clindamycin and its Impurities
Clindamycin is an antibiotic used for the treatment of a number of bacterial infections, including bone or joint infections, pelvic inflammatory disease, strep throat, pneumonia, middle ear infections, and endocarditis.. Reference standards of Clindamycin API, and its pharmacopeial, non pharmacopeial impurities, and stable isotopes are listed below
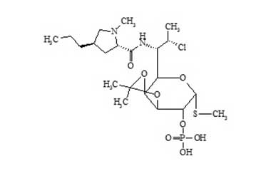
(2R,3S,4S,5R,6R)-2-((1S,2S)-2-Chloro-1-((2S,4R)-4-ethyl-1-methylpyrrolidine-2-carboxamido)propyl)-3,5-dihydroxy-6-(methylthio)tetrahydro-2H-pyran-4-yl Dihydrogen Phosphate
(2R,3S,4S,5R,6R)-2-((1S,2S)-2-Chloro-1-((2S,4R)-4-ethyl-1-methylpyrrolidine-2-carboxamido)propyl)-3,5-dihydroxy-6-(methylthio)tetrahydro-2H-pyran-4-yl Dihydrogen Phosphate
Catalogue No.:PA 56 09510
CAS :
NA
Molecular Formula : C17H32ClN2O8PS
Molecular Weight : 490.94
(2S,4R)-N-((1R,2R)-2-Chloro-1-((2R,3R,4S,5R,6R)-3,4,5-trihydroxy-6-(methylthio)tetrahydro-2H-pyran-2-yl)propyl)-1-methyl-4-propylpyrrolidine-2-carboxamide
(2S,4R)-N-((1R,2R)-2-Chloro-1-((2R,3R,4S,5R,6R)-3,4,5-trihydroxy-6-(methylthio)tetrahydro-2H-pyran-2-yl)propyl)-1-methyl-4-propylpyrrolidine-2-carboxamide
Catalogue No.:PA 56 09520
CAS :
NA
Molecular Formula : C18H33ClN2O5S
Molecular Weight : 424.98
(2R,3S,4S,5R,6R)-6-((1S,2S)-2-Chloro-1-((2S,4R)-1-methyl-4-propylpyrrolidine-2-carboxamido)propyl)-4,5-dihydroxy-2-(methylsulfinyl)tetrahydro-2H-pyran-3-yl dihydrogen phosphate
(2R,3S,4S,5R,6R)-6-((1S,2S)-2-Chloro-1-((2S,4R)-1-methyl-4-propylpyrrolidine-2-carboxamido)propyl)-4,5-dihydroxy-2-(methylsulfinyl)tetrahydro-2H-pyran-3-yl dihydrogen phosphate
Catalogue No.:PA 56 09540
CAS :
NA
Molecular Formula : C18H34ClN2O9PS
Molecular Weight : 520.96
(3R,4S,5R,6R)-2-((1S,2S)-1-Amino-2-hydroxypropyl)-6-(methylthio)tetrahydro-2H-pyran-3,4,5-triol
(3R,4S,5R,6R)-2-((1S,2S)-1-Amino-2-hydroxypropyl)-6-(methylthio)tetrahydro-2H-pyran-3,4,5-triol
Catalogue No.:PAI 03 017140
CAS :
NA
Molecular Formula : C9H19NO5S
Molecular Weight : 253.32
(3R,4S,5R,6R)-2-((1R,2S)-1-Amino-2-chloropropyl)-6-(methylthio)tetrahydro-2H-pyran-3,4,5-triol
(3R,4S,5R,6R)-2-((1R,2S)-1-Amino-2-chloropropyl)-6-(methylthio)tetrahydro-2H-pyran-3,4,5-triol
Catalogue No.:PAI 03 017150
CAS :
NA
Molecular Formula : C9H18ClNO4S
Molecular Weight : 271.76
(2S,4R)-N-((1S,2S)-2-Chloro-1-((3aS,4R,7S,7aS)-7-hydroxy-2,2-dimethyl-4-(methylthio)tetrahydro-4H-[1,3]dioxolo[4,5-c]pyran-6-yl)propyl)-1-methyl-4-propylpyrrolidine-2-carboxamide
(2S,4R)-N-((1S,2S)-2-Chloro-1-((3aS,4R,7S,7aS)-7-hydroxy-2,2-dimethyl-4-(methylthio)tetrahydro-4H-[1,3]dioxolo[4,5-c]pyran-6-yl)propyl)-1-methyl-4-propylpyrrolidine-2-carboxamide
Catalogue No.:PAI 03 017200
CAS :
NA
Molecular Formula : C21H37ClN2O5S
Molecular Weight : 465.05
(3aS,4R,7S,7aR)-6-((1S,2S)-2-Chloro-1-((2S,4R)-1-methyl-4-propylpyrrolidine-2-carboxamido)propyl)-2,2-dimethyl-4-(methylthio)tetrahydro-4H-[1,3]dioxolo[4,5-c]pyran-7-yl dihydrogen Phosphate
(3aS,4R,7S,7aR)-6-((1S,2S)-2-Chloro-1-((2S,4R)-1-methyl-4-propylpyrrolidine-2-carboxamido)propyl)-2,2-dimethyl-4-(methylthio)tetrahydro-4H-[1,3]dioxolo[4,5-c]pyran-7-yl dihydrogen Phosphate
Catalogue No.:PAI 03 017210
CAS :
NA
Molecular Formula : C21H38ClN2O8PS
Molecular Weight : 545.02
(2S,4R)-N-((1S,2S)-2-Chloro-1-((2R,3R,4S,5R,6R)-3,4,5-trihydroxy-6-(methylsulfonyl)tetrahydro-2H-pyran-2-yl)propyl)-1-methyl-4-propylpyrrolidine-2-carboxamide
