ertapenem and its Impurities
Ertapenem is structurally similar to meropenem and possess a 1-beta-methyl group. It is a carbapenem antibiotic drug that is marketed under the trade name Invanz by Merck & Co. pharmaceutical company.. Reference standards of Ertapenem API, and its pharmacopeial, non pharmacopeial impurities, and stable isotopes are listed below
 
	
			                                   
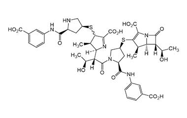
																				(4R,5S,6S)-3-[(3S,5S)-5-[(3-Carboxyphenyl)carbamoyl]-1-[(4R,5S,6S)-3-[(3S,5S)-5-[(3-carboxyphenyl)carbamoyl]pyrrolidin-3-yl]sulfanyl-6-[(1R)-1-hydroxyethyl]-4-methyl-7-oxo-1-azabicyclo[3.2.0]hept-2-ene-2-carbonyl]pyrrolidin-3-yl]sulfanyl-6-[(1R)-1-hydroxyethyl]-4-methyl-7-oxo-1-azabicyclo[3.2.0]hept-2-ene-2-carboxylic Acid
(4R,5S,6S)-3-[(3S,5S)-5-[(3-Carboxyphenyl)carbamoyl]-1-[(4R,5S,6S)-3-[(3S,5S)-5-[(3-carboxyphenyl)carbamoyl]pyrrolidin-3-yl]sulfanyl-6-[(1R)-1-hydroxyethyl]-4-methyl-7-oxo-1-azabicyclo[3.2.0]hept-2-ene-2-carbonyl]pyrrolidin-3-yl]sulfanyl-6-[(1R)-1-hydroxyethyl]-4-methyl-7-oxo-1-azabicyclo[3.2.0]hept-2-ene-2-carboxylic Acid
- Catalogue No.:PA 32 03530 
- CAS : - 402955-37-7
- Molecular Formula : C44H48N6O13S2 
- Molecular Weight : 933.01 
 
	
			                                   
																				(4R,5S,6S)-3-(((3S,5S)-1-((2S,3R)-2-((2S,3R)-5-Carboxy-4-(((3S,5S)-5-((3-carboxyphenyl)carbamoyl)pyrrolidin-3-yl)thio)-3-methyl-2,3-dihydro-1H-pyrrol-2-yl)-3-hydroxybutanoyl)-5-((3-carboxyphenyl)carbamoyl)pyrrolidin-3-yl)thio)-6-((R)-1-hydroxyethyl)-4-methyl-7-oxo-1-azabicyclo[3.2.0]hept-2-ene-2-carboxylic Acid
(4R,5S,6S)-3-(((3S,5S)-1-((2S,3R)-2-((2S,3R)-5-Carboxy-4-(((3S,5S)-5-((3-carboxyphenyl)carbamoyl)pyrrolidin-3-yl)thio)-3-methyl-2,3-dihydro-1H-pyrrol-2-yl)-3-hydroxybutanoyl)-5-((3-carboxyphenyl)carbamoyl)pyrrolidin-3-yl)thio)-6-((R)-1-hydroxyethyl)-4-methyl-7-oxo-1-azabicyclo[3.2.0]hept-2-ene-2-carboxylic Acid
- Catalogue No.:PA 32 03560 
- CAS : - 402955-34-4
- Molecular Formula : C44H50N6O14S2 
- Molecular Weight : 951.03 
 
	
			                                   
																				(4R,5S,6S)-3-(((3S,5S)-1-((2S,3R)-2-((2S,3R)-5-Carboxy-4-(((3S,5S)-5-((3-carboxyphenyl)carbamoyl)pyrrolidin-3-yl)thio)-3-methyl-3,4-dihydro-2H-pyrrol-2-yl)-3-hydroxybutanoyl)-5-((3-carboxyphenyl)carbamoyl)pyrrolidin-3-yl)thio)-6-((R)-1-hydroxyethyl)-4-methyl-7-oxo-1-azabicyclo[3.2.0]hept-2-ene-2-carboxylic Acid
(4R,5S,6S)-3-(((3S,5S)-1-((2S,3R)-2-((2S,3R)-5-Carboxy-4-(((3S,5S)-5-((3-carboxyphenyl)carbamoyl)pyrrolidin-3-yl)thio)-3-methyl-3,4-dihydro-2H-pyrrol-2-yl)-3-hydroxybutanoyl)-5-((3-carboxyphenyl)carbamoyl)pyrrolidin-3-yl)thio)-6-((R)-1-hydroxyethyl)-4-methyl-7-oxo-1-azabicyclo[3.2.0]hept-2-ene-2-carboxylic Acid
- Catalogue No.:PA 32 03570 
- CAS : - NA
- Molecular Formula : C44H50N6O14S2 
- Molecular Weight : 951.03 
 
	
			                                   
