edoxaban and its Impurities
Edoxaban is a member of the Novel Oral Anti-Coagulants class of drugs, and is a rapidly acting, oral, selective factor Xa inhibitor.. Reference standards of Edoxaban API, and its pharmacopeial, non pharmacopeial impurities, and stable isotopes are listed below


Ethyl (1S,3R,4S)-3-((tert-butoxycarbonyl)amino)-4-((methylsulfonyl)oxy)cyclohexane-1-carboxylate
Ethyl (1S,3R,4S)-3-((tert-butoxycarbonyl)amino)-4-((methylsulfonyl)oxy)cyclohexane-1-carboxylate
Catalogue No.:PAI 05 082012
CAS :
2081883-47-6
Molecular Formula : C15H27NO7S
Molecular Weight : 365.44


N1-(5-Chloropyridin-2-yl)-N2-((1S,2R,4S)-2-(5-methyl-4,5,6,7-tetrahydrothiazolo[5,4-c]pyridine-2-carboxamido)-4-(methylcarbamoyl)cyclohexyl)oxalamide Hydrochloride
N1-(5-Chloropyridin-2-yl)-N2-((1S,2R,4S)-2-(5-methyl-4,5,6,7-tetrahydrothiazolo[5,4-c]pyridine-2-carboxamido)-4-(methylcarbamoyl)cyclohexyl)oxalamide Hydrochloride
Catalogue No.:PA 05 0821074
CAS :
500572-21-4
Molecular Formula : C23H29Cl2N7O4S
Molecular Weight : 570.49


tert-Butyl 2-(((1R,2S,5S)-2-(2-((5-chloropyridin-2-yl)amino)-2-oxoacetamido)-5-(dimethylcarbamoyl)cyclohexyl)carbamoyl)-6,7-dihydrothiazolo[5,4-c]pyridine-5(4H)-carboxylate
tert-Butyl 2-(((1R,2S,5S)-2-(2-((5-chloropyridin-2-yl)amino)-2-oxoacetamido)-5-(dimethylcarbamoyl)cyclohexyl)carbamoyl)-6,7-dihydrothiazolo[5,4-c]pyridine-5(4H)-carboxylate
Catalogue No.:PAI 05 082016
CAS :
NA
Molecular Formula : C28H36ClN7O6S
Molecular Weight : 634.15


tert-Butyl ((1R,2S,5S)-2-(2-((5-bromopyridin-2-yl)amino)-2-oxoacetamido)-5-(dimethylcarbamoyl)cyclohexyl)carbamate
tert-Butyl ((1R,2S,5S)-2-(2-((5-bromopyridin-2-yl)amino)-2-oxoacetamido)-5-(dimethylcarbamoyl)cyclohexyl)carbamate
Catalogue No.:PAI 05 082018
CAS :
NA
Molecular Formula : C21H30BrN5O5
Molecular Weight : 512.41


N1-((1S,2R,4S)-2-Amino-4-(dimethylcarbamoyl)cyclohexyl)-N2-(5-chloropyridin-2-yl)oxalamide Hydrochloride
N1-((1S,2R,4S)-2-Amino-4-(dimethylcarbamoyl)cyclohexyl)-N2-(5-chloropyridin-2-yl)oxalamide Hydrochloride
Catalogue No.:PA 05 0821076
CAS :
482375-18-8
Molecular Formula : C16H23Cl2N5O3
Molecular Weight : 404.29


Ethyl (1S,3R,4S)-4-(((benzyloxy)carbonyl)amino)-3-((tert-butoxycarbonyl)amino)cyclohexane-1-carboxylate
Ethyl (1S,3R,4S)-4-(((benzyloxy)carbonyl)amino)-3-((tert-butoxycarbonyl)amino)cyclohexane-1-carboxylate
Catalogue No.:PAI 05 082021
CAS :
365998-33-0
Molecular Formula : C22H32N2O6
Molecular Weight : 420.51


Ethyl (1R,3R,4S)-4-(((benzyloxy)carbonyl)amino)-3-((tert-butoxycarbonyl)amino)cyclohexane-1-carboxylate
Ethyl (1R,3R,4S)-4-(((benzyloxy)carbonyl)amino)-3-((tert-butoxycarbonyl)amino)cyclohexane-1-carboxylate
Catalogue No.:PAI 05 082022
CAS :
1255529-52-2
Molecular Formula : C22H32N2O6
Molecular Weight : 420.51


