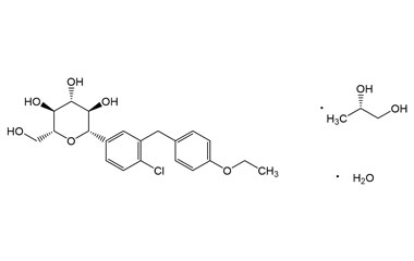
Dapagliflozin Propanediol Hydrate and its Impurities
Dapagliflozin Propanediol Hydrate is used together with diet and exercise to improve blood sugar control in adults with type 2 diabetes mellitus. It is sold under the brand name Farxiga.Reference standards of Dapagliflozin Propanediol Hydrate API, and its pharmacopeial, non pharmacopeial impurities, and stable isotopes are listed below.

	
			                                  
																				