																				(4R,5S,6S)-3-(((3S,5S)-5-((3-((((1S,2R)-1-Carboxy-1-((2S,3R)-5-carboxy-4-(((3S,5S)-5-((3-carboxyphenyl)carbamoyl)pyrrolidin-3-yl)thio)-3-methyl-3,4-dihydro-2H-pyrrol-2-yl)propan-2-yl)oxy)carbonyl)phenyl)carbamoyl)pyrrolidin-3-yl)thio)-6-((R)-1-hydroxyethyl)-4-methyl-7-oxo-1-azabicyclo[3.2.0]hept-2-ene-2-carboxylic Acid
(4R,5S,6S)-3-(((3S,5S)-5-((3-((((1S,2R)-1-Carboxy-1-((2S,3R)-5-carboxy-4-(((3S,5S)-5-((3-carboxyphenyl)carbamoyl)pyrrolidin-3-yl)thio)-3-methyl-3,4-dihydro-2H-pyrrol-2-yl)propan-2-yl)oxy)carbonyl)phenyl)carbamoyl)pyrrolidin-3-yl)thio)-6-((R)-1-hydroxyethyl)-4-methyl-7-oxo-1-azabicyclo[3.2.0]hept-2-ene-2-carboxylic Acid
- Catalogue No.:PA 32 03580 
- CAS : - NA
- Molecular Formula : C44H50N6O14S2 
- Molecular Weight : 951.03 
 
	
			                                   
																				(4R,5S,6S)-3-(((3R,5S)-5-((3-((2S,4S)-4-(((4R,5S,6S)-2-Carboxy-6-((R)-1-hydroxyethyl)-4-methyl-7-oxo-1-azabicyclo[3.2.0]hept-2-en-3-yl)thio)-2-((3-carboxyphenyl)carbamoyl)pyrrolidine-1-carbonyl)phenyl)carbamoyl)pyrrolidin-3-yl)thio)-6-((R)-1-hydroxyethyl)-4-methyl-7-oxo-1-azabicyclo[3.2.0]hept-2-ene-2-carboxylic Acid
(4R,5S,6S)-3-(((3R,5S)-5-((3-((2S,4S)-4-(((4R,5S,6S)-2-Carboxy-6-((R)-1-hydroxyethyl)-4-methyl-7-oxo-1-azabicyclo[3.2.0]hept-2-en-3-yl)thio)-2-((3-carboxyphenyl)carbamoyl)pyrrolidine-1-carbonyl)phenyl)carbamoyl)pyrrolidin-3-yl)thio)-6-((R)-1-hydroxyethyl)-4-methyl-7-oxo-1-azabicyclo[3.2.0]hept-2-ene-2-carboxylic Acid
- Catalogue No.:PA 32 03590 
- CAS : - NA
- Molecular Formula : C44H48N6O13S2 
- Molecular Weight : 933.01 
 
	
			                                   
																				Sodium (4S,5S,6S)-3-(((3S,5S)-5-((3-carboxylatophenyl)carbamoyl)pyrrolidin-1-ium-3-yl)thio)-6-((R)-1-hydroxyethyl)-4-methyl-7-oxo-1-azabicyclo[3.2.0]hept-2-ene-2-carboxylate
Sodium (4S,5S,6S)-3-(((3S,5S)-5-((3-carboxylatophenyl)carbamoyl)pyrrolidin-1-ium-3-yl)thio)-6-((R)-1-hydroxyethyl)-4-methyl-7-oxo-1-azabicyclo[3.2.0]hept-2-ene-2-carboxylate
- Catalogue No.:PA 32 03610 
- CAS : - NA
- Molecular Formula : C22H24N3NaO7S 
- Molecular Weight : 497.5 
 
	
			                                   
																				(3S,4S,4aS,5R)-6-[[(3S,5S)-5-[[(3-Carboxyphenyl)amino]carbonyl]-3-pyrrolidinyl]thio]-3,4,4a,5-tetrahydro-3,5-dimethyl-1-oxo-1H-pyrrolo[1,2-c][1,3]oxazine-4,7-dicarboxylic Acid Hydrochloride
(3S,4S,4aS,5R)-6-[[(3S,5S)-5-[[(3-Carboxyphenyl)amino]carbonyl]-3-pyrrolidinyl]thio]-3,4,4a,5-tetrahydro-3,5-dimethyl-1-oxo-1H-pyrrolo[1,2-c][1,3]oxazine-4,7-dicarboxylic Acid Hydrochloride
- Catalogue No.:PA 32 03660 
- CAS : - NA
- Molecular Formula : C23H26ClN3O9S 
- Molecular Weight : 555.98 
 
	
			                                  ![(4R,5S,6S)-3-[[(3S,5S)-1-[(4-Aminophenyl)methyl]-5 PA 32 03670](https://www.pharmaffiliates.com/pimages/PA3203670.jpg) 
																				(4R,5S,6S)-3-[[(3S,5S)-1-[(4-Aminophenyl)methyl]-5-[[(3-carboxyphenyl)amino]carbonyl]-3-pyrrolidinyl]thio]-6-[(1R)-1-hydroxyethyl]-4-methyl-7-oxo-1-Azabicyclo[3.2.0]hept-2-ene-2-carboxylic Acid Sodium Salt
(4R,5S,6S)-3-[[(3S,5S)-1-[(4-Aminophenyl)methyl]-5-[[(3-carboxyphenyl)amino]carbonyl]-3-pyrrolidinyl]thio]-6-[(1R)-1-hydroxyethyl]-4-methyl-7-oxo-1-Azabicyclo[3.2.0]hept-2-ene-2-carboxylic Acid Sodium Salt
- Catalogue No.:PA 32 03670 
- CAS : - 866186-66-5
- Molecular Formula : C29H30N4Na2O7S 
- Molecular Weight : 624.62 
 
	
			                                   
