Molecular Formula : C65H82N2O18S2
Molecular Weight : 1243.48
Cisatracurium Besylate - Impurity N (Besylate Salt)
(1R,2S)-2-(3-((5-(Acryloyloxy)pentyl)oxy)-3-oxopropyl)-1-(3,4-dimethoxybenzyl)-6,7-dimethoxy-2-methyl-1,2,3,4-tetrahydroisoquinolin-2-ium Benzenesulfonate
Catalogue No.:PA 30 13140
CAS :
NA
Molecular Formula : C38H49NO11S
Molecular Weight : 727.86
Cisatracurium Besylate - Impurity O
(1R,2R)-1-[(3,4-Dimethoxyphenyl)methyl]-6,7-dimethoxy-2-methyl-2-[3-[[5-(prop-2-enoyloxy)pentyl]oxy]-3-oxopropyl]-1,2,3,4-tetrahydroisoquinolinium Benzenesulfonate
Catalogue No.:PA 30 13150
CAS :
2803857-42-1
Molecular Formula : C38H49NO11S
Molecular Weight : 727.86
Cisatracurium Besylate - Impurity Q (Besylate Salt)
(1R,2R)-1-(3,4-Dimethoxybenzyl)-2-(3-[[5-[[3-[(1R)-1-(3,4-dimethoxybenzyl)-6,7-dimethoxy-3, 4-dihydroisoquinolin-2(1H)-yl]propanoyl]oxy]pentyl]oxy]-3-oxopropyl)-6,7-dimethoxy-2-methyl-1,2,3,4-tetrahydroisoquinolinium Benzenesulphonate
Catalogue No.:PA 30 13170
CAS :
NA
Molecular Formula : C58H74N2O15S
Molecular Weight : 1071.28
Cisatracurium Besylate - Impurity T (Besylate Salt)
(1S,2R,1'R,2'R)-2,2'-[pentane-1,5-diylbis[oxy(3-oxopropane-3,1-diyl)]]bis[1-(3,4-dimethoxybenzyl)-6,7-dimethoxy-2-methyl-1,2,3,4-tetrahydroisoquinolinium] Benzenesulphonate
Catalogue No.:PA 30 13200
CAS :
NA
Molecular Formula : C65H82N2O18S2
Molecular Weight : 1243.48
Cisatracurium Besylate - Impurity V
(1S,2S,1'R,2'S)-2,2'-[Pentane-1,5-diylbis[oxy(3-oxopropane-3,1-diyl)]]bis[1-(3,4-dimethoxybenzyl)-6,7-dimethoxy-2-methyl-1,2,3,4-tetrahydroisoquinolinium] Benzenesulfonate
Catalogue No.:PA 30 13220
CAS :
NA
Molecular Formula : C65H82N2O18S2
Molecular Weight : 1243.48
Cisatracurium Besylate - Impurity I (Besylate Salt)
2,2'-[[(1RS)-1-Methylpentane-1,5-diyl]bis[oxy(3-oxopropane-3,1-diyl)]]bis[(1R,2R)-1-[(3,4-dimethoxyphenyl)methyl]-6,7-dimethoxy-2-methyl-1,2,3,4-tetrahydroisoquinolinium] Benzenesulfonate
Catalogue No.:PA 30 13090
CAS :
1193104-82-3
Molecular Formula : C66H84N2O18S2
Molecular Weight : 1257.51
Cisatracurium Besylate - Impurity K (Besylate Salt)
2,2'-[(3-Methylpentane-1,5-diyl)bis[oxy(3-oxopropane-3,1-diyl)]]bis[(1R,2R)-1-[(3,4-dimethoxyphenyl)methyl]-6,7-dimethoxy-2-methyl-1,2,3,4-tetrahydroisoquinolinium] Dibenzenesulfonate
Catalogue No.:PA 30 13110
CAS :
1193104-80-1
Molecular Formula : C66H84N2O18S2
Molecular Weight : 1257.51
Cisatracurium Besylate - Impurity M
2,2'-[Hexane-1,6-diylbis[oxy(3-oxopropane-3,1-diyl)]]bis[(1R,2R)-1-[(3,4-dimethoxyphenyl)methyl]-6,7-dimethoxy-2-methyl-1,2,3,4-tetrahydroisoquinolinium] Benzenesulfonate
Catalogue No.:PA 30 13130
CAS :
1193104-85-6
Molecular Formula : C66H84N2O18S2
Molecular Weight : 1257.51
Cisatracurium Besylate - Impurity W
(1R,2R)-2-[3-[[5-(Acetyloxy)pentyl]oxy]]-1-[(3,4-dimethoxyphenyl)methyl]-6,7-dimethoxy-2-methyl-3-oxopropyl-1,2,3,4-tetrahydroisoquinolinium Benzenesulfonate
Catalogue No.:PA 30 13230
CAS :
2411761-86-7
Molecular Formula : C37H49NO11S
Molecular Weight : 715.86
Cisatracurium Besylate - Impurity O (iodide)
(1R,2R)-2-(3-((5-(Acryloyloxy)pentyl)oxy)-3-oxopropyl)-1-(3,4-dimethoxybenzyl)-6,7-dimethoxy-2-methyl-1,2,3,4-tetrahydroisoquinolin-2-ium iodide;
Catalogue No.:PA 30 0130151
CAS :
NA
Molecular Formula : C32H44INO8
Molecular Weight : 697.61
Cisatracurium Besylate - Impurity S (Besylate Salt)
(1R,2R,1ʹS,2ʹS)-2,2ʹ-[Pentane-1,5-diylbis[oxy(3-oxopropane-3,1-diyl)]]bis[1-(3,4- dimethoxybenzyl)-6,7-dimethoxy-2-methyl-1,2,3,4-tetrahydroisoquinolinium] Benzenesulfonate
Catalogue No.:PA 30 0130190
CAS :
NA
Molecular Formula : C65H82N2O18S2
Molecular Weight : 1243.49
Cisatracurium Besylate - Impurity H (Ditrifluoroacetate Salt)
(1R,1',2R,2'S)-2,2'-[pentane-1,5-diylbis[oxy(3-oxopropane-3,1-diyl)]]bis[1-[(3,4-dimethoxyphenyl)-methyl]-6,7-dimethoxy-2-methyl-1,2,3,4-tetrahydroisoquinolinium] ditrifluoroacetate Salt
Catalogue No.:PA 30 0130081
CAS :
NA
Molecular Formula : C57H72F6N2O16
Molecular Weight : 1155.19

