Dinoprost Sodium and its Impurities
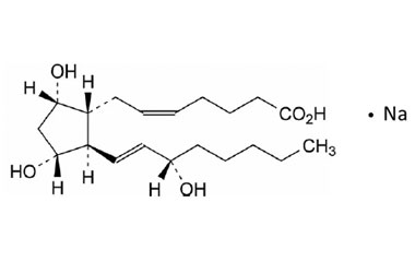
Dinoprost Sodium, also known as Prostaglandin F2α (PGF2α), is a naturally occurring prostaglandin used in medicine primarily for its effects on the female reproductive system. It is available in various formulations, including dinoprost tromethamine, and is used in both human and veterinary medicine. Reference standards of Dinoprost Sodium API, and its pharmacopeial, non pharmacopeial impurities, and stable isotopes are listed below.