(2S,4R)-N-((1S,2S)-2-Chloro-1-((2R,3R,4S,5R,6R)-3,4,5-trihydroxy-6-(methylsulfonyl)tetrahydro-2H-pyran-2-yl)propyl)-1-methyl-4-propylpyrrolidine-2-carboxamide
Catalogue No.:PA 03 0951000
CAS :
887402-22-4
Molecular Formula : C18H33ClN2O7S
Molecular Weight : 456.98
2-(2-Chloro-1-(1-methyl-4-propylpyrrolidine-2-carboxamido)propyl)-3,5-dihydroxy-6-(methylthio)tetrahydro-2H-pyran-4-yl palmitate
2-(2-Chloro-1-(1-methyl-4-propylpyrrolidine-2-carboxamido)propyl)-3,5-dihydroxy-6-(methylthio)tetrahydro-2H-pyran-4-yl palmitate
Catalogue No.:PA 03 0951008
CAS :
68225-59-2
Molecular Formula : C34H63ClN2O6S
Molecular Weight : 663.4
(2R,4R)-N-(2-Chloro-1-((2R,3R,4S,5R,6R)-3,4,5-trihydroxy-6-(methylthio)tetrahydro-2H-pyran-2-yl)propyl)-1-methyl-4-propylpyrrolidine-2-carboxamide
(2R,4R)-N-(2-Chloro-1-((2R,3R,4S,5R,6R)-3,4,5-trihydroxy-6-(methylthio)tetrahydro-2H-pyran-2-yl)propyl)-1-methyl-4-propylpyrrolidine-2-carboxamide
Catalogue No.:PA 03 0951014
CAS :
NA
Molecular Formula : C18H33ClN2O5S
Molecular Weight : 424.98
(3aS,4R,6R,7R,7aS)-4-((1S,2S)-2-chloro-1-((2S,4R)-1-Methyl-4-Propylpyrrolidine-2-Carboxamido)propyl)-2,2-Dimethyl-6-(Methylthio)tetrahydro-4H-[1,3]dioxolo[4,5-c]pyran-7-yl Phosphorodichloridate
(3aS,4R,6R,7R,7aS)-4-((1S,2S)-2-Chloro-1-((2S,4R)-1-Methyl-4-Propylpyrrolidine-2-Carboxamido)propyl)-2,2-Dimethyl-6-(Methylthio)tetrahydro-4H-[1,3]Dioxolo[4,5-c]pyran-7-yl Phosphorodichloridate
Catalogue No.:PA 03 0951017
CAS :
648910-17-2
Molecular Formula : C21H36Cl3N2O6PS
Molecular Weight : 581.91
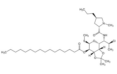
(3aS,4R,6R,7R,7aS)-4-((1S,2S)-2-Chloro-1-((2S,4R)-1-Methyl-4-Propylpyrrolidine-2-Carboxamido)propyl)-2,2-Dimethyl-6-(methylthio)tetrahydro-4H-[1,3]Dioxolo[4,5-c]pyran-7-yl Palmitate
(3aS,4R,6R,7R,7aS)-4-((1S,2S)-2-Chloro-1-((2S,4R)-1-Methyl-4-Propylpyrrolidine-2-Carboxamido)propyl)-2,2-Dimethyl-6-(methylthio)tetrahydro-4H-[1,3]Dioxolo[4,5-c]pyran-7-yl Palmitate
Catalogue No.:PA 03 0951018
CAS :
906126-31-6
Molecular Formula : C37H67ClN2O6S
Molecular Weight : 703.46
(S)-N-((1S,2S)-2-Chloro-1-((2R,3R,4S,5R,6R)-3,4,5-trihydroxy-6-(methylthio)tetrahydro-2H-pyran-2-yl)propyl)-1-methyl-4-propylidenepyrrolidine-2-carboxamide
(S)-N-((1S,2S)-2-Chloro-1-((2R,3R,4S,5R,6R)-3,4,5-trihydroxy-6-(methylthio)tetrahydro-2H-pyran-2-yl)propyl)-1-methyl-4-propylidenepyrrolidine-2-carboxamide
Catalogue No.:PA 03 0951020
CAS :
1440605-51-5
Molecular Formula : C18H31ClN2O5S
Molecular Weight : 422.97
(2R,3R,4R,5R,6R)-2-((1S,2S)-2-Chloro-1-((2S,4R)-1-methyl-4-propylpyrrolidine-2-carboxamido)propyl)-4,5-dihydroxy-6-(methylthio)tetrahydro-2H-pyran-3-yl Palmitate
(2R,3R,4R,5R,6R)-2-((1S,2S)-2-Chloro-1-((2S,4R)-1-methyl-4-propylpyrrolidine-2-carboxamido)propyl)-4,5-dihydroxy-6-(methylthio)tetrahydro-2H-pyran-3-yl Palmitate
Catalogue No.:PA 03 0951021
CAS :
NA
Molecular Formula : C34H63ClN2O6S
Molecular Weight : 663.4
(2S,4R)-N-((1S,2S)-2-Chloro-1-((2R,3R,4S,5R,6R)-3,4,5-trihydroxy-6-(methylthio)tetrahydro-2H-pyran-2-yl)propyl)-1-nitroso-4-propylpyrrolidine-2-carboxamide
(2S,4R)-N-((1S,2S)-2-Chloro-1-((2R,3R,4S,5R,6R)-3,4,5-trihydroxy-6-(methylthio)tetrahydro-2H-pyran-2-yl)propyl)-1-nitroso-4-propylpyrrolidine-2-carboxamide
Catalogue No.:PA 03 0951022
CAS :
NA
Molecular Formula : C17H30ClN3O6S
Molecular Weight : 439.95

