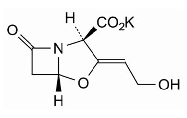
Diluted Potassium Clavulanate and its Impurities
Diluted Potassium Clavulanate is not an antibiotic by itself, but is used in combination with antibiotics to enhance their effectiveness. Reference standards of Diluted Potassium Clavulanate API,and its pharmacopeial, non pharmacopeial impurities, and stable isotopes are listed below.
