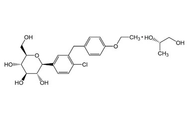
Dapagliflozin Propanediol and its Impurities
Dapagliflozin Propanediol is a sodium-glucose cotransporter 2 inhibitor used in the management of type 2 diabetes mellitus. Reference standards of Dapagliflozin Propanediol API, and its pharmacopeial, non pharmacopeial impurities, and stable isotopes are listed below.

