emtricitabine and its Impurities
Emtricitabine is a drug which is used for the treatment of HIV and a nucleoside reverse transcriptase inhibitor (NRTI). It shows activity against hepatitis B virus (HBV). An analog of cytidine and inhibits reverse transtriptase. Reference standards of Emtricitabine API, and its pharmacopeial, non pharmacopeial impurities, and stable isotopes are listed below.
4-Amino-1-((2R,5S)-2-((tert-butyldimethylsilyloxy)methyl)-1,3-oxathiolan-5-yl)-5-fluoropyrimidin-2(1H)-one
4-Amino-1-((2R,5S)-2-((tert-butyldimethylsilyloxy)methyl)-1,3-oxathiolan-5-yl)-5-fluoropyrimidin-2(1H)-one
Catalogue No.:PA 05 02510
CAS :
1365246-84-9
Molecular Formula : C14H24FN3O3SSi
Molecular Weight : 361.51
4-Amino-5-fluoro-1-((2S,5R)-2-(hydroxymethyl)-3-oxido-1,3-oxathiolan-5-yl)pyrimidin-2(1H)-one
4-Amino-5-fluoro-1-((2S,5R)-2-(hydroxymethyl)-3-oxido-1,3-oxathiolan-5-yl)pyrimidin-2(1H)-one
Catalogue No.:PA 05 02700
CAS :
152187-23-0
Molecular Formula : C8H10FN3O4S
Molecular Weight : 263.25
(3R,5S,9S,9aS)-6-Amino-9-fluoro-5,5a,9,9a-tetrahydro-2H-3,5-epithio[1,4]dioxepino[6,5-c]pyridin-8(3H)-one
(3R,5S,9S,9aS)-6-Amino-9-fluoro-5,5a,9,9a-tetrahydro-2H-3,5-epithio[1,4]dioxepino[6,5-c]pyridin-8(3H)-one
Catalogue No.:PA 05 02710
CAS :
NA
Molecular Formula : C8H9FN2O3S
Molecular Weight : 232.23
4-Amino-5-fluoro-1-((2S,5R)-2-(hydroxymethyl)-3-oxido-1,3-oxathiolan-5-yl)pyrimidin-2(1H)-one
4-Amino-5-fluoro-1-((2S,5R)-2-(hydroxymethyl)-3-oxido-1,3-oxathiolan-5-yl)pyrimidin-2(1H)-one
Catalogue No.:PA 05 02720
CAS :
152128-77-3
Molecular Formula : C8H10FN3O4S
Molecular Weight : 263.25
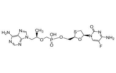
9-(2-((((5-(4-Amino-5-fluoro-2-oxopyrimidin-1(2H)-yl)-1,3-oxathiolan-2-yl)methoxy)(hydroxy)phosphoryl)methoxy)propyl)-9H-purin-6-aminium
9-(2-((((5-(4-Amino-5-fluoro-2-oxopyrimidin-1(2H)-yl)-1,3-oxathiolan-2-yl)methoxy)(hydroxy)phosphoryl)methoxy)propyl)-9H-purin-6-aminium
Catalogue No.:PA 05 02730
CAS :
NA
Molecular Formula : C17H23FN8O6PS+
Molecular Weight : 517.45
N-(((5-Fluoro-1-(2-(hydroxymethyl)-1,3-oxathiolan-5-yl)-2-oxo-1,2-dihydropyrimidin-4-yl)amino)methyl)-9-(2-(phosphonomethoxy)propyl)-9H-purin-6-aminium
N-(((5-Fluoro-1-(2-(hydroxymethyl)-1,3-oxathiolan-5-yl)-2-oxo-1,2-dihydropyrimidin-4-yl)amino)methyl)-9-(2-(phosphonomethoxy)propyl)-9H-purin-6-aminium
Catalogue No.:PA 05 02740
CAS :
NA
Molecular Formula : C18H25FN8O7PS+
Molecular Weight : 547.48
N-(((5-(4-Amino-5-fluoro-2-oxopyrimidin-1(2H)-yl)-1,3-oxathiolan-2-yl)methoxy)methyl)-5-fluoro-1-(2-(hydroxymethyl)-1,3-oxathiolan-5-yl)-2-oxo-1,2-dihydropyrimidin-4-aminium
