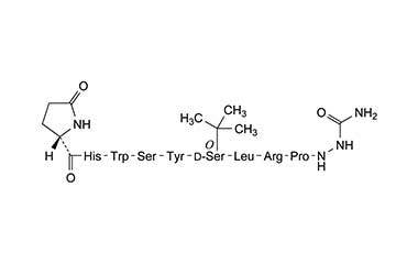
goserelin and its Impurities
Goserelin is used to suppress production of the sex hormones, particularly in the treatment of breast and prostate cancer. It is sold under the brand name Zoladex.Reference standards of Goserelin API,and its pharmacopeial, non pharmacopeial impurities, and stable isotopes are listed below.

	
			                                  
																				
																				
																				
																				
																				
																				
																				
																				
																				
																				
																				
																				
																				
																				
																				
																				
																				
																				
																				
																				
																				
																				
																				
																				
																				
