cyanocobalamin and its Impurities
Cyanocobalamin is a manufactured form of vitamin B 12. It is used to treat vitamin B12 deficiency in people with pernicious anemia and other conditions.. Reference standards of Cyanocobalamin API, and its pharmacopeial, non pharmacopeial impurities, and stable isotopes are listed below


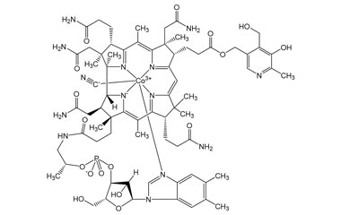
(1R,2R,3R,4R,5Z,12S,15Z,18S,19S,23S,24S)-18,23-bis(2-Carbamoylethyl)-3,19,24-tris(carbamoylmethyl)-4-(2-{[(2R)-2-[({[(2R,3S,4R,5S)-5-(5,6-dimethyl-1H-1,3-benzodiazol-1-yl)-4-hydroxy-2-(hydroxymethyl)oxolan-3- yl]oxy(hydroxy)phosphoryl)oxy]propyl]carbamoyl}ethyl)-1,4,19,21,24,27,27-heptamethyl-9-oxo-8,14,25,26,28-pentaazahexacyclo[20.2.1.12,5.112,15.117,20.06,13]octacosa-5,13,15,20(26),22(25)-pentaen-28-yl]cobaltcarbonitrile
(1R,2R,3R,4R,5Z,12S,15Z,18S,19S,23S,24S)-18,23-bis(2-Carbamoylethyl)-3,19,24-tris(carbamoylmethyl)-4-(2-{[(2R)-2-[({[(2R,3S,4R,5S)-5-(5,6-dimethyl-1H-1,3-benzodiazol-1-yl)-4-hydroxy-2-(hydroxymethyl)oxolan-3- yl]oxy(hydroxy)phosphoryl)oxy]propyl]carbamoyl}ethyl)-1,4,19,21,24,27,27-heptamethyl-9-oxo-8,14,25,26,28-pentaazahexacyclo[20.2.1.12,5.112,15.117,20.06,13]octacosa-5,13,15,20(26),22(25)-pentaen-28-yl]cobaltcarbonitrile
Catalogue No.:PA 30 08520
CAS :
NA
Molecular Formula : C63H88CoN14O14P
Molecular Weight : 1355.4


Cobinic acid-bcdeg-pentamide, cyanide, dihydrogen phosphate (ester), inner salt, 3′-ester with 5,6-dimethyl-1-α-D-ribofuranosyl-1H-benzimidazole
Cobinic acid-bcdeg-pentamide, cyanide, dihydrogen phosphate (ester), inner salt, 3′-ester with 5,6-dimethyl-1-α-D-ribofuranosyl-1H-benzimidazole
Catalogue No.:PA 30 0081000
CAS :
121483-62-3
Molecular Formula : C63H87CoN13O15P
Molecular Weight : 1356.37


{[(2R,3S,4R,5S)-4-Hydroxy-5-[6-(1-hydroxy-3-oxobutyl)-5-methyl-1H-1,3-benzodiazol-1-yl]-2-(hydroxymethyl)oxolan-3-yl]oxy}({[(2R)-1-{3-[(1R,2R,3R,4R,5Z,8S,10Z,13S,14S,18S,19S)-8,13,18-tris(2-carbamoylethyl)-3,14,19-tris(carbamoylmethyl)-1,4,6,9,9,14,16,19-octamethyl-20,21,22,23-tetraazapentacyclo[15.2.1.12,5.17,10.112,15]tricosa-5,7(22),10,15(21),17(20)-pentaen-4-yl]propanamido}propan-2-yl]oxy})phosphinic Acid Cobaltcarbonitrile
{[(2R,3S,4R,5S)-4-Hydroxy-5-[6-(1-hydroxy-3-oxobutyl)-5-methyl-1H-1,3-benzodiazol-1-yl]-2-(hydroxymethyl)oxolan-3-yl]oxy}({[(2R)-1-{3-[(1R,2R,3R,4R,5Z,8S,10Z,13S,14S,18S,19S)-8,13,18-tris(2-carbamoylethyl)-3,14,19-tris(carbamoylmethyl)-1,4,6,9,9,14,16,19-octamethyl-20,21,22,23-tetraazapentacyclo[15.2.1.12,5.17,10.112,15]tricosa-5,7(22),10,15(21),17(20)-pentaen-4-yl]propanamido}propan-2-yl]oxy})phosphinic Acid Cobaltcarbonitrile
Catalogue No.:PA 30 0081001
CAS :
NA
Molecular Formula : C66H94CoN14O16P
Molecular Weight : 1429.47


