cyclosporin and its Impurities
Ciclosporin, also spelled cyclosporine and cyclosporin, is an immunosuppressant medication and natural product. It is approved by the FDA to treat and prevent graft-versus-host disease in bone marrow transplantation and to prevent rejection of kidney, heart, and liver transplants.. Reference standards of Cyclosporin API, and its pharmacopeial, non pharmacopeial impurities, and stable isotopes are listed below
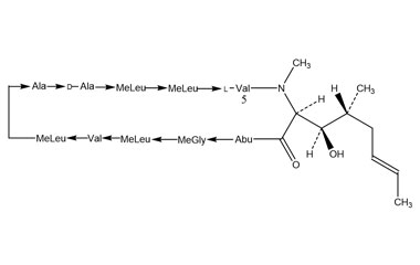
Cyclosporin - Impurity B
1,11-Anhydro[L-alanyl-D-alanyl-N-methyl-L-leucyl-N-methyl-L-leucyl-N-methyl-L-valyl-N-methyl-L-[(1S,2R)-1-hydroxy-2-methylhexyl]glycl-L-2-aminobutanoyl-N-methylglycyl-N-methyl-L-leucylL-valyl-N-methyl-L-leucine] ([6-L-[(1S,2R)-1-hydroxy-2-methylhexyl]glycine]ciclosporin A)
Catalogue No.:PA 03 84010
CAS :
59865-15-5
Molecular Formula : C62H113N11O12
Molecular Weight : 1204.63
(3S,6S,9S,12R,15S,18S,21S,24S,27R,30S,33S)-27-((2-(Dimethylamino)ethyl)thio)-30-ethyl-33-((1R,2R,E)-1-hydroxy-2-methylhex-4-en-1-yl)-24-(2-hydroxy-2-methylpropyl)-6,9,18-triisobutyl-3,21-diisopropyl-1,4,7,10,12,15,19,25,28-nonamethyl-1,4,7,10,13,16,19,22,25,28,31-undecaazacyclotritriacontan-2,5,8,11,14,17,20,23,26,29,32-undecaone
(3S,6S,9S,12R,15S,18S,21S,24S,27R,30S,33S)-27-((2-(Dimethylamino)ethyl)thio)-30-ethyl-33-((1R,2R,E)-1-hydroxy-2-methylhex-4-en-1-yl)-24-(2-hydroxy-2-methylpropyl)-6,9,18-triisobutyl-3,21-diisopropyl-1,4,7,10,12,15,19,25,28-nonamethyl-1,4,7,10,13,16,19,22,25,28,31-undecaazacyclotritriacontan-2,5,8,11,14,17,20,23,26,29,32-undecaone
Catalogue No.:PA 03 84590
CAS :
210759-10-7
Molecular Formula : C66H120N12O13S
Molecular Weight : 1321.82
(1R,2R,E)-1-((2R,5R,14S,17R,20S,23S,26R,29S,32R)-8-ethyl-14,20,29,32-Tetraisobutyl-2,17-diisopropyl-1,4,10,13,19,23,26,28,31-nonamethyl-3,9,12,15,18,21,24,27,30,35-decaoxo-1,4,7,10,13,16,19,22,25,28,31-undecaazacyclopentatriacontan-5-yl)-2-methylhex-4-en-1-yl Acetate
(1R,2R,E)-1-((2R,5R,14S,17R,20S,23S,26R,29S,32R)-8-ethyl-14,20,29,32-Tetraisobutyl-2,17-diisopropyl-1,4,10,13,19,23,26,28,31-nonamethyl-3,9,12,15,18,21,24,27,30,35-decaoxo-1,4,7,10,13,16,19,22,25,28,31-undecaazacyclopentatriacontan-5-yl)-2-methylhex-4-en-1-yl Acetate
Catalogue No.:PAI 03 038010
CAS :
NA
Molecular Formula : C66H119N11O12
Molecular Weight : 1258.74
(1R,2R,E)-6-Bromo-1-((2S,5S,11S,14S,17S,20S,23R,26S,29S,32S)-5-ethyl-11,17,26,29-tetraisobutyl-14,32-diisopropyl-1,7,10,16,20,23,25,28,31-nonamethyl-3,6,9,12,15,18,21,24,27,30,33-undecaoxo-1,4,7,10,13,16,19,22,25,28,31-undecaazacyclotritriacontan-2-yl)-2-methylhex-4-en-1-yl Acetate
(1R,2R,E)-6-Bromo-1-((2S,5S,11S,14S,17S,20S,23R,26S,29S,32S)-5-ethyl-11,17,26,29-tetraisobutyl-14,32-diisopropyl-1,7,10,16,20,23,25,28,31-nonamethyl-3,6,9,12,15,18,21,24,27,30,33-undecaoxo-1,4,7,10,13,16,19,22,25,28,31-undecaazacyclotritriacontan-2-yl)-2-methylhex-4-en-1-yl Acetate
Catalogue No.:PAI 03 038030
CAS :
138957-22-9
Molecular Formula : C64H112BrN11O13
Molecular Weight : 1323.57
(3S,6S,9S,12R,15S,18S,21S,24S,30S,33S)-15,30-Diethyl-33-((1R,2R,E)-1-hydroxy-2-methylhex-4-en-1-yl)-6,9,18,24-tetraisobutyl-3,21-diisopropyl-1,4,7,10,12,19,25,28-octamethyl-1,4,7,10,13,16,19,22,25,28,31-undecaazacyclotritriacontan-2,5,8,11,14,17,20,23,26,29,32-undecaone
