gentamicin and its Impurities
Gentamicin, sold under brand name Garamycin among others, it is an antibiotic, which is used to treat several types of bacterial infections. Reference standards of Gentamicin API,and its pharmacopeial, non pharmacopeial impurities, and stable isotopes are listed below.
(2R,3S,4R,6S)-6-(((1R,2S,3S,4R,6S)-4,6-Diamino-3-(((2R,3R,4S,5S)-3,5-dihydroxy-4-(methylamino)tetrahydro-2H-pyran-2-yl)oxy)-2-hydroxycyclohexyl)oxy)-2-(hydroxymethyl)tetrahydro-2H-pyran-3,4-diol
(2R,3S,4R,6S)-6-(((1R,2S,3S,4R,6S)-4,6-Diamino-3-(((2R,3R,4S,5S)-3,5-dihydroxy-4-(methylamino)tetrahydro-2H-pyran-2-yl)oxy)-2-hydroxycyclohexyl)oxy)-2-(hydroxymethyl)tetrahydro-2H-pyran-3,4-diol
Catalogue No.:PA 07 43570
CAS :
NA
Molecular Formula : C18H35N3O10
Molecular Weight : 453.49
(2R,3S,4R,5R,6S)-5-Amino-6-(((1R,2S,3S,4R,6S)-4,6-diamino-3-(((2R,3R,4R,5S)-3,5-dihydroxy-5-methyl-4-(methylamino)tetrahydro-2H-pyran-2-yl)oxy)-2-hydroxycyclohexyl)oxy)-2-(hydroxymethyl)tetrahydro-2H-pyran-3,4-diol
(2R,3S,4R,5R,6S)-5-Amino-6-(((1R,2S,3S,4R,6S)-4,6-diamino-3-(((2R,3R,4R,5S)-3,5-dihydroxy-5-methyl-4-(methylamino)tetrahydro-2H-pyran-2-yl)oxy)-2-hydroxycyclohexyl)oxy)-2-(hydroxymethyl)tetrahydro-2H-pyran-3,4-diol
Catalogue No.:PA 07 43580
CAS :
NA
Molecular Formula : C19H38N4O10
Molecular Weight : 482.53
5-Amino-6-(((1R,2S,3S,4R,6S)-4,6-diamino-3-(((2S,3R,4R,5S)-4-amino-3,5-dihydroxy-5-methyltetrahydro-2H-pyran-2-yl)oxy)-2-hydroxycyclohexyl)oxy)-2-(hydroxymethyl)tetrahydro-2H-pyran-3,4-diol
5-Amino-6-(((1R,2S,3S,4R,6S)-4,6-diamino-3-(((2S,3R,4R,5S)-4-amino-3,5-dihydroxy-5-methyltetrahydro-2H-pyran-2-yl)oxy)-2-hydroxycyclohexyl)oxy)-2-(hydroxymethyl)tetrahydro-2H-pyran-3,4-diol
Catalogue No.:PA 07 0431001
CAS :
NA
Molecular Formula : C18H36N4O10
Molecular Weight : 468.5
(2R,3S,4R,6S)-6-(((1R,2R,3S,4R,6S)-4,6-Diamino-3-(((2R,3S,4S,5R)-3,5-dihydroxy-4-(methylamino)tetrahydro-2H-pyran-2-yl)oxy)-2-hydroxycyclohexyl)oxy)-2-(hydroxymethyl)tetrahydro-2H-pyran-3,4-diol
(2R,3S,4R,6S)-6-(((1R,2R,3S,4R,6S)-4,6-Diamino-3-(((2R,3S,4S,5R)-3,5-dihydroxy-4-(methylamino)tetrahydro-2H-pyran-2-yl)oxy)-2-hydroxycyclohexyl)oxy)-2-(hydroxymethyl)tetrahydro-2H-pyran-3,4-diol
Catalogue No.:PA 07 0431002
CAS :
NA
Molecular Formula : C18H35N3O10
Molecular Weight : 453.49
(2R,4S,5R,6S)-5-Amino-6-(((1R,2S,3S,4R,6S)-4,6-diamino-3-(((2S,3R,4R,5S)-3,5-dihydroxy-5-methyl-4-(methylamino)tetrahydro-2H-pyran-2-yl)oxy)-2-hydroxycyclohexyl)oxy)-2-(hydroxymethyl)tetrahydro-2H-pyran-3,4-diol