N-(((5-(4-Amino-5-fluoro-2-oxopyrimidin-1(2H)-yl)-1,3-oxathiolan-2-yl)methoxy)methyl)-5-fluoro-1-(2-(hydroxymethyl)-1,3-oxathiolan-5-yl)-2-oxo-1,2-dihydropyrimidin-4-aminium
Catalogue No.:PA 05 02750
CAS :
NA
Molecular Formula : C17H21F2N6O6S2+
Molecular Weight : 507.51
5-Fluoro-N-(((5-fluoro-1-(2-(hydroxymethyl)-1,3-oxathiolan-5-yl)-2-oxo-1,2-dihydropyrimidin-4-yl)amino)methyl)-1-(2-(hydroxymethyl)-1,3-oxathiolan-5-yl)-2-oxo-1,2-dihydropyrimidin-4-aminium
5-Fluoro-N-(((5-fluoro-1-(2-(hydroxymethyl)-1,3-oxathiolan-5-yl)-2-oxo-1,2-dihydropyrimidin-4-yl)amino)methyl)-1-(2-(hydroxymethyl)-1,3-oxathiolan-5-yl)-2-oxo-1,2-dihydropyrimidin-4-aminium
Catalogue No.:PA 05 02760
CAS :
NA
Molecular Formula : C17H21F2N6O6S2+
Molecular Weight : 507.51
N-(((5-Fluoro-1-(2-(hydroxymethyl)-1,3-oxathiolan-5-yl)-2-oxo-1,2-dihydropyrimidin-4-yl)amino)methyl)-9-(2-((hydroxy(((isopropoxycarbonyl)oxy)methoxy)phosphoryl)methoxy)propyl)-9H-purin-6-aminium
N-(((5-Fluoro-1-(2-(hydroxymethyl)-1,3-oxathiolan-5-yl)-2-oxo-1,2-dihydropyrimidin-4-yl)amino)methyl)-9-(2-((hydroxy(((isopropoxycarbonyl)oxy)methoxy)phosphoryl)methoxy)propyl)-9H-purin-6-aminium
Catalogue No.:PA 05 02770
CAS :
NA
Molecular Formula : C23H33FN8O10PS+
Molecular Weight : 663.59
9-(2-((Bis(((isopropoxycarbonyl)oxy)methoxy)phosphoryl)methoxy)propyl)-N-(((5-fluoro-1-(5-(hydroxymethyl)-1,3-oxathiolan-2-yl)-2-oxo-1,2-dihydropyrimidin-4-yl)amino)methyl)-9H-purin-6-aminium
9-(2-((Bis(((isopropoxycarbonyl)oxy)methoxy)phosphoryl)methoxy)propyl)-N-(((5-fluoro-1-(5-(hydroxymethyl)-1,3-oxathiolan-2-yl)-2-oxo-1,2-dihydropyrimidin-4-yl)amino)methyl)-9H-purin-6-aminium
Catalogue No.:PA 05 02780
CAS :
NA
Molecular Formula : C28H41FN8O13PS+
Molecular Weight : 779.71
4-Amino-1-((2R,5S)-2-((tert-butyldimethylsilyloxy)methyl)-1,3-oxathiolan-5-yl)-5-fluoropyrimidin-2(1H)-one-13C,15N2
4-Amino-1-((2R,5S)-2-((tert-butyldimethylsilyloxy)methyl)-1,3-oxathiolan-5-yl)-5-fluoropyrimidin-2(1H)-one-13C,15N2
Catalogue No.:PA STI 005410
CAS :
1246816-05-6
Molecular Formula : C1313CH24FN15N2O3SSi
Molecular Weight : 364.49
((((R)-1-(6-((((5-Fluoro-1-((2R,5S)-2-(hydroxymethyl)-1,3-oxathiolan-5-yl)-2-oxo-1,2-dihydropyrimidin-4-yl)amino)methyl)amino)-9H-purin-9-yl)propan-2-yl)oxy)methyl)phosphonic Acid
((((R)-1-(6-((((5-Fluoro-1-((2R,5S)-2-(hydroxymethyl)-1,3-oxathiolan-5-yl)-2-oxo-1,2-dihydropyrimidin-4-yl)amino)methyl)amino)-9H-purin-9-yl)propan-2-yl)oxy)methyl)phosphonic Acid
Catalogue No.:PA 05 02820
CAS :
1962115-01-0
Molecular Formula : C18H24FN8O7PS
Molecular Weight : 546.47
((2R,5S)-5-(4-Amino-5-fluoro-2-oxopyrimidin-1(2H)-yl)-1,3-oxathiolan-2-yl)methyl hydrogen ((((R)-1-(6-amino-9H-purin-9-yl)propan-2-yl)oxy)methyl)phosphonate