(1R,3R,4S)-4-(((Benzyloxy)carbonyl)amino)-3-((tert-butoxycarbonyl)amino)cyclohexane-1-carboxylic Acid
(1R,3R,4S)-4-(((Benzyloxy)carbonyl)amino)-3-((tert-butoxycarbonyl)amino)cyclohexane-1-carboxylic Acid
Catalogue No.:PAI 05 082023
CAS :
2081883-54-5
Molecular Formula : C20H28N2O6
Molecular Weight : 392.45


Ethyl (1R,3S,4S)-3-((tert-butoxycarbonyl)amino)-4-((methylsulfonyl)oxy)cyclohexane-1-carboxylate
Ethyl (1R,3S,4S)-3-((tert-butoxycarbonyl)amino)-4-((methylsulfonyl)oxy)cyclohexane-1-carboxylate
Catalogue No.:PAI 05 082029
CAS :
1255529-31-7
Molecular Formula : C15H27NO7S
Molecular Weight : 365.44


Ethyl (1R,3S,4R)-4-(((benzyloxy)carbonyl)amino)-3-((tert-butoxycarbonyl)amino)cyclohexane-1-carboxylate
Ethyl (1R,3S,4R)-4-(((benzyloxy)carbonyl)amino)-3-((tert-butoxycarbonyl)amino)cyclohexane-1-carboxylate
Catalogue No.:PAI 05 082032
CAS :
1057651-37-2
Molecular Formula : C22H32N2O6
Molecular Weight : 420.51


(1R,3S,4R)-4-(((Benzyloxy)carbonyl)amino)-3-((tert-butoxycarbonyl)amino)cyclohexane-1-carboxylic Acid
(1R,3S,4R)-4-(((Benzyloxy)carbonyl)amino)-3-((tert-butoxycarbonyl)amino)cyclohexane-1-carboxylic Acid
Catalogue No.:PAI 05 082033
CAS :
2089454-60-2
Molecular Formula : C20H28N2O6
Molecular Weight : 392.45


(1S,3S,4R)-4-(((Benzyloxy)carbonyl)amino)-3-((tert-butoxycarbonyl)amino)cyclohexane-1-carboxylic Acid
(1S,3S,4R)-4-(((Benzyloxy)carbonyl)amino)-3-((tert-butoxycarbonyl)amino)cyclohexane-1-carboxylic Acid
Catalogue No.:PAI 05 082035
CAS :
NA
Molecular Formula : C20H28N2O6
Molecular Weight : 392.45


Ethyl (1S,3R,4R)-4-(((benzyloxy)carbonyl)amino)-3-((tert-butoxycarbonyl)amino)cyclohexane-1-carboxylate
Ethyl (1S,3R,4R)-4-(((benzyloxy)carbonyl)amino)-3-((tert-butoxycarbonyl)amino)cyclohexane-1-carboxylate
Catalogue No.:PAI 05 082037
CAS :
1255529-35-1
Molecular Formula : C22H32N2O6
Molecular Weight : 420.51


(1S,3R,4R)-4-(((Benzyloxy)carbonyl)amino)-3-((tert-butoxycarbonyl)amino)cyclohexane-1-carboxylic Acid
(1S,3R,4R)-4-(((Benzyloxy)carbonyl)amino)-3-((tert-butoxycarbonyl)amino)cyclohexane-1-carboxylic Acid
Catalogue No.:PAI 05 082038
CAS :
2081883-48-7
Molecular Formula : C20H28N2O6
Molecular Weight : 392.45


Ethyl (1R,3S,4S)-4-(((benzyloxy)carbonyl)amino)-3-((tert-butoxycarbonyl)amino)cyclohexane-1-carboxylate
Ethyl (1R,3S,4S)-4-(((benzyloxy)carbonyl)amino)-3-((tert-butoxycarbonyl)amino)cyclohexane-1-carboxylate
Catalogue No.:PAI 05 082044
CAS :
2024614-10-4
Molecular Formula : C22H32N2O6
Molecular Weight : 420.51


