daunorubicin hydrochloride and its Impurities
A hydrochloride salt of Daunorubicin, which is an anti tumor drug and belongs to anthracycline family. It works by interacting with the DNA and inhibits macromolecular synthesis.. Reference standards of Daunorubicin Hydrochloride API, and its pharmacopeial, non pharmacopeial impurities, and stable isotopes are listed below


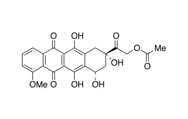
(4S)-4-(((2R,4S,5S,6S)-4-Amino-5-hydroxy-6-methyltetrahydro-2H-pyran-2-yl)oxy)-5,12-dihydroxy-7-methoxy-6,11-dioxo-1,2,3,4,6,11-hexahydrotetracene-2-carboxylic Acid
(4S)-4-(((2R,4S,5S,6S)-4-Amino-5-hydroxy-6-methyltetrahydro-2H-pyran-2-yl)oxy)-5,12-dihydroxy-7-methoxy-6,11-dioxo-1,2,3,4,6,11-hexahydrotetracene-2-carboxylic Acid
Catalogue No.:PA 04 08600
CAS :
NA
Molecular Formula : C26H27NO10
Molecular Weight : 513.5


N-((2S,3S,4S,6R)-6-(((1S,3S)-3-acetyl-3,5,12-trihydroxy-10-methoxy-6,11-dioxo-1,2,3,4,6,11-hexahydrotetracen-1-yl)oxy)-3-hydroxy-2-methyltetrahydro-2H-pyran-4-yl)-2,2,2-trifluoroacetamide
N-((2S,3S,4S,6R)-6-(((1S,3S)-3-acetyl-3,5,12-trihydroxy-10-methoxy-6,11-dioxo-1,2,3,4,6,11-hexahydrotetracen-1-yl)oxy)-3-hydroxy-2-methyltetrahydro-2H-pyran-4-yl)-2,2,2-trifluoroacetamide
Catalogue No.:PA 04 0081003
CAS :
26388-52-3
Molecular Formula : C29H28F3NO11
Molecular Weight : 623.53


2-((2S,4S)-4-(((2R,4S,5S,6S)-4-Amino-5-hydroxy-6-methyltetrahydro-2H-pyran-2-yl)oxy)-2,5,12-trihydroxy-7-methoxy-6,11-dioxo-1,2,3,4,6,11-hexahydrotetracen-2-yl)-2-oxoethane-1-sulfonic Acid
2-((2S,4S)-4-(((2R,4S,5S,6S)-4-Amino-5-hydroxy-6-methyltetrahydro-2H-pyran-2-yl)oxy)-2,5,12-trihydroxy-7-methoxy-6,11-dioxo-1,2,3,4,6,11-hexahydrotetracen-2-yl)-2-oxoethane-1-sulfonic Acid
Catalogue No.:PA 04 0081004
CAS :
478867-44-6
Molecular Formula : C27H29NO13S
Molecular Weight : 607.58


(8S,10S)-6,8,11-Trihydroxy-8-(2-hydroxyacetyl)-1-methoxy-10-(((1S,3R,4aS,9S,9aR,10aS)-9-methoxy-1-methyloctahydro-1H-pyrano[4',3':4,5]oxazolo[2,3-c][1,4]oxazin-3-yl)oxy)-7,8,9,10-tetrahydrotetracene-5,12-dione
(8S,10S)-6,8,11-Trihydroxy-8-(2-hydroxyacetyl)-1-methoxy-10-(((1S,3R,4aS,9S,9aR,10aS)-9-methoxy-1-methyloctahydro-1H-pyrano[4',3':4,5]oxazolo[2,3-c][1,4]oxazin-3-yl)oxy)-7,8,9,10-tetrahydrotetracene-5,12-dione
Catalogue No.:PA 04 0081008
CAS :
202350-68-3
Molecular Formula : C32H35NO13
Molecular Weight : 641.63