((2R,5S)-5-(4-Amino-5-fluoro-2-oxopyrimidin-1(2H)-yl)-1,3-oxathiolan-2-yl)methyl hydrogen ((((R)-1-(6-amino-9H-purin-9-yl)propan-2-yl)oxy)methyl)phosphonate
Catalogue No.:PA 05 02830
CAS :
1962114-95-9
Molecular Formula : C17H22FN8O6PS
Molecular Weight : 516.45
(3R,6R,10R,10aS)-7-Amino-10-fluoro-2,3,6,6a,10,10a-hexahydro-3,6-epoxy[1,4]oxathiocino[7,8-c]pyridin-9(5H)-one
(3R,6R,10R,10aS)-7-Amino-10-fluoro-2,3,6,6a,10,10a-hexahydro-3,6-epoxy[1,4]oxathiocino[7,8-c]pyridin-9(5H)-one
Catalogue No.:PA 05 02890
CAS :
NA
Molecular Formula : C9H11FN2O3S
Molecular Weight : 246.26
5-Fluoro-1-(2-(hydroxymethyl)-1,3-oxathiolan-5-yl)-4-((3,5,6-trihydroxy-2-oxo-4-((3,4,5-trihydroxy-6-(hydroxymethyl)tetrahydro-2H-pyran-2-yl)oxy)hexyl)amino)pyrimidin-2(1H)-one
5-Fluoro-1-(2-(hydroxymethyl)-1,3-oxathiolan-5-yl)-4-((3,5,6-trihydroxy-2-oxo-4-((3,4,5-trihydroxy-6-(hydroxymethyl)tetrahydro-2H-pyran-2-yl)oxy)hexyl)amino)pyrimidin-2(1H)-one
Catalogue No.:PA 05 0021003
CAS :
NA
Molecular Formula : C20H30FN3O13S
Molecular Weight : 571.53
(1R,2S,5R)-2-Isopropyl-5-methylcyclohexyl (2S,5S)-5-(4-amino-5-fluoro-2-oxopyrimidin-1(2H)-yl)-1,3-oxathiolane-2-carboxylate
(1R,2S,5R)-2-Isopropyl-5-methylcyclohexyl (2S,5S)-5-(4-amino-5-fluoro-2-oxopyrimidin-1(2H)-yl)-1,3-oxathiolane-2-carboxylate
Catalogue No.:PA 05 0021005
CAS :
147027-01-8
Molecular Formula : C18H26FN3O4S
Molecular Weight : 399.48
(1R,2S,5R)-2-Isopropyl-5-methylcyclohexyl (2R,5R)-5-(4-amino-5-fluoro-2-oxopyrimidin-1(2H)-yl)-1,3-oxathiolane-2-carboxylate
(1R,2S,5R)-2-Isopropyl-5-methylcyclohexyl (2R,5R)-5-(4-amino-5-fluoro-2-oxopyrimidin-1(2H)-yl)-1,3-oxathiolane-2-carboxylate
Catalogue No.:PA 05 0021006
CAS :
1773498-61-5
Molecular Formula : C18H26FN3O4S
Molecular Weight : 399.48
(1R,2S,5R)-2-Isopropyl-5-methylcyclohexyl (2R,5R)-5-((3-fluoro-6-hydroxypyridin-2-yl)amino)-1,3-oxathiolane-2-carboxylate
(1R,2S,5R)-2-Isopropyl-5-methylcyclohexyl (2R,5R)-5-((3-fluoro-6-hydroxypyridin-2-yl)amino)-1,3-oxathiolane-2-carboxylate
Catalogue No.:PA 05 0021015
CAS :
NA
Molecular Formula : C19H27FN2O4S
Molecular Weight : 398.49
(1R,2S,5R)-2-Isopropyl-5-methylcyclohexyl (2R,5S)-5-((5-fluoro-2-oxo-1,2-dihydropyrimidin-4-yl)amino)-1,3-oxathiolane-2-carboxylate
(1R,2S,5R)-2-Isopropyl-5-methylcyclohexyl (2R,5S)-5-((5-fluoro-2-oxo-1,2-dihydropyrimidin-4-yl)amino)-1,3-oxathiolane-2-carboxylate
Catalogue No.:PA 05 0021016
CAS :
NA
Molecular Formula : C18H26FN3O4S
Molecular Weight : 399.48
(1R,2S,5R)-2-Isopropyl-5-methylcyclohexyl (2R,5R)-5-((5-fluoro-2-oxo-1,2-dihydropyrimidin-4-yl)amino)-1,3-oxathiolane-2-carboxylate
