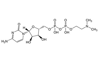
citicoline sodium salt and its Impurities
Citicoline Sodium Salt is available as a supplement online and in stores. It is also known as cytidine diphosphate-choline or cytidine 5'-diphosphocholine is an intermediate in the generation of phosphatidylcholine from choline, a common biochemical process in cell membranes.. Reference standards of Citicoline Sodium Salt API, and its pharmacopeial, non pharmacopeial impurities, and stable isotopes are listed below


(5-(4-Amino-2-oxopyrimidin-1(2H)-yl)-3,4-dihydroxytetrahydrofuran-2-yl)methyl Methyl Hydrogen Phosphate
(5-(4-Amino-2-oxopyrimidin-1(2H)-yl)-3,4-dihydroxytetrahydrofuran-2-yl)methyl Methyl Hydrogen Phosphate
Catalogue No.:PA 03 94570
CAS :
NA
Molecular Formula : C10H16N3O8P
Molecular Weight : 337.22


(5-(4-Amino-2-oxopyrimidin-1(2H)-yl)-3,4-dihydroxytetrahydrofuran-2-yl)methyl Hydrogenmorpholinophosphonate
(5-(4-Amino-2-oxopyrimidin-1(2H)-yl)-3,4-dihydroxytetrahydrofuran-2-yl)methyl Hydrogenmorpholinophosphonate
Catalogue No.:PA 03 94580
CAS :
NA
Molecular Formula : C13H21N4O8P
Molecular Weight : 392.3


N,N'-Dicyclohexylmorpholine-4-carboximidamide ((2R,3S,4R,5R)-5-(4-amino-2-oxopyrimidin-1(2H)-yl)-3,4-dihydroxytetrahydrofuran-2-yl)methyl morpholinophosphonate
N,N'-Dicyclohexylmorpholine-4-carboximidamide ((2R,3S,4R,5R)-5-(4-amino-2-oxopyrimidin-1(2H)-yl)-3,4-dihydroxytetrahydrofuran-2-yl)methyl morpholinophosphonate
Catalogue No.:PA 03 0941001
CAS :
76742-18-2
Molecular Formula : C30H52N7O9P
Molecular Weight : 685.76