																				3-[[[(2S,4S)-1-(4-Nitrobenzyloxycarbonyl)-4-mercaptopyrrolidin-2-yl]carbonyl]amino]benzoic-d4 Acid
3-[[[(2S,4S)-1-(4-Nitrobenzyloxycarbonyl)-4-mercaptopyrrolidin-2-yl]carbonyl]amino]benzoic-d4 Acid
- Catalogue No.:PA STI 068090 
- CAS : - NA
- Molecular Formula : C20H15D4N3O7S 
- Molecular Weight : 449.47 
 
	
			                                   
																				(4R,5S,6S)-3-(((3S,5R)-5-((3-Carboxyphenyl)carbamoyl)-1-((4R,5S,6S)-3-(((3S,5R)-5-((3-carboxyphenyl)carbamoyl)pyrrolidin-3-yl)thio)-6-((R)-1-hydroxyethyl)-4-methyl-7-oxo-1-azabicyclo[3.2.0]hept-2-ene-2-carbonyl)pyrrolidin-3-yl)thio)-6-((R)-1-hydroxyethyl)-4-methyl-7-oxo-1-azabicyclo[3.2.0]hept-2-ene-2-carboxylic Acid
(4R,5S,6S)-3-(((3S,5R)-5-((3-Carboxyphenyl)carbamoyl)-1-((4R,5S,6S)-3-(((3S,5R)-5-((3-carboxyphenyl)carbamoyl)pyrrolidin-3-yl)thio)-6-((R)-1-hydroxyethyl)-4-methyl-7-oxo-1-azabicyclo[3.2.0]hept-2-ene-2-carbonyl)pyrrolidin-3-yl)thio)-6-((R)-1-hydroxyethyl)-4-methyl-7-oxo-1-azabicyclo[3.2.0]hept-2-ene-2-carboxylic Acid
- Catalogue No.:PA 32 0031000 
- CAS : - NA
- Molecular Formula : C44H48N6O13S2 
- Molecular Weight : 933.02 
 
	
			                                   
																				(4R,5S,6S)-3-(((3S,5S)-1-((2S,3S)-2-((2S,3R)-5-Carboxy-4-(((3S,5S)-5-((3-carboxyphenyl)carbamoyl)pyrrolidin-3-yl)thio)-3-methyl-2,3-dihydro-1H-pyrrol-2-yl)-3-hydroxybutanoyl)-5-((3-carboxyphenyl)carbamoyl)pyrrolidin-3-yl)thio)-6-((R)-1-hydroxyethyl)-4-methyl-7-oxo-1-azabicyclo[3.2.0]hept-2-ene-2-carboxylic Acid
(4R,5S,6S)-3-(((3S,5S)-1-((2S,3S)-2-((2S,3R)-5-Carboxy-4-(((3S,5S)-5-((3-carboxyphenyl)carbamoyl)pyrrolidin-3-yl)thio)-3-methyl-2,3-dihydro-1H-pyrrol-2-yl)-3-hydroxybutanoyl)-5-((3-carboxyphenyl)carbamoyl)pyrrolidin-3-yl)thio)-6-((R)-1-hydroxyethyl)-4-methyl-7-oxo-1-azabicyclo[3.2.0]hept-2-ene-2-carboxylic Acid
- Catalogue No.:PA 32 0031001 
- CAS : - NA
- Molecular Formula : C44H50N6O14S2 
- Molecular Weight : 951.03 
 
	
			                                   
																				(4R,5S,6S)-3-(((3S,5S)-1-((2S,3S)-2-((2S,3R)-5-Carboxy-4-(((3S,5S)-5-((3-carboxyphenyl)carbamoyl)pyrrolidin-3-yl)thio)-3-methyl-3,4-dihydro-2H-pyrrol-2-yl)-3-hydroxybutanoyl)-5-((3-carboxyphenyl)carbamoyl)pyrrolidin-3-yl)thio)-6-((R)-1-hydroxyethyl)-4-methyl-7-oxo-1-azabicyclo[3.2.0]hept-2-ene-2-carboxylic Acid
(4R,5S,6S)-3-(((3S,5S)-1-((2S,3S)-2-((2S,3R)-5-Carboxy-4-(((3S,5S)-5-((3-carboxyphenyl)carbamoyl)pyrrolidin-3-yl)thio)-3-methyl-3,4-dihydro-2H-pyrrol-2-yl)-3-hydroxybutanoyl)-5-((3-carboxyphenyl)carbamoyl)pyrrolidin-3-yl)thio)-6-((R)-1-hydroxyethyl)-4-methyl-7-oxo-1-azabicyclo[3.2.0]hept-2-ene-2-carboxylic Acid
- Catalogue No.:PA 32 0031002 
- CAS : - NA
- Molecular Formula : C44H50N6O14S2 
- Molecular Weight : 951.03 
 
	
			                                   
