gentamicin sulfate and its Impurities
Gentamicin Sulfate, sold under brand name Garamycin among others, it is an antibiotic, which is used to treat several types of bacterial infections. Reference standards of Gentamicin Sulfate API,and its pharmacopeial, non pharmacopeial impurities, and stable isotopes are listed below.
Dibenzyl ((1S,3S,4S,5R,6S)-4-(((2R,3R,4S,5R)-4-(((benzyloxy)carbonyl)(methyl)amino)-3,5-dihydroxy-5-methyltetrahydro-2H-pyran-2-yl)oxy)-6-(((2S,3S,6S)-3-(((benzyloxy)carbonyl)amino)-6-((S)-1-(((benzyloxy)carbonyl)amino)ethyl)tetrahydro-2H-pyran-2-yl)oxy)-5-hydroxycyclohexane-1,3-diyl)dicarbamate
Dibenzyl ((1S,3S,4S,5R,6S)-4-(((2R,3R,4S,5R)-4-(((benzyloxy)carbonyl)(methyl)amino)-3,5-dihydroxy-5-methyltetrahydro-2H-pyran-2-yl)oxy)-6-(((2S,3S,6S)-3-(((benzyloxy)carbonyl)amino)-6-((S)-1-(((benzyloxy)carbonyl)amino)ethyl)tetrahydro-2H-pyran-2-yl)oxy)-5-hydroxycyclohexane-1,3-diyl)dicarbamate
Catalogue No.:PAI 07 019001
CAS :
NA
Molecular Formula : C60H71N5O17
Molecular Weight : 1134.25
Dibenzyl ((1S,3S,4S,5R,6S)-4-(((2R,3R,4S,5R)-4-(((benzyloxy)carbonyl)(methyl)amino)-3,5-dihydroxy-5-methyltetrahydro-2H-pyran-2-yl)oxy)-6-(((2R,3S)-3-(((benzyloxy)carbonyl)amino)-6-((((benzyloxy)carbonyl)amino)methyl)-3,4-dihydro-2H-pyran-2-yl)oxy)-5-hydroxycyclohexane-1,3-diyl)dicarbamate
Dibenzyl ((1S,3S,4S,5R,6S)-4-(((2R,3R,4S,5R)-4-(((benzyloxy)carbonyl)(methyl)amino)-3,5-dihydroxy-5-methyltetrahydro-2H-pyran-2-yl)oxy)-6-(((2R,3S)-3-(((benzyloxy)carbonyl)amino)-6-((((benzyloxy)carbonyl)amino)methyl)-3,4-dihydro-2H-pyran-2-yl)oxy)-5-hydroxycyclohexane-1,3-diyl)dicarbamate
Catalogue No.:PAI 07 019002
CAS :
NA
Molecular Formula : C59H67N5O17
Molecular Weight : 1118.2
Dibenzyl ((1S,3S,4S,5R,6S)-4-(((2R,3R,4S,5R)-4-(((benzyloxy)carbonyl)(methyl)amino)-3,5-dihydroxy-5-methyltetrahydro-2H-pyran-2-yl)oxy)-5,6-dihydroxycyclohexane-1,3-diyl)dicarbamate
Dibenzyl ((1S,3S,4S,5R,6S)-4-(((2R,3R,4S,5R)-4-(((benzyloxy)carbonyl)(methyl)amino)-3,5-dihydroxy-5-methyltetrahydro-2H-pyran-2-yl)oxy)-5,6-dihydroxycyclohexane-1,3-diyl)dicarbamate
Catalogue No.:PAI 07 019003
CAS :
NA
Molecular Formula : C37H45N3O12
Molecular Weight : 723.78
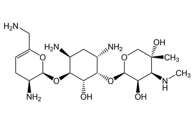
(2R,3R,4S,5R)-2-(((1S,2R,3S,4S,6S)-4,6-Diamino-3-(((2R,3S)-3-amino-6-(aminomethyl)-3,4-dihydro-2H-pyran-2-yl)oxy)-2-hydroxycyclohexyl)oxy)-5-methyl-4-(methylamino)tetrahydro-2H-pyran-3,5-diol
(2R,3R,4S,5R)-2-(((1S,2R,3S,4S,6S)-4,6-Diamino-3-(((2R,3S)-3-amino-6-(aminomethyl)-3,4-dihydro-2H-pyran-2-yl)oxy)-2-hydroxycyclohexyl)oxy)-5-methyl-4-(methylamino)tetrahydro-2H-pyran-3,5-diol
Catalogue No.:PAI 07 019004
CAS :
NA
Molecular Formula : C19H37N5O7
Molecular Weight : 447.53

