deferoxamine mesylate and its Impurities
Deferoxamine Mesylate, sold under the brand name Desferal. It is used as a chelating agent, particularly in the mesylate form. It is also used by injection into a muscle, vein, or under the skin.. Reference standards of Deferoxamine Mesylate API, and its pharmacopeial, non pharmacopeial impurities, and stable isotopes are listed below
 
	
			                                   
																				N1-(5-Aminopentyl)-N4-(5-(4-((5-(ethylamino)pentyl)amino)-N-hydroxy-4-oxobutanamido)pentyl)-N1-hydroxysuccinamide
N1-(5-Aminopentyl)-N4-(5-(4-((5-(ethylamino)pentyl)amino)-N-hydroxy-4-oxobutanamido)pentyl)-N1-hydroxysuccinamide
- Catalogue No.:PA 31 0181000 
- CAS : - NA
- Molecular Formula : C25H50N6O6 
- Molecular Weight : 530.71 
 
	
			                                   
																				N1-(38-Amino-11,22,33-trihydroxy-7,10,18,21,29,32-hexaoxo-6,11,17,22,28,33-hexaazaoctatriacontyl)-N1-hydroxy-N4-(5-(N-hydroxyacetamido)pentyl)succinamide
N1-(38-Amino-11,22,33-trihydroxy-7,10,18,21,29,32-hexaoxo-6,11,17,22,28,33-hexaazaoctatriacontyl)-N1-hydroxy-N4-(5-(N-hydroxyacetamido)pentyl)succinamide
- Catalogue No.:PA 31 0181002 
- CAS : - NA
- Molecular Formula : C43H80N10O14 
- Molecular Weight : 961.17 
 
	
			                                   
																				N1-(3,20-Dihydroxy-2,10,13,21,24-pentaoxo-3,9,14,20,25-pentaazatriacontan-30-yl)-N1-hydroxy-N4-(5-(N-hydroxyacetamido)pentyl)succinamide
N1-(3,20-Dihydroxy-2,10,13,21,24-pentaoxo-3,9,14,20,25-pentaazatriacontan-30-yl)-N1-hydroxy-N4-(5-(N-hydroxyacetamido)pentyl)succinamide
- Catalogue No.:PA 31 0181003 
- CAS : - NA
- Molecular Formula : C36H66N8O12 
- Molecular Weight : 802.97 
 
	
			                                   
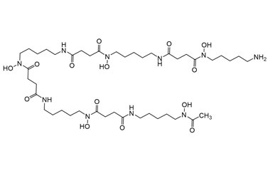
																				N1-(3,14-Dihydroxy-2,10,13,21,24-pentaoxo-3,9,14,20,25-pentaazatriacontan-30-yl)-N1-hydroxy-N4-(5-(N-hydroxy-4-((5-(N-hydroxyacetamido)pentyl)amino)-4-oxobutanamido)pentyl)succinamide
N1-(3,14-Dihydroxy-2,10,13,21,24-pentaoxo-3,9,14,20,25-pentaazatriacontan-30-yl)-N1-hydroxy-N4-(5-(N-hydroxy-4-((5-(N-hydroxyacetamido)pentyl)amino)-4-oxobutanamido)pentyl)succinamide
- Catalogue No.:PA 31 0181004 
- CAS : - NA
- Molecular Formula : C45H82N10O15 
- Molecular Weight : 1003.21 
 
	
			                                   
																				N1-(5-Aminopentyl)-N1-hydroxy-N4-(5-(N-hydroxy-4-((5-(hydroxyamino)pentyl)amino)-4-oxobutanamido)pentyl)succinamide
N1-(5-Aminopentyl)-N1-hydroxy-N4-(5-(N-hydroxy-4-((5-(hydroxyamino)pentyl)amino)-4-oxobutanamido)pentyl)succinamide
- Catalogue No.:PA 31 0181005 
- CAS : - 149471-25-0
- Molecular Formula : C23H46N6O7 
- Molecular Weight : 518.66 

 
																				 
																				 
																				 
																				 
																				 
																				 
																				 
																				 
																				 
																				 
																				 
																				 
																				 
																				 
																				 
																				 
																				 
																				 
 
 
 