																				(4R,5S,6S)-3-(((3R,5R)-5-((3-((3S)-5-Carboxy-2-((2R)-1-carboxy-2-hydroxypropyl)-4-(((3S,5S)-5-((3-carboxyphenyl)carbamoyl)pyrrolidin-3-yl)thio)-3-methyl-2,3-dihydro-1H-pyrrole-1-carbonyl)phenyl)carbamoyl)pyrrolidin-3-yl)thio)-6-((R)-1-hydroxyethyl)-4-methyl-7-oxo-1-azabicyclo[3.2.0]hept-2-ene-2-carboxylic Acid
(4R,5S,6S)-3-(((3R,5R)-5-((3-((3S)-5-Carboxy-2-((2R)-1-carboxy-2-hydroxypropyl)-4-(((3S,5S)-5-((3-carboxyphenyl)carbamoyl)pyrrolidin-3-yl)thio)-3-methyl-2,3-dihydro-1H-pyrrole-1-carbonyl)phenyl)carbamoyl)pyrrolidin-3-yl)thio)-6-((R)-1-hydroxyethyl)-4-methyl-7-oxo-1-azabicyclo[3.2.0]hept-2-ene-2-carboxylic Acid
- Catalogue No.:PA 32 0031003 
- CAS : - NA
- Molecular Formula : C44H50N6O14S2 
- Molecular Weight : 951.03 
 
	
			                                   
																				(4R,5S,6S)-3-(((3R,5R)-5-((3-(((1-Carboxy-1-((3S)-5-carboxy-4-(((3R,5R)-5-((3-carboxyphenyl)carbamoyl)pyrrolidin-3-yl)thio)-3-methyl-3,4-dihydro-2H-pyrrol-2-yl)propan-2-yl)oxy)carbonyl)phenyl)carbamoyl)pyrrolidin-3-yl)thio)-6-((R)-1-hydroxyethyl)-4-methyl-7-oxo-1-azabicyclo[3.2.0]hept-2-ene-2-carboxylic Acid
(4R,5S,6S)-3-(((3R,5R)-5-((3-(((1-Carboxy-1-((3S)-5-carboxy-4-(((3R,5R)-5-((3-carboxyphenyl)carbamoyl)pyrrolidin-3-yl)thio)-3-methyl-3,4-dihydro-2H-pyrrol-2-yl)propan-2-yl)oxy)carbonyl)phenyl)carbamoyl)pyrrolidin-3-yl)thio)-6-((R)-1-hydroxyethyl)-4-methyl-7-oxo-1-azabicyclo[3.2.0]hept-2-ene-2-carboxylic Acid
- Catalogue No.:PA 32 0031004 
- CAS : - NA
- Molecular Formula : C44H50N6O14S2 
- Molecular Weight : 951.03 
 
	
			                                   
																				(4R,5S,6S)-3-(((3R,5R)-5-((3-((2S,4S)-4-(((4R,5S,6S)-2-Carboxy-6-((R)-1-hydroxyethyl)-4-methyl-7-oxo-1-azabicyclo[3.2.0]hept-2-en-3-yl)thio)-2-((3-carboxyphenyl)carbamoyl)pyrrolidine-1-carbonyl)phenyl)carbamoyl)pyrrolidin-3-yl)thio)-6-((R)-1-hydroxyethyl)-4-methyl-7-oxo-1-azabicyclo[3.2.0]hept-2-ene-2-carboxylic Acid
(4R,5S,6S)-3-(((3R,5R)-5-((3-((2S,4S)-4-(((4R,5S,6S)-2-Carboxy-6-((R)-1-hydroxyethyl)-4-methyl-7-oxo-1-azabicyclo[3.2.0]hept-2-en-3-yl)thio)-2-((3-carboxyphenyl)carbamoyl)pyrrolidine-1-carbonyl)phenyl)carbamoyl)pyrrolidin-3-yl)thio)-6-((R)-1-hydroxyethyl)-4-methyl-7-oxo-1-azabicyclo[3.2.0]hept-2-ene-2-carboxylic Acid
- Catalogue No.:PA 32 0031005 
- CAS : - NA
- Molecular Formula : C44H48N6O13S2 
- Molecular Weight : 933.02 
 
	
			                                   
																				(4R,5S,6S)-3-(((3S,5S)-5-((3-Carboxyphenyl)carbamoyl)-1-((4R,5S,6S)-3-(((3R,5R)-5-((3-carboxyphenyl)carbamoyl)pyrrolidin-3-yl)thio)-6-((R)-1-hydroxyethyl)-4-methyl-7-oxo-1-azabicyclo[3.2.0]hept-2-ene-2-carbonyl)pyrrolidin-3-yl)thio)-6-((R)-1-hydroxyethyl)-4-methyl-7-oxo-1-azabicyclo[3.2.0]hept-2-ene-2-carboxylic Acid
(4R,5S,6S)-3-(((3S,5S)-5-((3-Carboxyphenyl)carbamoyl)-1-((4R,5S,6S)-3-(((3R,5R)-5-((3-carboxyphenyl)carbamoyl)pyrrolidin-3-yl)thio)-6-((R)-1-hydroxyethyl)-4-methyl-7-oxo-1-azabicyclo[3.2.0]hept-2-ene-2-carbonyl)pyrrolidin-3-yl)thio)-6-((R)-1-hydroxyethyl)-4-methyl-7-oxo-1-azabicyclo[3.2.0]hept-2-ene-2-carboxylic Acid
- Catalogue No.:PA 32 0031006 
- CAS : - NA
- Molecular Formula : C44H48N6O13S2 
- Molecular Weight : 933.02 
 
	
			                                   
