daclatasvir and its Impurities
Daclatasvir is used only in combination therapy for the treatment of hepatitis C genotype 1, 3, or 4 infections.. Reference standards of Daclatasvir API, and its pharmacopeial, non pharmacopeial impurities, and stable isotopes are listed below
O'2,O2-([1,1'-Biphenyl]-4,4'-diylbis(2-oxoethane-2,1-diyl)) 1,1'-di-tert-butyl (2S,2'S)-bis(pyrrolidine-1,2-dicarboxylate)
O'2,O2-([1,1'-Biphenyl]-4,4'-diylbis(2-oxoethane-2,1-diyl)) 1,1'-di-tert-butyl (2S,2'S)-bis(pyrrolidine-1,2-dicarboxylate)
Catalogue No.:PA 04 94660
CAS :
1009119-82-7
Molecular Formula : C36H44N2O10
Molecular Weight : 664.75
Methyl ((S)-3-methyl-1-oxo-1-((S)-2-(5-(4'-(2-((S)-pyrrolidin-2-yl)-1H-imidazol-5-yl)-[1,1'-biphenyl]-4-yl)-1H-imidazol-2-yl)pyrrolidin-1-yl)butan-2-yl)carbamate
Methyl ((S)-3-methyl-1-oxo-1-((S)-2-(5-(4'-(2-((S)-pyrrolidin-2-yl)-1H-imidazol-5-yl)-[1,1'-biphenyl]-4-yl)-1H-imidazol-2-yl)pyrrolidin-1-yl)butan-2-yl)carbamate
Catalogue No.:PA 04 0941001
CAS :
1007884-60-7
Molecular Formula : C33H39N7O3
Molecular Weight : 581.71
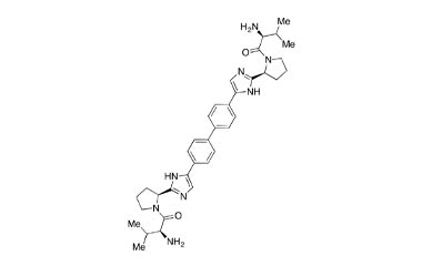
Methyl [(2S)-1-{(2S)-2-[5-(4'-{2-[(2S)-1-{(2S)-2-[(methoxycarbonyl)amino]-3-methylbutanoyl}pyrrolidin-2-yl]-1,3-oxazol-5-yl}biphenyl-4-yl)-1H-imidazol-2-yl]pyrrolidin-1-yl}-3-methyl-1-oxobutan-2-yl]carbamate
Methyl [(2S)-1-{(2S)-2-[5-(4'-{2-[(2S)-1-{(2S)-2-[(methoxycarbonyl)amino]-3-methylbutanoyl}pyrrolidin-2-yl]-1,3-oxazol-5-yl}biphenyl-4-yl)-1H-imidazol-2-yl]pyrrolidin-1-yl}-3-methyl-1-oxobutan-2-yl]carbamate
Catalogue No.:PA 04 0941004
CAS :
NA
Molecular Formula : C40H49N7O7
Molecular Weight : 739.86
Methyl ((S)-1-((S)-2-(5-(4'-(1H-Imidazol-5-yl)-[1,1'-per biphenyl]-4-yl)-1H-imidazol-2-yl)pyrrolidin-1-yl)-3-methyl-1-oxobutan-2-yl)carbamate
Methyl ((S)-1-((S)-2-(5-(4'-(1H-Imidazol-5-yl)-[1,1'-per biphenyl]-4-yl)-1H-imidazol-2-yl)pyrrolidin-1-yl)-3-methyl-1-oxobutan-2-yl)carbamate
Catalogue No.:PA 04 0941005
CAS :
1256385-55-3
Molecular Formula : C29H32N6O3
Molecular Weight : 512.61
Methyl ((S)-1-((S)-2-(5-(4-bromophenyl)-1H-imidazol-2-yl)pyrrolidin-1-yl)-3-methyl-1-oxobutan-2-yl)carbamate
Methyl ((S)-1-((S)-2-(5-(4-bromophenyl)-1H-imidazol-2-yl)pyrrolidin-1-yl)-3-methyl-1-oxobutan-2-yl)carbamate
Catalogue No.:PA 04 0941006
CAS :
1228552-27-9
Molecular Formula : C20H25BrN4O3
Molecular Weight : 449.35
Di-tert-butyl 2,2'-([1,1'-biphenyl]-4,4'-diylbis(1H-imidazole-5,2-diyl))(2S,2'S)-bis(pyrrolidine-1-carboxylate)
Di-tert-butyl 2,2'-([1,1'-biphenyl]-4,4'-diylbis(1H-imidazole-5,2-diyl))(2S,2'S)-bis(pyrrolidine-1-carboxylate)
Catalogue No.:PA 04 0941011
CAS :
1007882-23-6
Molecular Formula : C36H44N6O4
Molecular Weight : 624.79
1,1'-((2S,2'S)-([1,1'-biphenyl]-4,4'-diylbis(1H-imidazole-5,2-diyl))bis(pyrrolidine-2,1-diyl))bis(ethan-1-one)
1,1'-((2S,2'S)-([1,1'-biphenyl]-4,4'-diylbis(1H-imidazole-5,2-diyl))bis(pyrrolidine-2,1-diyl))bis(ethan-1-one)
Catalogue No.:PA 04 0941013
CAS :
1447744-93-5
Molecular Formula : C30H32N6O2
Molecular Weight : 508.63
