clenbuterol and its Impurities
Clenbuterol is commonly used for smooth muscle-relaxant properties as a bronchodilator and tocolytic. It is most commonly available as the hydrochloride salt, clenbuterol hydrochloride.Reference standards of Clenbuterol API,and its pharmacopeial, non pharmacopeial impurities, and stable isotopes are listed below.
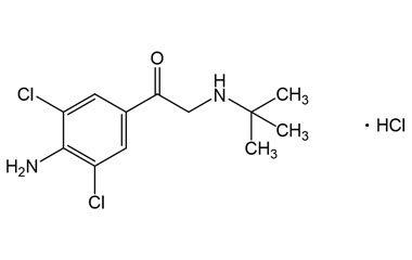
Clenbuterol Related Compound B (1-(4-amino-3,5-dichlorophenyl)-2-tert-butylaminoethanone hydrochlor (1134696)
Clenbuterol Related Compound B (1-(4-amino-3,5-dichlorophenyl)-2-tert-butylaminoethanone hydrochlor (1134696)
Catalogue No.:PA USP1134696
CAS :
37148-49-5
Molecular Formula : NA
Molecular Weight : NA