																				(4R,5S,6S)-3-(((3R,5R)-5-((3-((((2R)-1-Carboxy-1-((3S)-5-carboxy-4-(((3R,5R)-5-((3-carboxyphenyl)carbamoyl)pyrrolidin-3-yl)thio)-3-methyl-3,4-dihydro-2H-pyrrol-2-yl)propan-2-yl)oxy)carbonyl)phenyl)carbamoyl)pyrrolidin-3-yl)thio)-6-((R)-1-hydroxyethyl)-4-methyl-7-oxo-1-azabicyclo[3.2.0]hept-2-ene-2-carboxylic Acid
(4R,5S,6S)-3-(((3R,5R)-5-((3-((((2R)-1-Carboxy-1-((3S)-5-carboxy-4-(((3R,5R)-5-((3-carboxyphenyl)carbamoyl)pyrrolidin-3-yl)thio)-3-methyl-3,4-dihydro-2H-pyrrol-2-yl)propan-2-yl)oxy)carbonyl)phenyl)carbamoyl)pyrrolidin-3-yl)thio)-6-((R)-1-hydroxyethyl)-4-methyl-7-oxo-1-azabicyclo[3.2.0]hept-2-ene-2-carboxylic Acid
- Catalogue No.:PA 32 0031007 
- CAS : - NA
- Molecular Formula : C44H50N6O14S2 
- Molecular Weight : 951.03 
 
	
			                                   
																				(4R,5S)-3-(((3S,5S)-5-((3-Carboxyphenyl)carbamoyl)pyrrolidin-3-yl)thio)-5-((2S,3S)-3-hydroxy-1-methoxy-1-oxobutan-2-yl)-4-methyl-4,5-dihydro-1H-pyrrole-2-carboxylic Acid
(4R,5S)-3-(((3S,5S)-5-((3-Carboxyphenyl)carbamoyl)pyrrolidin-3-yl)thio)-5-((2S,3S)-3-hydroxy-1-methoxy-1-oxobutan-2-yl)-4-methyl-4,5-dihydro-1H-pyrrole-2-carboxylic Acid
- Catalogue No.:PA 32 0031008 
- CAS : - NA
- Molecular Formula : C23H29N3O8S 
- Molecular Weight : 507.56 
 
	
			                                   
																				(4S,5S)-3-(((3S,5S)-5-((3-Carboxyphenyl)carbamoyl)pyrrolidin-3-yl)thio)-5-((2S,3S)-3-hydroxy-1-methoxy-1-oxobutan-2-yl)-4-methyl-4,5-dihydro-1H-pyrrole-2-carboxylic Acid
(4S,5S)-3-(((3S,5S)-5-((3-Carboxyphenyl)carbamoyl)pyrrolidin-3-yl)thio)-5-((2S,3S)-3-hydroxy-1-methoxy-1-oxobutan-2-yl)-4-methyl-4,5-dihydro-1H-pyrrole-2-carboxylic Acid
- Catalogue No.:PA 32 0031009 
- CAS : - NA
- Molecular Formula : C23H29N3O8S 
- Molecular Weight : 507.56 
 
	
			                                   
																				(2S,3R)-2-((1S,2R)-1-Carboxy-2-hydroxypropyl)-4-(((3S,5S)-5-((3-carboxyphenyl)carbamoyl)pyrrolidin-3-yl)thio)-3-methyl-3,4-dihydro-2H-pyrrole-5-carboxylic Acid
(2S,3R)-2-((1S,2R)-1-Carboxy-2-hydroxypropyl)-4-(((3S,5S)-5-((3-carboxyphenyl)carbamoyl)pyrrolidin-3-yl)thio)-3-methyl-3,4-dihydro-2H-pyrrole-5-carboxylic Acid
- Catalogue No.:PA 32 0031013 
- CAS : - 1150883-75-2
- Molecular Formula : C22H27N3O8S 
- Molecular Weight : 493.53 
 
	
			                                   
																				(4R,5S,6S)-3-(((3S,5S)-5-((3-Carboxyphenyl)carbamoyl)-1-nitrosopyrrolidin-3-yl)thio)-6-((R)-1-hydroxyethyl)-4-methyl-7-oxo-1-azabicyclo[3.2.0]hept-2-ene-2-carboxylic Acid
(4R,5S,6S)-3-(((3S,5S)-5-((3-Carboxyphenyl)carbamoyl)-1-nitrosopyrrolidin-3-yl)thio)-6-((R)-1-hydroxyethyl)-4-methyl-7-oxo-1-azabicyclo[3.2.0]hept-2-ene-2-carboxylic Acid
- Catalogue No.:PA 32 0031015 
- CAS : - NA
- Molecular Formula : C22H24N4O8S 
- Molecular Weight : 504.51 
 
	
			                                   
																				(3R,4S,4aS,5R)-6-(((3S,5S)-5-((3-Carboxyphenyl)carbamoyl)pyrrolidin-3-yl)thio)-3,5-dimethyl-1-oxo-3,4,4a,5-tetrahydro-1H-pyrrolo[1,2-c][1,3]oxazine-4,7-dicarboxylic Acid
(3R,4S,4aS,5R)-6-(((3S,5S)-5-((3-Carboxyphenyl)carbamoyl)pyrrolidin-3-yl)thio)-3,5-dimethyl-1-oxo-3,4,4a,5-tetrahydro-1H-pyrrolo[1,2-c][1,3]oxazine-4,7-dicarboxylic Acid
- Catalogue No.:PA 32 0031018 
- CAS : - NA
- Molecular Formula : C23H25N3O9S 
- Molecular Weight : 519.53 
 
	
			                                   