(2R,4S,5R,6S)-5-Amino-6-(((1R,2S,3S,4R,6S)-4,6-diamino-3-(((2S,3R,4R,5S)-3,5-dihydroxy-5-methyl-4-(methylamino)tetrahydro-2H-pyran-2-yl)oxy)-2-hydroxycyclohexyl)oxy)-2-(hydroxymethyl)tetrahydro-2H-pyran-3,4-diol
Catalogue No.:PA 07 0431003
CAS :
NA
Molecular Formula : C19H38N4O10
Molecular Weight : 482.53
(2R,4S,5R,6S)-5-Amino-6-(((1R,2S,3S,4R,6S)-4,6-diamino-3-(((2S,3R,4R,5S)-4-amino-3,5-dihydroxy-5-methyltetrahydro-2H-pyran-2-yl)oxy)-2-hydroxycyclohexyl)oxy)-2-(hydroxymethyl)tetrahydro-2H-pyran-3,4-diol
(2R,4S,5R,6S)-5-Amino-6-(((1R,2S,3S,4R,6S)-4,6-diamino-3-(((2S,3R,4R,5S)-4-amino-3,5-dihydroxy-5-methyltetrahydro-2H-pyran-2-yl)oxy)-2-hydroxycyclohexyl)oxy)-2-(hydroxymethyl)tetrahydro-2H-pyran-3,4-diol
Catalogue No.:PA 07 0431004
CAS :
NA
Molecular Formula : C18H36N4O10
Molecular Weight : 468.5
(2R,3S,4R,5R,6S)-5-Amino-6-(((1R,2S,3S,4R,6S)-4,6-diamino-3-(((2R,3R,4S,5S)-3,5-dihydroxy-4-(methylamino)tetrahydro-2H-pyran-2-yl)oxy)-2-hydroxycyclohexyl)oxy)-2-(hydroxymethyl)tetrahydro-2H-pyran-3,4-diol
(2R,3S,4R,5R,6S)-5-Amino-6-(((1R,2S,3S,4R,6S)-4,6-diamino-3-(((2R,3R,4S,5S)-3,5-dihydroxy-4-(methylamino)tetrahydro-2H-pyran-2-yl)oxy)-2-hydroxycyclohexyl)oxy)-2-(hydroxymethyl)tetrahydro-2H-pyran-3,4-diol
Catalogue No.:PA 07 0431007
CAS :
NA
Molecular Formula : C18H36N4O10
Molecular Weight : 468.5
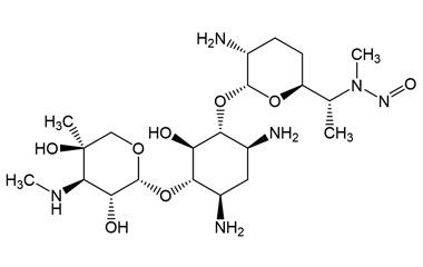
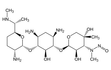
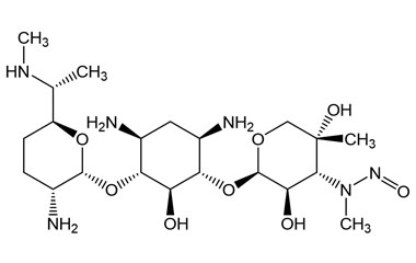
N-((2R,3S,4R,5R)-2-(((1S,2R,3R,4S,6R)-4,6-Diamino-3-(((2R,3R,6S)-3-amino-6-(1-(methylamino)ethyl)tetrahydro-2H-pyran-2-yl)oxy)-2-hydroxycyclohexyl)oxy)-3,5-dihydroxy-5-methyltetrahydro-2H-pyran-4-yl)-N-methylnitrous Amide
N-((2R,3S,4R,5R)-2-(((1S,2R,3R,4S,6R)-4,6-Diamino-3-(((2R,3R,6S)-3-amino-6-(1-(methylamino)ethyl)tetrahydro-2H-pyran-2-yl)oxy)-2-hydroxycyclohexyl)oxy)-3,5-dihydroxy-5-methyltetrahydro-2H-pyran-4-yl)-N-methylnitrous Amide
Catalogue No.:PA 07 0431010
CAS :
NA
Molecular Formula : C21H42N6O8
Molecular Weight : 506.6
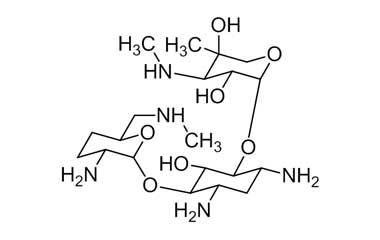
(2R,3R,4R,5R)-2-(((1S,2S,3R,4S,6R)-4,6-Diamino-3-(((2R,3R,6S)-3-amino-6-(1-(methylamino)ethyl)tetrahydro-2H-pyran-2-yl)oxy)-2-hydroxycyclohexyl)oxy)-5-methyl-4-(methylamino)tetrahydro-2H-pyran-3,5-diol
(2R,3R,4R,5R)-2-(((1S,2S,3R,4S,6R)-4,6-Diamino-3-(((2R,3R,6S)-3-amino-6-(1-(methylamino)ethyl)tetrahydro-2H-pyran-2-yl)oxy)-2-hydroxycyclohexyl)oxy)-5-methyl-4-(methylamino)tetrahydro-2H-pyran-3,5-diol
Catalogue No.:PA 07 0431013
CAS :
287730-69-2
Molecular Formula : C21H43N5O7
Molecular Weight : 477.6