(1R,3S,4S)-4-(((Benzyloxy)carbonyl)amino)-3-((tert-butoxycarbonyl)amino)cyclohexane-1-carboxylic Acid
(1R,3S,4S)-4-(((Benzyloxy)carbonyl)amino)-3-((tert-butoxycarbonyl)amino)cyclohexane-1-carboxylic Acid
Catalogue No.:PAI 05 082045
CAS :
2089452-44-6
Molecular Formula : C20H28N2O6
Molecular Weight : 392.45


Ethyl (1S,3S,4S)-4-(((benzyloxy)carbonyl)amino)-3-((tert-butoxycarbonyl)amino)cyclohexane-1-carboxylate
Ethyl (1S,3S,4S)-4-(((benzyloxy)carbonyl)amino)-3-((tert-butoxycarbonyl)amino)cyclohexane-1-carboxylate
Catalogue No.:PAI 05 082047
CAS :
NA
Molecular Formula : C22H32N2O6
Molecular Weight : 420.51


(1S,3S,4S)-4-(((Benzyloxy)carbonyl)amino)-3-((tert-butoxycarbonyl)amino)cyclohexane-1-carboxylic Acid
(1S,3S,4S)-4-(((Benzyloxy)carbonyl)amino)-3-((tert-butoxycarbonyl)amino)cyclohexane-1-carboxylic Acid
Catalogue No.:PAI 05 082048
CAS :
NA
Molecular Formula : C20H28N2O6
Molecular Weight : 392.45


Ethyl (1R,3S,4R)-3-((tert-butoxycarbonyl)amino)-4-((methylsulfonyl)oxy)cyclohexane-1-carboxylate
Ethyl (1R,3S,4R)-3-((tert-butoxycarbonyl)amino)-4-((methylsulfonyl)oxy)cyclohexane-1-carboxylate
Catalogue No.:PAI 05 082050
CAS :
2605225-76-9
Molecular Formula : C15H27NO7S
Molecular Weight : 365.44


(1R,3R,4R)-4-(((Benzyloxy)carbonyl)amino)-3-((tert-butoxycarbonyl)amino)cyclohexane-1-carboxylic Acid
(1R,3R,4R)-4-(((Benzyloxy)carbonyl)amino)-3-((tert-butoxycarbonyl)amino)cyclohexane-1-carboxylic Acid
Catalogue No.:PAI 05 082052
CAS :
2081883-51-2
Molecular Formula : C20H28N2O6
Molecular Weight : 392.45


Ethyl (1S,3S,4R)-4-(((benzyloxy)carbonyl)amino)-3-((tert-butoxycarbonyl)amino)cyclohexane-1-carboxylate
Ethyl (1S,3S,4R)-4-(((benzyloxy)carbonyl)amino)-3-((tert-butoxycarbonyl)amino)cyclohexane-1-carboxylate
Catalogue No.:PAI 05 082054
CAS :
NA
Molecular Formula : C22H32N2O6
Molecular Weight : 420.51


Ethyl (1S,3R,4R)-3-((tert-butoxycarbonyl)amino)-4-(1,3-dioxoisoindolin-2-yl)cyclohexane-1-carboxylate
Ethyl (1S,3R,4R)-3-((tert-butoxycarbonyl)amino)-4-(1,3-dioxoisoindolin-2-yl)cyclohexane-1-carboxylate
Catalogue No.:PAI 05 082055
CAS :
2366982-63-8
Molecular Formula : C22H28N2O6
Molecular Weight : 416.47


(1S,3R,4R)-3-((tert-Butoxycarbonyl)amino)-4-(1,3-dioxoisoindolin-2-yl)cyclohexane-1-carboxylic Acid
(1S,3R,4R)-3-((tert-Butoxycarbonyl)amino)-4-(1,3-dioxoisoindolin-2-yl)cyclohexane-1-carboxylic Acid
Catalogue No.:PAI 05 082056
CAS :
NA
Molecular Formula : C20H24N2O6
Molecular Weight : 388.42


Methyl 2-(((1S,2R,4S)-4-(dimethylcarbamoyl)-2-(5-methyl-4,5,6,7-tetrahydrothiazolo[5,4-c]pyridine-2-carboxamido)cyclohexyl)amino)-2-oxoacetate
Methyl 2-(((1S,2R,4S)-4-(dimethylcarbamoyl)-2-(5-methyl-4,5,6,7-tetrahydrothiazolo[5,4-c]pyridine-2-carboxamido)cyclohexyl)amino)-2-oxoacetate
Catalogue No.:PAI 05 082058
CAS :
NA
Molecular Formula : C20H29N5O5S
Molecular Weight : 451.54