																				(2S,3R,4R)-4-(((3S,5S)-5-((3-Carboxyphenyl)carbamoyl)pyrrolidin-3-yl)thio)-2-((3R)-3-hydroxy-1-methoxy-1-oxobutan-2-yl)-3-methyl-3,4-dihydro-2H-pyrrole-5-carboxylic Acid
(2S,3R,4R)-4-(((3S,5S)-5-((3-Carboxyphenyl)carbamoyl)pyrrolidin-3-yl)thio)-2-((3R)-3-hydroxy-1-methoxy-1-oxobutan-2-yl)-3-methyl-3,4-dihydro-2H-pyrrole-5-carboxylic Acid
- Catalogue No.:PA 32 0031019 
- CAS : - NA
- Molecular Formula : C23H29N3O8S 
- Molecular Weight : 507.56 
 
	
			                                   
																				(4R,5S,6S)-3-(((3S,5R)-5-((3-((2S,3R)-5-Carboxy-4-(((3S,5S)-5-((3-carboxyphenyl)carbamoyl)pyrrolidin-3-yl)thio)-2-((3R)-3-hydroxy-1-methoxy-1-oxobutan-2-yl)-3-methyl-2,3-dihydro-1H-pyrrole-1-carbonyl)phenyl)carbamoyl)pyrrolidin-3-yl)thio)-6-((R)-1-hydroxyethyl)-4-methyl-7-oxo-1-azabicyclo[3.2.0]hept-2-ene-2-carboxylic Acid
(4R,5S,6S)-3-(((3S,5R)-5-((3-((2S,3R)-5-Carboxy-4-(((3S,5S)-5-((3-carboxyphenyl)carbamoyl)pyrrolidin-3-yl)thio)-2-((3R)-3-hydroxy-1-methoxy-1-oxobutan-2-yl)-3-methyl-2,3-dihydro-1H-pyrrole-1-carbonyl)phenyl)carbamoyl)pyrrolidin-3-yl)thio)-6-((R)-1-hydroxyethyl)-4-methyl-7-oxo-1-azabicyclo[3.2.0]hept-2-ene-2-carboxylic Acid
- Catalogue No.:PA 32 0031020 
- CAS : - NA
- Molecular Formula : C45H52N6O14S2 
- Molecular Weight : 965.06 
 
	
			                                   
																				(2S,3R,4S)-4-(((3S,5S)-5-((3-Carboxyphenyl)carbamoyl)pyrrolidin-3-yl)thio)-2-((3R)-3-hydroxy-1-methoxy-1-oxobutan-2-yl)-3-methyl-3,4-dihydro-2H-pyrrole-5-carboxylic Acid
(2S,3R,4S)-4-(((3S,5S)-5-((3-Carboxyphenyl)carbamoyl)pyrrolidin-3-yl)thio)-2-((3R)-3-hydroxy-1-methoxy-1-oxobutan-2-yl)-3-methyl-3,4-dihydro-2H-pyrrole-5-carboxylic Acid
- Catalogue No.:PA 32 0031021 
- CAS : - NA
- Molecular Formula : C23H29N3O8S 
- Molecular Weight : 507.56 
 
	
			                                   
																				(2S,3R)-2-((2S,3R)-1-((2S,4S)-2-((3-Carboxyphenyl)carbamoyl)-4-mercaptopyrrolidin-1-yl)-3-hydroxy-1-oxobutan-2-yl)-4-(((3S,5S)-5-((3-carboxyphenyl)carbamoyl)pyrrolidin-3-yl)thio)-3-methyl-3,4-dihydro-2H-pyrrole-5-carboxylic Acid
(2S,3R)-2-((2S,3R)-1-((2S,4S)-2-((3-Carboxyphenyl)carbamoyl)-4-mercaptopyrrolidin-1-yl)-3-hydroxy-1-oxobutan-2-yl)-4-(((3S,5S)-5-((3-carboxyphenyl)carbamoyl)pyrrolidin-3-yl)thio)-3-methyl-3,4-dihydro-2H-pyrrole-5-carboxylic Acid
- Catalogue No.:PA 32 0031022 
- CAS : - NA
- Molecular Formula : C34H39N5O10S2 
- Molecular Weight : 741.83 
 
	
			                                   
																				(4R,5S,6S)-3-(((3S,5S)-5-((3-(Dimethylcarbamoyl)phenyl)carbamoyl)pyrrolidin-3-yl)thio)-6-((R)-1-hydroxyethyl)-4-methyl-7-oxo-1-azabicyclo[3.2.0]hept-2-ene-2-carboxylic Acid
(4R,5S,6S)-3-(((3S,5S)-5-((3-(Dimethylcarbamoyl)phenyl)carbamoyl)pyrrolidin-3-yl)thio)-6-((R)-1-hydroxyethyl)-4-methyl-7-oxo-1-azabicyclo[3.2.0]hept-2-ene-2-carboxylic Acid
- Catalogue No.:PA 32 0031023 
- CAS : - NA
- Molecular Formula : C24H30N4O6S 
- Molecular Weight : 502.59 
 
	
			                                   