(3S,6S,9S,12R,15S,18S,21S,24S,30S,33S)-15,30-Diethyl-33-((1R,2R,E)-1-hydroxy-2-methylhex-4-en-1-yl)-6,9,18,24-tetraisobutyl-3,21-diisopropyl-1,4,7,10,12,19,25,28-octamethyl-1,4,7,10,13,16,19,22,25,28,31-undecaazacyclotritriacontan-2,5,8,11,14,17,20,23,26,29,32-undecaone
Catalogue No.:PA 03 0841001
CAS :
NA
Molecular Formula : C63H113N11O12
Molecular Weight : 1216.66
(4S,5R)-5-((R,E)-Hex-4-en-2-yl)-3-methyl-2-oxo-N-((4S,7S,10R,13S,16S,19S,22S,28S)-4,7,16,22-tetraisobutyl-19-isopropyl-5,8,10,13,17,23,26-heptamethyl-3,6,9,12,15,18,21,24,27-nonaoxo-2,5,8,11,14,17,20,23,26-nonaazatriacontan-28-yl)oxazolidine-4-carboxamide
(4S,5R)-5-((R,E)-Hex-4-en-2-yl)-3-methyl-2-oxo-N-((4S,7S,10R,13S,16S,19S,22S,28S)-4,7,16,22-tetraisobutyl-19-isopropyl-5,8,10,13,17,23,26-heptamethyl-3,6,9,12,15,18,21,24,27-nonaoxo-2,5,8,11,14,17,20,23,26-nonaazatriacontan-28-yl)oxazolidine-4-carboxamide
Catalogue No.:PA 03 0841009
CAS :
1907654-63-0
Molecular Formula : C58H103N11O12
Molecular Weight : 1146.53
Benzyl (6S,9S,12R)-6,9-diisobutyl-12-isopropyl-2,2,5,8,11-pentamethyl-4,7,10-trioxo-3-oxa-5,8,11-triazatridecan-13-oate
Benzyl (6S,9S,12R)-6,9-diisobutyl-12-isopropyl-2,2,5,8,11-pentamethyl-4,7,10-trioxo-3-oxa-5,8,11-triazatridecan-13-oate
Catalogue No.:PAI 03 038060
CAS :
NA
Molecular Formula : C32H53N3O6
Molecular Weight : 575.79
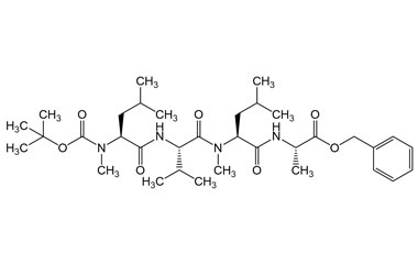
Benzyl N-(N-(N-((tert-butoxycarbonyl)-D-alanyl)-N-methyl-L-leucyl)-N-methyl-L-leucyl)-N-methyl-D-valinate
Benzyl N-(N-(N-((tert-butoxycarbonyl)-D-alanyl)-N-methyl-L-leucyl)-N-methyl-L-leucyl)-N-methyl-D-valinate
Catalogue No.:PAI 03 038062
CAS :
89536-96-9
Molecular Formula : C35H58N4O7
Molecular Weight : 646.87
N-(N-(N-((tert-Butoxycarbonyl)-D-alanyl)-N-methyl-L-leucyl)-N-methyl-L-leucyl)-N-methyl-D-valine
N-(N-(N-((tert-Butoxycarbonyl)-D-alanyl)-N-methyl-L-leucyl)-N-methyl-L-leucyl)-N-methyl-D-valine
Catalogue No.:PA 03 0841011
CAS :
89536-98-1
Molecular Formula : C28H52N4O7
Molecular Weight : 556.75
(4S,5R)-5-((R,E)-Hex-4-en-2-yl)-3-methyl-2-oxo-N-((4S,7S,10R,13S,16S,19S,22S,28S)-4,7,16,22-tetraisobutyl-19-isopropyl-8,10,13,17,23,26-hexamethyl-3,6,9,12,15,18,21,24,27-nonaoxo-2,5,8,11,14,17,20,23,26-nonaazatriacontan-28-yl)oxazolidine-4-carboxamide
(4S,5R)-5-((R,E)-Hex-4-en-2-yl)-3-methyl-2-oxo-N-((4S,7S,10R,13S,16S,19S,22S,28S)-4,7,16,22-tetraisobutyl-19-isopropyl-8,10,13,17,23,26-hexamethyl-3,6,9,12,15,18,21,24,27-nonaoxo-2,5,8,11,14,17,20,23,26-nonaazatriacontan-28-yl)oxazolidine-4-carboxamide
Catalogue No.:PA PEP 001106
CAS :
2715287-08-2
Molecular Formula : C57H101N11O12
Molecular Weight : 1132.5
(3S,6S,9S,12R,15S,18S,21S,24S,30S,33S)-30-Ethyl-33-((2R,3R)-5-(2-hydroxyethyl)-3-methyltetrahydrofuran-2-yl)-6,9,18,24-tetraisobutyl-3,21-diisopropyl-1,4,7,10,12,15,19,25,28-nonamethyl-1,4,7,10,13,16,19,22,25,28,31-undecaazacyclotritriacontan-2,5,8,11,14,17,20,23,26,29,32-undecaone
(3S,6S,9S,12R,15S,18S,21S,24S,30S,33S)-30-Ethyl-33-((2R,3R)-5-(2-hydroxyethyl)-3-methyltetrahydrofuran-2-yl)-6,9,18,24-tetraisobutyl-3,21-diisopropyl-1,4,7,10,12,15,19,25,28-nonamethyl-1,4,7,10,13,16,19,22,25,28,31-undecaazacyclotritriacontan-2,5,8,11,14,17,20,23,26,29,32-undecaone
Catalogue No.:PA PEP 003912
CAS :
NA
Molecular Formula : C62H111N11O13
Molecular Weight : 1218.63

