Fostamatinib and its Impurities
Fostamatinib, sold under the brand names Tavalisse and Tavlesse, is a tyrosine kinase inhibitor medication for the treatment of chronic immune thrombocytopenia. Reference standards of Fostamatinib API, and its pharmacopeial, non pharmacopeial impurities, and stable isotopes are listed below.
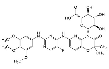
6-((5-fluoro-2-((3,4,5-trimethoxyphenyl)amino)pyrimidin-4-yl)amino)-2,2-dimethyl-2H-pyrido[3,2-b][1,4]oxazin-3(4H)-one
6-((5-fluoro-2-((3,4,5-trimethoxyphenyl)amino)pyrimidin-4-yl)amino)-2,2-dimethyl-2H-pyrido[3,2-b][1,4]oxazin-3(4H)-one
Catalogue No.:PA 06 2031000
CAS :
841290-80-0
Molecular Formula : C22H23FN6O5
Molecular Weight : 470.46
(6-((5-Fluoro-2-((3,4,5-trimethoxyphenyl)amino)pyrimidin-4-yl)(nitroso)amino)-2,2-dimethyl-3-oxo-2,3-dihydro-4H-pyrido[3,2-b][1,4]oxazin-4-yl)methyl dihydrogen phosphate
(6-((5-Fluoro-2-((3,4,5-trimethoxyphenyl)amino)pyrimidin-4-yl)(nitroso)amino)-2,2-dimethyl-3-oxo-2,3-dihydro-4H-pyrido[3,2-b][1,4]oxazin-4-yl)methyl dihydrogen phosphate
Catalogue No.:PA 06 2031001
CAS :
NA
Molecular Formula : C23H25FN7O10P
Molecular Weight : 609.46
(6-((5-Fluoro-2-(nitroso(3,4,5-trimethoxyphenyl)amino)pyrimidin-4-yl)(nitroso)amino)-2,2-dimethyl-3-oxo-2,3-dihydro-4H-pyrido[3,2-b][1,4]oxazin-4-yl)methyl dihydrogen phosphate
(6-((5-Fluoro-2-(nitroso(3,4,5-trimethoxyphenyl)amino)pyrimidin-4-yl)(nitroso)amino)-2,2-dimethyl-3-oxo-2,3-dihydro-4H-pyrido[3,2-b][1,4]oxazin-4-yl)methyl dihydrogen phosphate
Catalogue No.:PA 06 2031002
CAS :
NA
Molecular Formula : C23H24FN8O11P
Molecular Weight : 638.46
(6-((5-Fluoro-2-(nitroso(3,4,5-trimethoxyphenyl)amino)pyrimidin-4-yl)amino)-2,2-dimethyl-3-oxo-2,3-dihydro-4H-pyrido[3,2-b][1,4]oxazin-4-yl)methyl dihydrogen phosphate
(6-((5-Fluoro-2-(nitroso(3,4,5-trimethoxyphenyl)amino)pyrimidin-4-yl)amino)-2,2-dimethyl-3-oxo-2,3-dihydro-4H-pyrido[3,2-b][1,4]oxazin-4-yl)methyl dihydrogen phosphate
Catalogue No.:PA 06 2031003
CAS :
NA
Molecular Formula : C23H25FN7O10P
Molecular Weight : 609.46