																				(4R,5S,6S)-3-(((3S,5S)-5-((3-(Dimethylcarbamoyl)phenyl)carbamoyl)pyrrolidin-3-yl)thio)-6-((R)-1-hydroxyethyl)-4-methyl-7-oxo-1-azabicyclo[3.2.0]hept-2-ene-2-carboxylic Acid
(4R,5S,6S)-3-(((3S,5S)-5-((3-(Dimethylcarbamoyl)phenyl)carbamoyl)pyrrolidin-3-yl)thio)-6-((R)-1-hydroxyethyl)-4-methyl-7-oxo-1-azabicyclo[3.2.0]hept-2-ene-2-carboxylic Acid
- Catalogue No.:PA 32 0031025 
- CAS : - NA
- Molecular Formula : C24H30N4O6S 
- Molecular Weight : 502.59 
 
	
			                                   
																				(2S,3R)-2-((1S,2R)-1-Carboxy-2-hydroxypropyl)-4-(((3R,5S)-5-((3-carboxyphenyl)carbamoyl)pyrrolidin-3-yl)thio)-3-methyl-3,4-dihydro-2H-pyrrole-5-carboxylic Acid
(2S,3R)-2-((1S,2R)-1-Carboxy-2-hydroxypropyl)-4-(((3R,5S)-5-((3-carboxyphenyl)carbamoyl)pyrrolidin-3-yl)thio)-3-methyl-3,4-dihydro-2H-pyrrole-5-carboxylic Acid
- Catalogue No.:PA 32 0031027 
- CAS : - NA
- Molecular Formula : C22H27N3O8S 
- Molecular Weight : 493.53 
 
	
			                                   
																				(4R,5S,6S)-3-(((3S,5R)-5-((3-(((R)-1-((4R,5S,6S)-2-Carboxy-3-(((3S,5R)-5-((3-carboxyphenyl)carbamoyl)pyrrolidin-3-yl)thio)-4-methyl-7-oxo-1-azabicyclo[3.2.0]hept-2-en-6-yl)ethoxy)carbonyl)phenyl)carbamoyl)pyrrolidin-3-yl)thio)-6-((R)-1-hydroxyethyl)-4-methyl-7-oxo-1-azabicyclo[3.2.0]hept-2-ene-2-carboxylic Acid
(4R,5S,6S)-3-(((3S,5R)-5-((3-(((R)-1-((4R,5S,6S)-2-Carboxy-3-(((3S,5R)-5-((3-carboxyphenyl)carbamoyl)pyrrolidin-3-yl)thio)-4-methyl-7-oxo-1-azabicyclo[3.2.0]hept-2-en-6-yl)ethoxy)carbonyl)phenyl)carbamoyl)pyrrolidin-3-yl)thio)-6-((R)-1-hydroxyethyl)-4-methyl-7-oxo-1-azabicyclo[3.2.0]hept-2-ene-2-carboxylic Acid
- Catalogue No.:PA 32 0031029 
- CAS : - NA
- Molecular Formula : C44H48N6O13S2 
- Molecular Weight : 933.02 
 
	
			                                  ![(4R,5S,6S)-3-[[(3S,5S)-1-[(4-Aminophenyl)methyl]-5 PA 32 0031030](https://www.pharmaffiliates.com/pimages/PA320031030.jpg) 
																				(4R,5S,6S)-3-[[(3S,5S)-1-[(4-Aminophenyl)methyl]-5-[[(3-carboxyphenyl)amino]carbonyl]-3-pyrrolidinyl]thio]-6-[(1R)-1-hydroxyethyl]-4-methyl-7-oxo-1-azabicyclo[3.2.0]hept-2-ene-2-carboxylic Acid
(4R,5S,6S)-3-[[(3S,5S)-1-[(4-Aminophenyl)methyl]-5-[[(3-carboxyphenyl)amino]carbonyl]-3-pyrrolidinyl]thio]-6-[(1R)-1-hydroxyethyl]-4-methyl-7-oxo-1-azabicyclo[3.2.0]hept-2-ene-2-carboxylic Acid
- Catalogue No.:PA 32 0031030 
- CAS : - 866317-77-3
- Molecular Formula : C29H32N4O7S 
- Molecular Weight : 580.66 
 
	
			                                   
																				(4R,5S,6S)-3-(((3S,5S)-1-((2R,3S)-2-((1S,2R)-1-Carboxy-2-hydroxypropyl)-4-(((3R,5R)-5-((3-carboxyphenyl)carbamoyl)pyrrolidin-3-yl)thio)-3-methyl-3,4-dihydro-2H-pyrrole-5-carbonyl)-5-((3-carboxyphenyl)carbamoyl)pyrrolidin-3-yl)thio)-6-((R)-1-hydroxyethyl)-4-methyl-7-oxo-1-azabicyclo[3.2.0]hept-2-ene-2-carboxylic Acid
(4R,5S,6S)-3-(((3S,5S)-1-((2R,3S)-2-((1S,2R)-1-Carboxy-2-hydroxypropyl)-4-(((3R,5R)-5-((3-carboxyphenyl)carbamoyl)pyrrolidin-3-yl)thio)-3-methyl-3,4-dihydro-2H-pyrrole-5-carbonyl)-5-((3-carboxyphenyl)carbamoyl)pyrrolidin-3-yl)thio)-6-((R)-1-hydroxyethyl)-4-methyl-7-oxo-1-azabicyclo[3.2.0]hept-2-ene-2-carboxylic Acid
- Catalogue No.:PA 32 0031031 
- CAS : - NA
- Molecular Formula : C44H50N6O14S2 
- Molecular Weight : 951.03 
 