4-(2-((R)-pyrrolidin-2-yl)-1H-imidazol-5-yl)-4'-(2-((S)-pyrrolidin-2-yl)-1H-imidazol-5-yl)-1,1'-biphenyl
4-(2-((R)-pyrrolidin-2-yl)-1H-imidazol-5-yl)-4'-(2-((S)-pyrrolidin-2-yl)-1H-imidazol-5-yl)-1,1'-biphenyl
Catalogue No.:PA 04 0941014
CAS :
2244108-06-1
Molecular Formula : C26H28N6
Molecular Weight : 424.55
Methyl ((S)-1-((S)-2-(5-(4'-(2-((S)-1-acetylpyrrolidin-2-yl)-1H-imidazol-5-yl)-[1,1'-biphenyl]-4-yl)-1H-imidazol-2-yl)pyrrolidin-1-yl)-3-methyl-1-oxobutan-2-yl)carbamate
Methyl ((S)-1-((S)-2-(5-(4'-(2-((S)-1-acetylpyrrolidin-2-yl)-1H-imidazol-5-yl)-[1,1'-biphenyl]-4-yl)-1H-imidazol-2-yl)pyrrolidin-1-yl)-3-methyl-1-oxobutan-2-yl)carbamate
Catalogue No.:PA 04 94620
CAS :
2226541-13-3
Molecular Formula : C35H41N7O4
Molecular Weight : 623.76
2-((S)-Pyrrolidin-2-yl)-5-(4'-(2-((S)-pyrrolidin-2-yl)-1H-imidazol-5-yl)-[1,1'-biphenyl]-4-yl)oxazole
2-((S)-Pyrrolidin-2-yl)-5-(4'-(2-((S)-pyrrolidin-2-yl)-1H-imidazol-5-yl)-[1,1'-biphenyl]-4-yl)oxazole
Catalogue No.:PA 04 0941015
CAS :
NA
Molecular Formula : C26H27N5O
Molecular Weight : 425.54
tert-Butyl (S)-2-(5-(4'-(2-((S)-1-(tert-butoxycarbonyl)pyrrolidin-2-yl)-1H-imidazol-5-yl)-[1,1'-biphenyl]-4-yl)oxazol-2-yl)pyrrolidine-1-carboxylate
tert-Butyl (S)-2-(5-(4'-(2-((S)-1-(tert-butoxycarbonyl)pyrrolidin-2-yl)-1H-imidazol-5-yl)-[1,1'-biphenyl]-4-yl)oxazol-2-yl)pyrrolidine-1-carboxylate
Catalogue No.:PA 04 0941016
CAS :
NA
Molecular Formula : C36H43N5O5
Molecular Weight : 625.77
Methyl ((2S,3S)-1-((S)-2-(5-(4'-(2-((S)-1-((methoxycarbonyl)-L-valyl)pyrrolidin-2-yl)-1H-imidazol-5-yl)-[1,1'-biphenyl]-4-yl)-1H-imidazol-2-yl)pyrrolidin-1-yl)-3-methyl-1-oxopentan-2-yl)carbamate
Methyl ((2S,3S)-1-((S)-2-(5-(4'-(2-((S)-1-((methoxycarbonyl)-L-valyl)pyrrolidin-2-yl)-1H-imidazol-5-yl)-[1,1'-biphenyl]-4-yl)-1H-imidazol-2-yl)pyrrolidin-1-yl)-3-methyl-1-oxopentan-2-yl)carbamate
Catalogue No.:PA 04 0941017
CAS :
2077207-88-4
Molecular Formula : C41H52N8O6
Molecular Weight : 752.92
Methyl ((S)-1-((S)-2-(5-(4'-(2-((S)-1-((methoxycarbonyl)-L-valyl)pyrrolidin-2-yl)-1H-imidazol-5-yl)-[1,1'-biphenyl]-4-yl)-1-nitroso-1H-imidazol-2-yl)pyrrolidin-1-yl)-3-methyl-1-oxobutan-2-yl)carbamate
Methyl ((S)-1-((S)-2-(5-(4'-(2-((S)-1-((methoxycarbonyl)-L-valyl)pyrrolidin-2-yl)-1H-imidazol-5-yl)-[1,1'-biphenyl]-4-yl)-1-nitroso-1H-imidazol-2-yl)pyrrolidin-1-yl)-3-methyl-1-oxobutan-2-yl)carbamate
Catalogue No.:PA 04 0941018
CAS :
NA
Molecular Formula : C40H49N9O7
Molecular Weight : 767.89
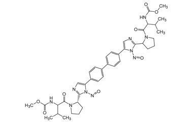
Methyl (1-((2S)-2-(5-(4'-(2-(1-((methoxycarbonyl)valyl)pyrrolidin-2-yl)-1-nitroso-1H-imidazol-5-yl)-[1,1'-biphenyl]-4-yl)-1-nitroso-1H-imidazol-2-yl)pyrrolidin-1-yl)-3-methyl-1-oxobutan-2-yl)carbamate
Methyl (1-((2S)-2-(5-(4'-(2-(1-((methoxycarbonyl)valyl)pyrrolidin-2-yl)-1-nitroso-1H-imidazol-5-yl)-[1,1'-biphenyl]-4-yl)-1-nitroso-1H-imidazol-2-yl)pyrrolidin-1-yl)-3-methyl-1-oxobutan-2-yl)carbamate
Catalogue No.:PA 04 0941019
CAS :
NA
Molecular Formula : C40H48N10O8
Molecular Weight : 796.89

