citalopram hydrobromide and its Impurities
Citalopram Hydrobromide is sold under the brand name Celexa among others, is an antidepressant of the selective serotonin reuptake inhibitor (SSRI) class.. Reference standards of Citalopram Hydrobromide API, and its pharmacopeial, non pharmacopeial impurities, and stable isotopes are listed below
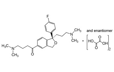
Citalopram Hydrobromide - Impurity G (Dihydrobromide salt)
4-(Dimethylamino)-1-[(1RS)-1-[3-(dimethylamino)propyl]-1-(4-fluorophenyl)-1,3-dihydroisobenzofuran-5-yl]butan-1-one Dihydrobromide
Catalogue No.:PA 03 0570071
CAS :
2575516-42-4
Molecular Formula : C25H35Br2FN2O2
Molecular Weight : 574.37