	
			                                   
																				(3R,4R,4aS,5R)-6-(((3S,5S)-5-((3-Carboxyphenyl)carbamoyl)pyrrolidin-3-yl)thio)-3,5-dimethyl-1-oxo-3,4,4a,5-tetrahydro-1H-pyrrolo[1,2-c][1,3]oxazine-4,7-dicarboxylic Acid
(3R,4R,4aS,5R)-6-(((3S,5S)-5-((3-Carboxyphenyl)carbamoyl)pyrrolidin-3-yl)thio)-3,5-dimethyl-1-oxo-3,4,4a,5-tetrahydro-1H-pyrrolo[1,2-c][1,3]oxazine-4,7-dicarboxylic Acid
- Catalogue No.:PA 32 0031033 
- CAS : - NA
- Molecular Formula : C23H25N3O9S 
- Molecular Weight : 519.53 
 
	
			                                   
																				(4R,5S,6S)-6-((1R)-1-(((2S,3R)-2-((2S,3R)-5-Carboxy-4-(((3S,5S)-5-((3-carboxyphenyl)carbamoyl)pyrrolidin-3-yl)thio)-3-methyl-3,4-dihydro-2H-pyrrol-2-yl)-3-hydroxybutanoyl)oxy)ethyl)-3-(((3S,5S)-5-((3-carboxyphenyl)carbamoyl)pyrrolidin-3-yl)thio)-4-methyl-7-oxo-1-azabicyclo[3.2.0]hept-2-ene-2-carboxylic Acid
(4R,5S,6S)-6-((1R)-1-(((2S,3R)-2-((2S,3R)-5-Carboxy-4-(((3S,5S)-5-((3-carboxyphenyl)carbamoyl)pyrrolidin-3-yl)thio)-3-methyl-3,4-dihydro-2H-pyrrol-2-yl)-3-hydroxybutanoyl)oxy)ethyl)-3-(((3S,5S)-5-((3-carboxyphenyl)carbamoyl)pyrrolidin-3-yl)thio)-4-methyl-7-oxo-1-azabicyclo[3.2.0]hept-2-ene-2-carboxylic Acid
- Catalogue No.:PA 32 0031034 
- CAS : - NA
- Molecular Formula : C44H50N6O14S2 
- Molecular Weight : 951.03 
 
	
			                                   
																				(4R,5S,6S)-3-(((3S,5S)-5-((3-((2S,3R)-5-Carboxy-2-((1S,2R)-1-carboxy-2-hydroxypropyl)-4-(((3S,5S)-5-((3-carboxyphenyl)carbamoyl)pyrrolidin-3-yl)thio)-3-methyl-2,3-dihydro-1H-pyrrole-1-carbonyl)phenyl)carbamoyl)pyrrolidin-3-yl)thio)-6-((R)-1-hydroxyethyl)-4-methyl-7-oxo-1-azabicyclo[3.2.0]hept-2-ene-2-carboxylic Acid
(4R,5S,6S)-3-(((3S,5S)-5-((3-((2S,3R)-5-Carboxy-2-((1S,2R)-1-carboxy-2-hydroxypropyl)-4-(((3S,5S)-5-((3-carboxyphenyl)carbamoyl)pyrrolidin-3-yl)thio)-3-methyl-2,3-dihydro-1H-pyrrole-1-carbonyl)phenyl)carbamoyl)pyrrolidin-3-yl)thio)-6-((R)-1-hydroxyethyl)-4-methyl-7-oxo-1-azabicyclo[3.2.0]hept-2-ene-2-carboxylic Acid
- Catalogue No.:PA 32 0031035 
- CAS : - NA
- Molecular Formula : C44H50N6O14S2 
- Molecular Weight : 951.03 
 
	
			                                   
																				(4R,5S)-3-(((3S,5S)-5-((3-Carboxyphenyl)carbamoyl)pyrrolidin-3-yl)thio)-5-((2S,3R)-3-hydroxy-1-methoxy-1-oxobutan-2-yl)-4-methyl-4,5-dihydro-1H-pyrrole-2-carboxylic Acid
(4R,5S)-3-(((3S,5S)-5-((3-Carboxyphenyl)carbamoyl)pyrrolidin-3-yl)thio)-5-((2S,3R)-3-hydroxy-1-methoxy-1-oxobutan-2-yl)-4-methyl-4,5-dihydro-1H-pyrrole-2-carboxylic Acid
- Catalogue No.:PA 32 0031036 
- CAS : - NA
- Molecular Formula : C23H29N3O8S 
- Molecular Weight : 507.56 

 
																				 
																				 
																				 
																				 
																				 
																				 
																				![3-[[(2S)-2-Pyrrolidinylcarbonyl]amino]benzoic Acid PA 32 03640](https://www.pharmaffiliates.com/pimages/PA3203640.jpg) 
																				![3-[[[(2R,4R)-4-Mercapto-2-pyrrolidinyl]carbonyl]am PA 32 03650](https://www.pharmaffiliates.com/pimages/PA3203650.jpg) 
																				 
																				 
																				 
																				 
																				 
																				 
																				 
																				 
																				 
																				 
																				![3-[[[(2R,4R)-4-Mercapto-2-pyrrolidinyl]carbonyl]am PA 32 0031032](https://www.pharmaffiliates.com/pimages/PA320031032.jpg) 
																				 
 
 
 