{[(2R,3S,4R,5S)-5-(5,6-Dimethyl-1H-1,3-benzodiazol-1-yl)-4-hydroxy-2-(hydroxymethyl)oxolan-3-yl]oxy}({[(2S)-1-hydroxy-3-{3-[(1R,2R,3R,4R,5Z,8S,10Z,13S,14S,18S,19S)-8,13,18-tris(2-carbamoylethyl)-3,14,19-tris(carbamoylmethyl) 1,4,6,9,9,14,16,19-octamethyl-20,21,22,23-tetraazapentacyclo[15.2.1.12,5.17,10.112,15]tricosa- 5,7(22),10,15(21),17(20)-pentaen-4-yl]propanamido}propan-2-yl]oxy})phosphinic Acid Cobaltcarbonitrile
{[(2R,3S,4R,5S)-5-(5,6-Dimethyl-1H-1,3-benzodiazol-1-yl)-4-hydroxy-2-(hydroxymethyl)oxolan-3-yl]oxy}({[(2S)-1-hydroxy-3-{3-[(1R,2R,3R,4R,5Z,8S,10Z,13S,14S,18S,19S)-8,13,18-tris(2-carbamoylethyl)-3,14,19-tris(carbamoylmethyl) 1,4,6,9,9,14,16,19-octamethyl-20,21,22,23-tetraazapentacyclo[15.2.1.12,5.17,10.112,15]tricosa- 5,7(22),10,15(21),17(20)-pentaen-4-yl]propanamido}propan-2-yl]oxy})phosphinic Acid Cobaltcarbonitrile
Catalogue No.:PA 30 0081002
CAS :
NA
Molecular Formula : C63H88CoN14O15P
Molecular Weight : 1371.36


[(1R,2R,3S,4S,8S,9S,11Z,14S,16Z,18R,19R)-4,9,14-tris(2-Carbamoylethyl)-3,8,19-tris(carbamoylmethyl)-18-[2-({2-[({[(2R,3S,4R,5S)-5-(5,6-dimethyl-1H-1,3-benzodiazol-1-yl)-4-hydroxy-2-(hydroxymethyl)oxolan-3-yl]oxy}(hydroxy)phosphoryl)oxy]ethyl}carbamoyl)ethyl]-2,3,6,8,13,13,16,18-octamethyl-20,21,22,23-tetraazapentacyclo[15.2.1.12,5.17,10.112,15]tricosa-5(23),7(22),11,15(21),16-pentaen-20-yl]cobaltcarbonitrile
[(1R,2R,3S,4S,8S,9S,11Z,14S,16Z,18R,19R)-4,9,14-tris(2-Carbamoylethyl)-3,8,19-tris(carbamoylmethyl)-18-[2-({2-[({[(2R,3S,4R,5S)-5-(5,6-dimethyl-1H-1,3-benzodiazol-1-yl)-4-hydroxy-2-(hydroxymethyl)oxolan-3-yl]oxy}(hydroxy)phosphoryl)oxy]ethyl}carbamoyl)ethyl]-2,3,6,8,13,13,16,18-octamethyl-20,21,22,23-tetraazapentacyclo[15.2.1.12,5.17,10.112,15]tricosa-5(23),7(22),11,15(21),16-pentaen-20-yl]cobaltcarbonitrile
Catalogue No.:PA 30 0081003
CAS :
NA
Molecular Formula : C62H88CoN14O14P
Molecular Weight : 1343.35


Cobinic acid-abcde-pentamide, Co-(cyano-κC)-, dihydrogen phosphate (ester), inner salt, 3′-ester with (5,6-dimethyl-1-α-D-ribofuranosyl-1H-benzimidazole-κN3)
Cobinic acid-abcde-pentamide, Co-(cyano-κC)-, dihydrogen phosphate (ester), inner salt, 3′-ester with (5,6-dimethyl-1-α-D-ribofuranosyl-1H-benzimidazole-κN3)
Catalogue No.:PA 30 0081010
CAS :
58206-91-0
Molecular Formula : C63H87CoN13O15P
Molecular Weight : 1356.37


Cobyrinamide, Co-(cyano-κC)-Nf-(2-hydroxyethyl)-, dihydrogen phosphate (ester), inner salt, 3′-ester with (5,6-dimethyl-1-α-D-ribofuranosyl-1H-benzimidazole-κN3)
Cobyrinamide, Co-(cyano-κC)-Nf-(2-hydroxyethyl)-, dihydrogen phosphate (ester), inner salt, 3′-ester with (5,6-dimethyl-1-α-D-ribofuranosyl-1H-benzimidazole-κN3)
Catalogue No.:PA 30 0081012
CAS :
106217-80-5
Molecular Formula : C62H86CoN14O14P
Molecular Weight : 1341.36