N,N'-((1S,2R,4S)-4-(Dimethylcarbamoyl)cyclohexane-1,2-diyl)bis(5-methyl-4,5,6,7-tetrahydrothiazolo[5,4-c]pyridine-2-carboxamide)
N,N'-((1S,2R,4S)-4-(Dimethylcarbamoyl)cyclohexane-1,2-diyl)bis(5-methyl-4,5,6,7-tetrahydrothiazolo[5,4-c]pyridine-2-carboxamide)
Catalogue No.:PA 05 0821087
CAS :
2803419-53-4
Molecular Formula : C25H35N7O3S2
Molecular Weight : 545.72


N1-((1R,2R,4R)-2-Amino-4-(dimethylcarbamoyl)cyclohexyl)-N2-(5-chloropyridin-2-yl)oxalamide Hydrochloride
N1-((1R,2R,4R)-2-Amino-4-(dimethylcarbamoyl)cyclohexyl)-N2-(5-chloropyridin-2-yl)oxalamide Hydrochloride
Catalogue No.:PAI 05 082066
CAS :
NA
Molecular Formula : C16H23Cl2N5O3
Molecular Weight : 404.29


N1-(5-Bromopyridin-2-yl)-N2-((1R,2S,4R)-4-(dimethylcarbamoyl)-2-(5-nitroso-4,5,6,7-tetrahydrothiazolo[5,4-c]pyridine-2-carboxamido)cyclohexyl)oxalamide
N1-(5-Bromopyridin-2-yl)-N2-((1R,2S,4R)-4-(dimethylcarbamoyl)-2-(5-nitroso-4,5,6,7-tetrahydrothiazolo[5,4-c]pyridine-2-carboxamido)cyclohexyl)oxalamide
Catalogue No.:PA 05 0821089
CAS :
NA
Molecular Formula : C23H27BrN8O5S
Molecular Weight : 607.48


Methyl (1S,3R,4S)-4-(2-((5-chloropyridin-2-yl)amino)-2-oxoacetamido)-3-(5-nitroso-4,5,6,7-tetrahydrothiazolo[5,4-c]pyridine-2-carboxamido)cyclohexane-1-carboxylate
Methyl (1S,3R,4S)-4-(2-((5-chloropyridin-2-yl)amino)-2-oxoacetamido)-3-(5-nitroso-4,5,6,7-tetrahydrothiazolo[5,4-c]pyridine-2-carboxamido)cyclohexane-1-carboxylate
Catalogue No.:PA 05 0821090
CAS :
NA
Molecular Formula : C22H24ClN7O6S
Molecular Weight : 549.99


N1-(5-Chloropyridin-2-yl)-N2-((1S,2R,4S)-4-(methylcarbamoyl)-2-(5-nitroso-4,5,6,7-tetrahydrothiazolo[5,4-c]pyridine-2-carboxamido)cyclohexyl)oxalamide
N1-(5-Chloropyridin-2-yl)-N2-((1S,2R,4S)-4-(methylcarbamoyl)-2-(5-nitroso-4,5,6,7-tetrahydrothiazolo[5,4-c]pyridine-2-carboxamido)cyclohexyl)oxalamide
Catalogue No.:PA 05 0821091
CAS :
NA
Molecular Formula : C22H25ClN8O5S
Molecular Weight : 549


2-(((1S,2R,4S)-4-(Dimethylcarbamoyl)-2-(5-nitroso-4,5,6,7-tetrahydrothiazolo[5,4-c]pyridine-2-carboxamido)cyclohexyl)amino)-2-oxoacetic Acid
2-(((1S,2R,4S)-4-(Dimethylcarbamoyl)-2-(5-nitroso-4,5,6,7-tetrahydrothiazolo[5,4-c]pyridine-2-carboxamido)cyclohexyl)amino)-2-oxoacetic Acid
Catalogue No.:PA 05 0821092
CAS :
NA
Molecular Formula : C18H24N6O6S
Molecular Weight : 452.49


