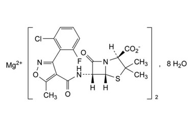
Flucloxacillin Magnesium Octahydrate and its Impurities
Flucloxacillin Magnesium Octahydrate is a penicillin-type antibiotic used to treat bacterial infections, especially those caused by penicillinase-producing bacteria. Reference standards of Flucloxacillin Magnesium Octahydrate API,and its pharmacopeial, non pharmacopeial impurities, and stable isotopes are listed below.