(1R,2S,5R)-2-Isopropyl-5-methylcyclohexyl (2R,5R)-5-((5-fluoro-2-oxo-1,2-dihydropyrimidin-4-yl)amino)-1,3-oxathiolane-2-carboxylate
Catalogue No.:PA 05 0021017
CAS :
NA
Molecular Formula : C18H26FN3O4S
Molecular Weight : 399.48
(1R,2S,5R)-2-Isopropyl-5-methylcyclohexyl (2R,5S)-5-(5-fluoro-2,4-dioxo-3,4-dihydropyrimidin-1(2H)-yl)-1,3-oxathiolane-2-carboxylate
(1R,2S,5R)-2-Isopropyl-5-methylcyclohexyl (2R,5S)-5-(5-fluoro-2,4-dioxo-3,4-dihydropyrimidin-1(2H)-yl)-1,3-oxathiolane-2-carboxylate
Catalogue No.:PA 05 0021018
CAS :
1422361-25-8
Molecular Formula : C18H25FN2O5S
Molecular Weight : 400.47
(1R,2S,5R)-2-isopropyl-5-methylcyclohexyl (2R,5S)-5-(5-fluoro-4-(1-hydroxy-2-mercaptoethoxy)-2-oxopyrimidin-1(2H)-yl)-1,3-oxathiolane-2-carboxylate
(1R,2S,5R)-2-isopropyl-5-methylcyclohexyl (2R,5S)-5-(5-fluoro-4-(1-hydroxy-2-mercaptoethoxy)-2-oxopyrimidin-1(2H)-yl)-1,3-oxathiolane-2-carboxylate
Catalogue No.:PA 05 0021019
CAS :
NA
Molecular Formula : C20H29FN2O6S2
Molecular Weight : 476.58
(1R,2S,5R)-2-Isopropyl-5-methylcyclohexyl (2R,5R)-5-(5-fluoro-4-(1-hydroxy-2-mercaptoethoxy)-2-oxopyrimidin-1(2H)-yl)-1,3-oxathiolane-2-carboxylate
(1R,2S,5R)-2-Isopropyl-5-methylcyclohexyl (2R,5R)-5-(5-fluoro-4-(1-hydroxy-2-mercaptoethoxy)-2-oxopyrimidin-1(2H)-yl)-1,3-oxathiolane-2-carboxylate
Catalogue No.:PA 05 0021020
CAS :
NA
Molecular Formula : C20H29FN2O6S2
Molecular Weight : 476.58
4-amino-5-fluoro-1-((2R,3S,5S)-2-(hydroxymethyl)-3-oxido-1,3-oxathiolan-5-yl)pyrimidin-2(1H)-one
4-amino-5-fluoro-1-((2R,3S,5S)-2-(hydroxymethyl)-3-oxido-1,3-oxathiolan-5-yl)pyrimidin-2(1H)-one
Catalogue No.:PA 05 0021027
CAS :
1160303-44-5
Molecular Formula : C8H10FN3O4S
Molecular Weight : 263.24
(3R,6R,10S,10aS)-7-Amino-10-fluoro-2,3,6,6a,10,10a-hexahydro-3,6-epoxy[1,4]oxathiocino[7,8-c]pyridin-9(5H)-one
(3R,6R,10S,10aS)-7-Amino-10-fluoro-2,3,6,6a,10,10a-hexahydro-3,6-epoxy[1,4]oxathiocino[7,8-c]pyridin-9(5H)-one
Catalogue No.:PA 05 0021033
CAS :
NA
Molecular Formula : C9H11FN2O3S
Molecular Weight : 246.26
(3R,6S,11R,11aS)-11-Fluorohexahydro-8H-3,6-epoxypyrimido[6,1-b][1,6,3]oxathiazocine-8,10(9H)-dione
(3R,6S,11R,11aS)-11-Fluorohexahydro-8H-3,6-epoxypyrimido[6,1-b][1,6,3]oxathiazocine-8,10(9H)-dione
Catalogue No.:PA 05 0021042
CAS :
NA
Molecular Formula : C8H9FN2O4S
Molecular Weight : 248.23
(3R,6S,11S,11aS)-11-Fluorohexahydro-8H-3,6-epoxypyrimido[6,1-b][1,6,3]oxathiazocine-8,10(9H)-dione
(3R,6S,11S,11aS)-11-Fluorohexahydro-8H-3,6-epoxypyrimido[6,1-b][1,6,3]oxathiazocine-8,10(9H)-dione
Catalogue No.:PA 05 0021043
CAS :
NA
Molecular Formula : C8H9FN2O4S
Molecular Weight : 248.23