N1-(5-Chloropyridin-2-yl)-N2-((1S,2S,4R)-4-(dimethylcarbamoyl)-2-(5-nitroso-4,5,6,7-tetrahydrothiazolo[5,4-c]pyridine-2-carboxamido)cyclohexyl)oxalamide
N1-(5-Chloropyridin-2-yl)-N2-((1S,2S,4R)-4-(dimethylcarbamoyl)-2-(5-nitroso-4,5,6,7-tetrahydrothiazolo[5,4-c]pyridine-2-carboxamido)cyclohexyl)oxalamide
Catalogue No.:PA 05 0821093
CAS :
NA
Molecular Formula : C23H27ClN8O5S
Molecular Weight : 563.03


N1-(5-Chloropyridin-2-yl)-N2-((1R,2S,4R)-4-(dimethylcarbamoyl)-2-(5-nitroso-4,5,6,7-tetrahydrothiazolo[5,4-c]pyridine-2-carboxamido)cyclohexyl)oxalamide
N1-(5-Chloropyridin-2-yl)-N2-((1R,2S,4R)-4-(dimethylcarbamoyl)-2-(5-nitroso-4,5,6,7-tetrahydrothiazolo[5,4-c]pyridine-2-carboxamido)cyclohexyl)oxalamide
Catalogue No.:PA 05 0821094
CAS :
NA
Molecular Formula : C23H27ClN8O5S
Molecular Weight : 563.03


tert-Butyl ((1R,2S,5S)-5-(dimethylcarbamoyl)-2-(2-oxo-2-(pyridin-2-ylamino)acetamido)cyclohexyl)carbamate
tert-Butyl ((1R,2S,5S)-5-(dimethylcarbamoyl)-2-(2-oxo-2-(pyridin-2-ylamino)acetamido)cyclohexyl)carbamate
Catalogue No.:PA 05 0821095
CAS :
NA
Molecular Formula : C21H31N5O5
Molecular Weight : 433.51


N1-((1S,2R,4S)-2-Acetamido-4-(dimethylcarbamoyl)cyclohexyl)-N2-(5-chloropyridin-2-yl)oxalamide
N1-((1S,2R,4S)-2-Acetamido-4-(dimethylcarbamoyl)cyclohexyl)-N2-(5-chloropyridin-2-yl)oxalamide
Catalogue No.:PA 05 0821096
CAS :
NA
Molecular Formula : C18H24ClN5O4
Molecular Weight : 409.87


Benzyl ((1S,2R,4S)-4-(dimethylcarbamoyl)-2-(5-methyl-4,5,6,7-tetrahydrothiazolo[5,4-c]pyridine-2-carboxamido)cyclohexyl)carbamate
Benzyl ((1S,2R,4S)-4-(dimethylcarbamoyl)-2-(5-methyl-4,5,6,7-tetrahydrothiazolo[5,4-c]pyridine-2-carboxamido)cyclohexyl)carbamate
Catalogue No.:PA 05 0821101
CAS :
2759920-22-2
Molecular Formula : C25H33N5O4S
Molecular Weight : 499.63


N1-(5-Chloropyridin-2-yl)-N2-((1S,2R,4S)-4-(dimethylcarbamoyl)-2-(5-methyl-4,5-dihydrothiazolo[5,4-c]pyridine-2-carboxamido)cyclohexyl)oxalamide
N1-(5-Chloropyridin-2-yl)-N2-((1S,2R,4S)-4-(dimethylcarbamoyl)-2-(5-methyl-4,5-dihydrothiazolo[5,4-c]pyridine-2-carboxamido)cyclohexyl)oxalamide
Catalogue No.:PA 05 0821104
CAS :
NA
Molecular Formula : C24H28ClN7O4S
Molecular Weight : 546.04


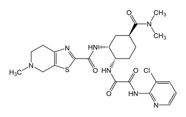
N1-(3-Chloropyridin-2-yl)-N2-((1S,2R,4S)-4-(dimethylcarbamoyl)-2-(5-methyl-4,5,6,7-tetrahydrothiazolo[5,4-c]pyridine-2-carboxamido)cyclohexyl)oxalamide
N1-(3-Chloropyridin-2-yl)-N2-((1S,2R,4S)-4-(dimethylcarbamoyl)-2-(5-methyl-4,5,6,7-tetrahydrothiazolo[5,4-c]pyridine-2-carboxamido)cyclohexyl)oxalamide
Catalogue No.:PA 05 0821112
CAS :
NA
Molecular Formula : C24H30ClN7O4S
Molecular Weight : 548.06