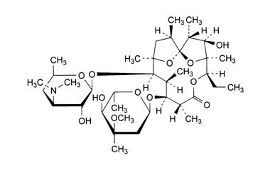
erythromycin estolate and its Impurities
Erythromycin is a bacteriostatic antibiotic drug produced by a strain of Saccharopolyspora erythraea.. Reference standards of Erythromycin Estolate API, and its pharmacopeial, non pharmacopeial impurities, and stable isotopes are listed below

